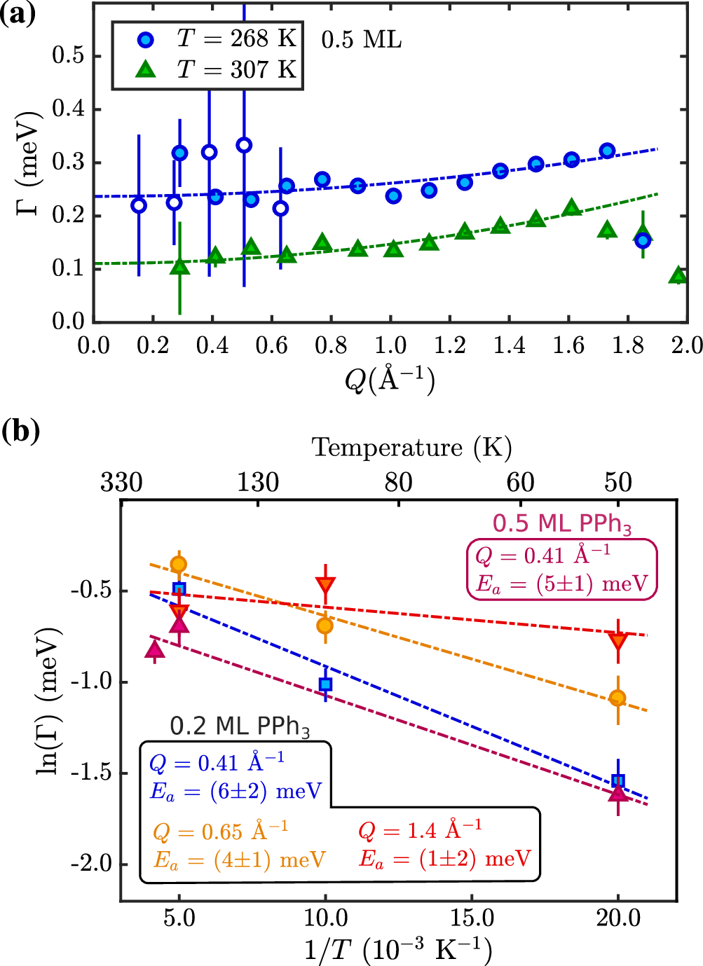
Fig. 2: Low-temperature dynamics of PPh3 on graphite.

(a) Already at temperatures below room temperature, a quasi-elastic broadening Γ is present in both NSE (open symbols) and neutron TOF data (closed symbols) for PPh3 on graphite (0.5 ML). The functional dependence Γ(Q) with the dotted lines is for uniaxial rotations and suggests that dynamics is dominated by molecular rotation and motion of the phenyl groups (see text). (b) An Arrhenius plot of Γ in the 50−300 K temperature regime illustrates that for both the 0.2 and 0.5 ML coverage TOF data with Ea ≈ 5 meV no significant barrier for this type of dynamic motion exists. The error bars correspond to the confidence bounds (1σ) upon determination of Γ from the measurements (see text).