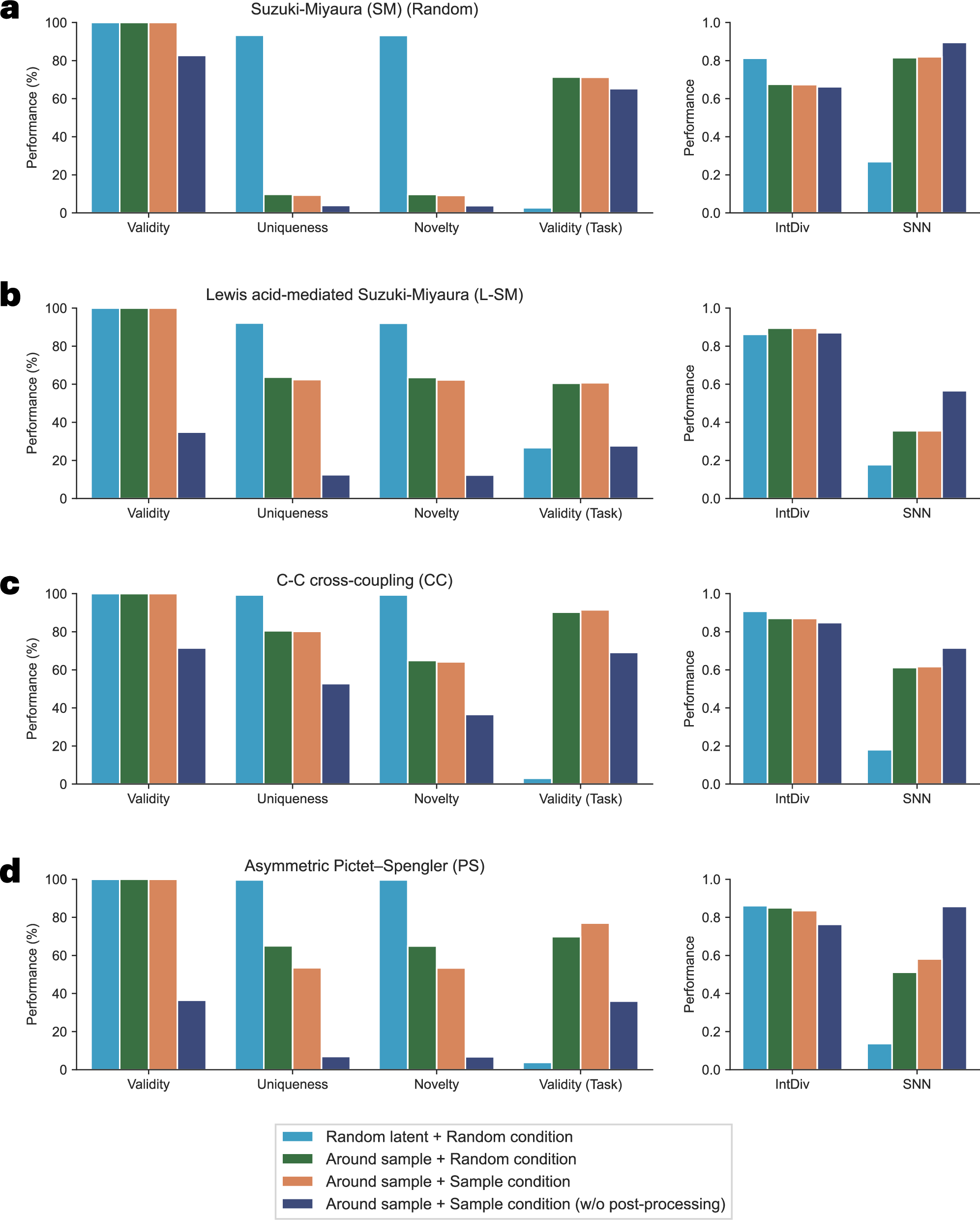
Fig. 5: Model generation performance using different sampling schema on four datasets.
From: Reaction-conditioned generative model for catalyst design and optimization with CatDRX

Validity (Task) is measured differently based on the specific criteria defined for each dataset. IntDiv means internal diversity. SNN means similarity to a nearest neighbor. a Suzuki-Miyaura (SM) (Random) dataset. b Lewis acid-mediated Suzuki-Miyaura (L-SM) dataset. c C-C cross-coupling (CC) dataset. d Asymmetric Pictet-Spengler (PS) dataset.