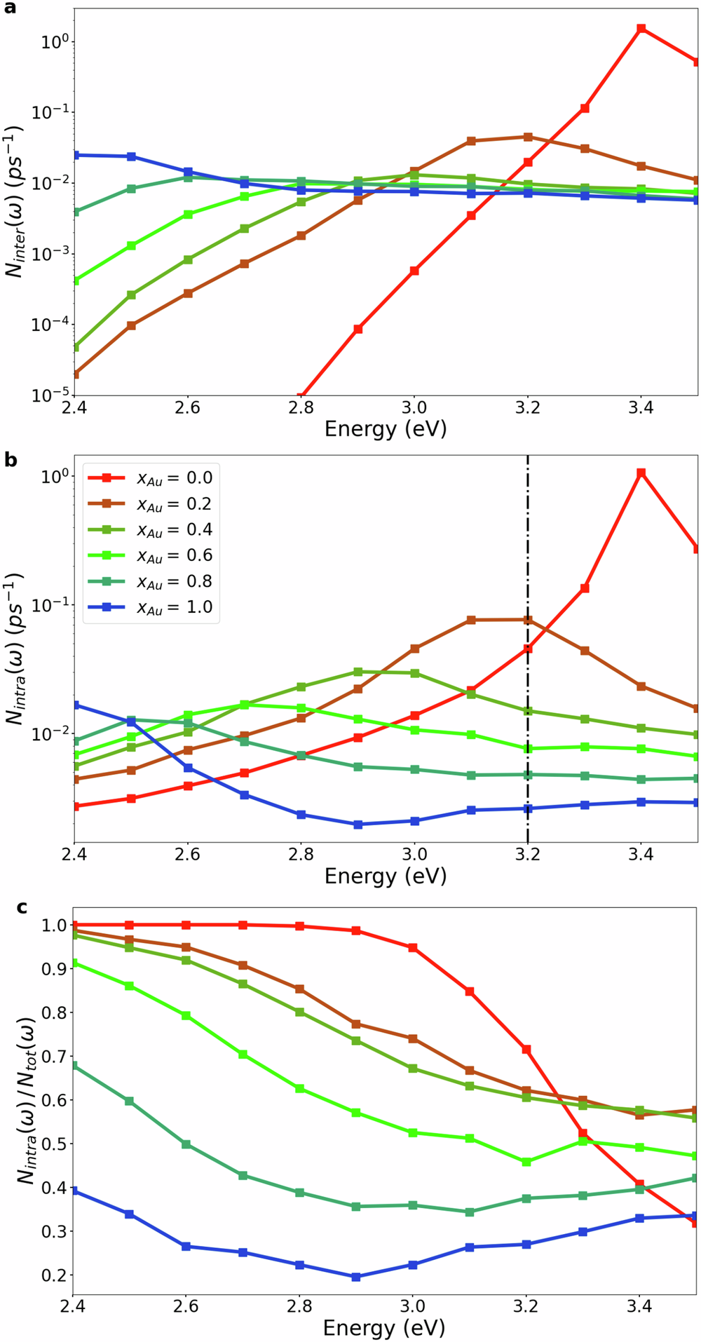
Fig. 5: Different contributions to the hot carrier generation rate.
From: Hot carriers from intra- and interband transitions in gold-silver alloy nanoparticles

Contribution to the total hot-carrier generation rate per atom from interband transitions (a) and intraband transitions (b) for spherical Ag-Au nanoparticles as a function of alloy composition xAu and photon energy. c Ratio of intraband contribution to the total hot-carrier generation rate. The dashed vertical line in (b) indicates the energy at which interband transitions from the sp-band into the high-lying unoccupied band in pure Au become possible.