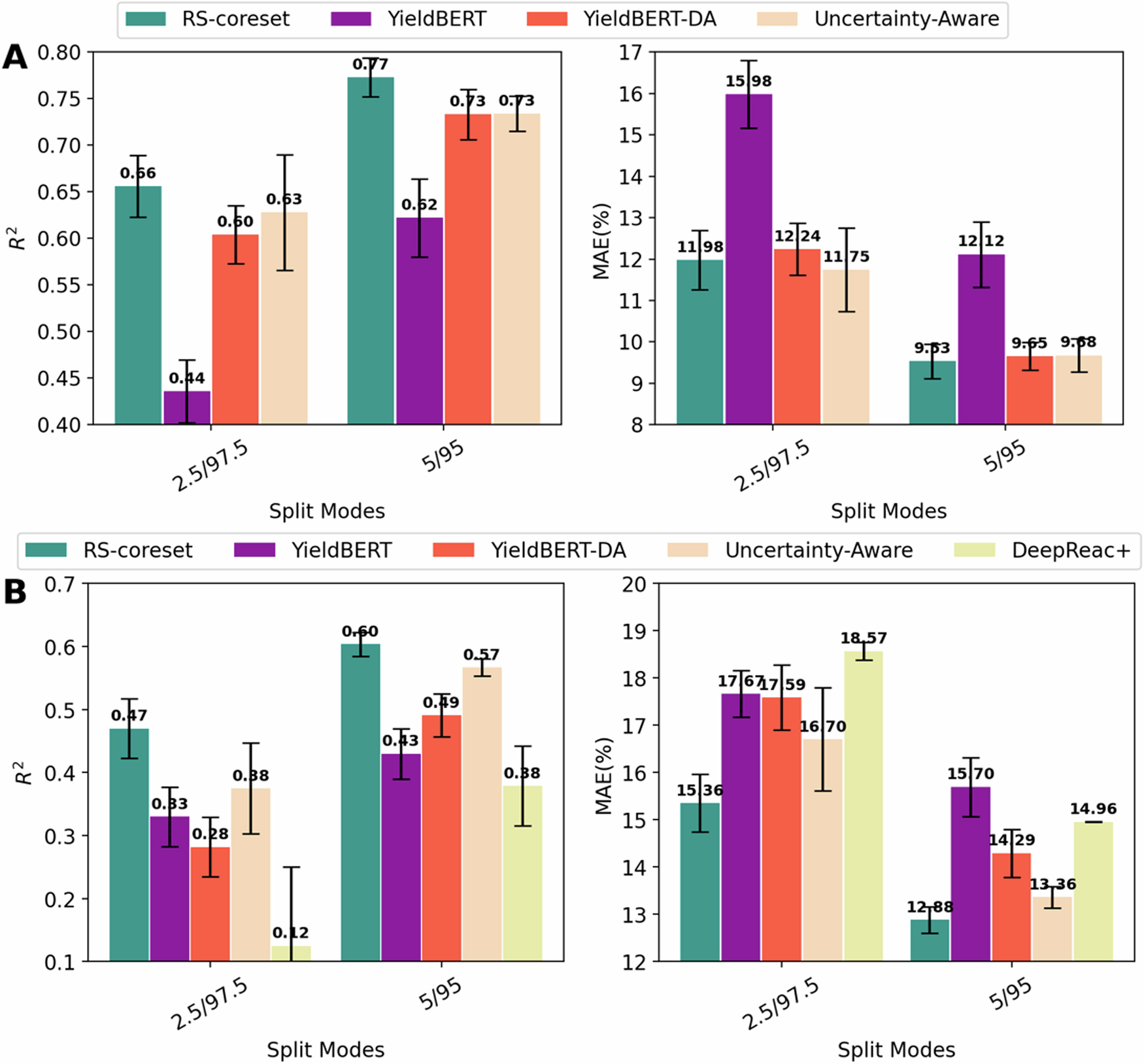
Fig. 6: Performance on two public datasets.
From: An active representation learning method for reaction yield prediction with small-scale data

A, B are the results of Buchwald-Hartwig coupling HTE Dataset and Suzuki–Miyaura coupling HTE Dataset, respectively. The R2 value is the higher the better and MAE is the lower the better. “2.5/97.5” and “5/95” respectively indicate the budgets 2.5% and 5% for training data. All data are presented in the format of “average±standard deviation”.