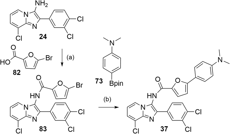
Fig. 8: Synthesis of 37.
From: Development of Nurr1 agonists from amodiaquine by scaffold hopping and fragment growing

Reagents & Conditions: a oxalyl chloride, pyridine, toluene, 0 °C - rt, 24 h, 64%; b tetrakis(triphenylphosphane)palladium(0), Na2CO3, water/dioxane, reflux, overnight, 68%.