Fig. 6: Effect of temperature on intermolecular interactions.

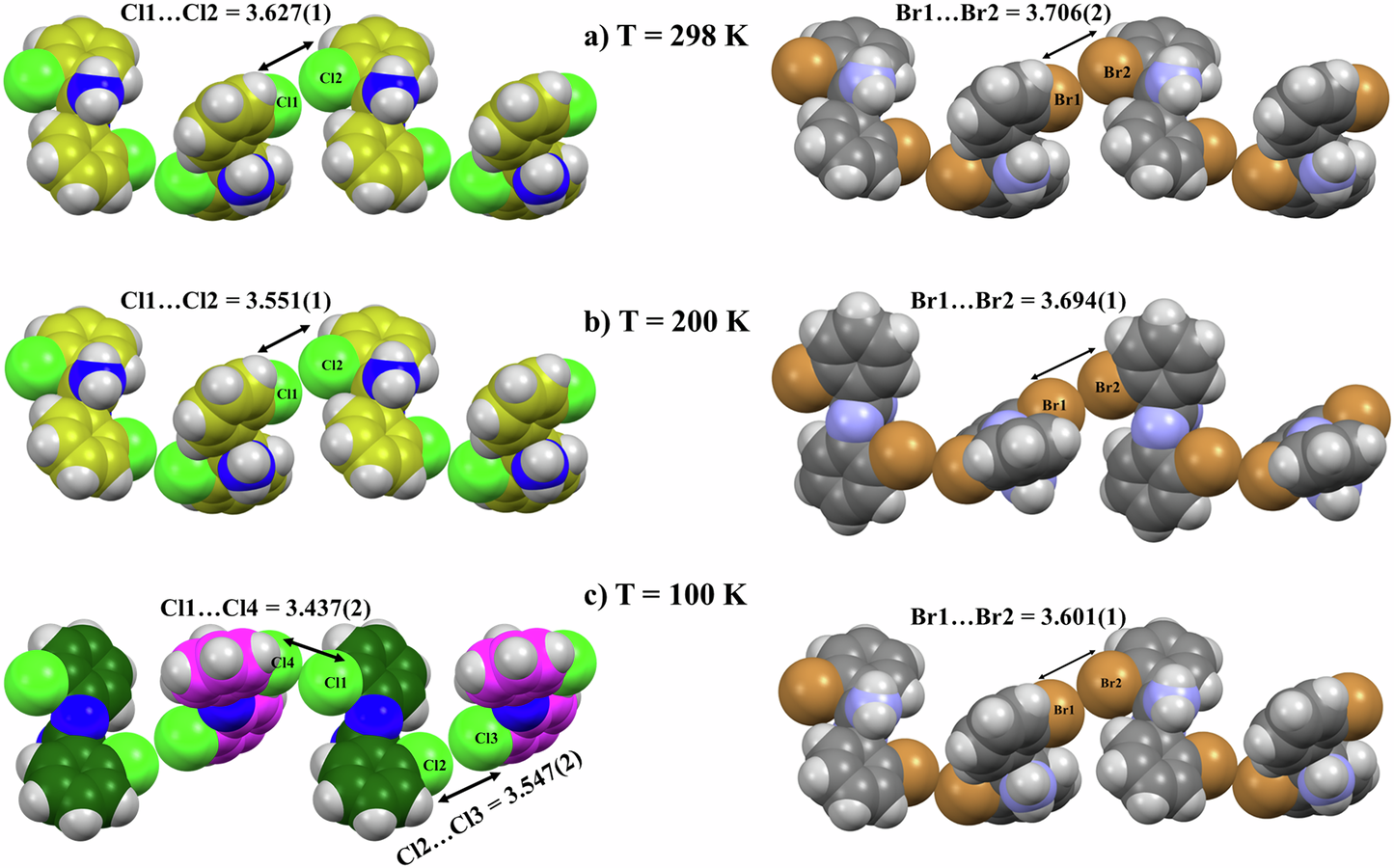
Variation of geometrical parameters of halogen-halogen interactions at different temperatures a) 298 K, b) 200 K, and c) 100 K in AIIα and BII.

Variation of geometrical parameters of halogen-halogen interactions at different temperatures a) 298 K, b) 200 K, and c) 100 K in AIIα and BII.