Abstract
Few materials have been identified as high-performance transparent conductors in the visible regime (400–700 nm). Even fewer conductors are known to be transparent in ultraviolet (UV) spectrum, especially at wavelengths below 320 nm. Doped wide-bandgap semiconductors employed currently as UV transparent conductors have insufficient electrical conductivities, posing a significant challenge for achieving low resistance electrodes. Here, we propose SrNbO3 as an alternative transparent conductor material with excellent performance not only in the visible, but also in the UV spectrum. The high transparency to UV light originates from energetic isolation of the conduction band, which shifts the absorption edge into the UV regime. The standard figure of merit measured for SrNbO3 in the UV spectral range of 260–320 nm is on par with indium tin oxide in the visible, making SrNbO3 an ideal electrode material in high-performance UV light emitting diodes relevant in sanitation application, food packaging, UV photochemotherapy, and biomolecule sensing.
Similar content being viewed by others
Introduction
The demand for high performance transparent conductor materials has significantly increased because the unique combination of electrical and optical properties—allowing light to effectively cross the path of electric conduction—is needed for top electrodes used in light emitting diodes (LEDs), photovoltaic cells and optical detectors. Up until now, the focus has been on high optical transparency in the visible spectrum while maintaining a high electrical conductivity. Many applications require shorter wavelength light, such as solar blind detection in the range of 240–280 nm1, ultraviolet (UV) curing (260–320 nm)2, biomolecule sensing (250–400 nm)3, UV germicidal irradiation in the upper UV range (260–280 nm)4, UV lithography (248 nm)5, UV phototherapy (ultraviolet B (UVB), 280–315 nm)6, photochemotherapy (ultraviolet A (UVA), 315–400 nm)7, and light sources for plant growth stimulating the secondary metabolism by exposure to radiation in UVB8. This wide application space has driven research in the area of UV LEDs as environmentally benign alternative over conventional UV light sources, such as low-pressure mercury lamps, offering higher efficiency, longer lifetime, and fast switching9,10.
In contrast to the high external quantum efficiencies (EQEs) of 45–96% achieved for LEDs emitting in the visible (400–700 nm) and UVA spectrum11,12,13,14,15, LEDs emitting deeper in the UV have significantly lower EQEs of only around 1%16,17,18,19, attributed to poor hole injection20, and high defect densities of the wide band gap semiconductor in the active region21. Another roadblock towards a higher EQE is the lack of a transparent electrode material with high electrical conductivity and high optical transparency in the deeper UV range that has similar performance to transparent conductors in the visible22. Indium–tin oxide (ITO), which is the most widely used transparent electrode, has a strong absorption edge near 360 nm rendering it unsuitable as a UV transparent electrode23,24. Currently proposed visible transparent conductors, such as oxide-metal-oxide heterostructures, e.g. ITO/Cu/ITO or indium zinc oxide (IZO)/Ag/IZO25,26, transparent conducting oxide (TCOs), such as Zn–In–Sn–O multicomponent oxides and indium-free Al and Ga-doped ZnO films27,28, and ultrathin metallic films, such as Ag, Ni and Cr29,30,31, lack high transmittance in the deep UV region. Considerable efforts have been undertaken to synthesize deep UV transparent conductor thin films by utilizing ultrawide bandgap semiconductors, such as β-Ga2O332,33 and ZnGa2O434,35. Although these materials possess high transmittance in the UV range due to their large band gaps of about 4.536 and 5.0 eV37, respectively, their electrical conductivities are orders of magnitude lower than degenerately doped ITO. Given the lack of high performance UV transparent conductors, recent improvements of UV LEDs have been achieved utilizing costly flip-chip designs38, in which a metal reflector enhances the light extraction by guiding the emission towards transparent sapphire substrate, resulting in increased EQEs typically ranging between 3% and 10%39,40,41, and up to 20% EQE at a wavelength of 275 nm42. Ultimately, alternative materials options for UV transparent electrodes are needed to enhance EQEs of UV LEDs43,44.
We propose the correlated metal SrNbO3 as an alternative UV transparent conductor that shows excellent performance in both the visible and the UV regime from 260 to 320 nm. The design rule of this UV transparent conductor is based on taking advantage of the energetically isolated conduction band originating from the Nb 4d orbitals, and a sizeable electron correlation present in SrNbO3, as first proposed by Zhang et al for the vanadates in the visible spectrum45. In correlated metals, many-body effects arising from strong electron-electron interactions affect transport properties and optical response of the carriers and are quantified by the renormalization constant Zk. If the electron interaction strength is negligible (Zk = 1), itinerant carriers respond like a free electron gas; if Zk = 0 as a consequence of a strong electron interaction, all free carriers are localized at lattice sites (Mott insulator); and if the renormalization constant is between these limiting cases (0 < Zk < 1) electrons maintain their itinerant character but their dynamic properties, such as the carrier effective mass m*, have to be renormalized46. For correlated metals the effective mass \(m^ \ast = m_{\mathrm{b}}^ \ast /Z_{\mathrm{k}}\) is increased relative to the band effective mass \(m_{\mathrm{b}}^ \ast\) by the inverse of the renormalization constant. As a consequence, the reduced plasma frequency \(\omega _{\mathrm{p}} = \left( {e/\sqrt {\varepsilon _0\varepsilon _{\mathrm{r}}} } \right) \cdot \sqrt {Z_{\mathrm{k}} \cdot n/m_{\mathrm{b}}^ \ast }\) is shifted towards the IR despite a metal-like carrier concentration n, with ε0 and εr the vacuum and relative permittivity, and e the elemental charge. Although the increase in effective mass somewhat reduces the electrical conductivity \(\sigma = en\mu = e^2\tau \,\left( {n/m^ \ast } \right)\), with carrier mobility μ and electron scattering time τ, typical electrical conductivities45,47 of correlated metals were found to be about one order of magnitude higher than that of ITO and more than three orders of magnitude higher than those of doped β-Ga2O333,48 and ZnGa2O434,35.
While correlated oxides with perovskite structure, like SrVO3, were experimentally verified as an excellent alternative to conventional transparent conductors, the absorption edge was located at about 2.9 eV (427 nm), causing a sizeable loss in the average optical transparency in the visible range. The large absorption was identified to originate from an interband transition from oxygen 2p bands forming the valence band to the unoccupied states of the conduction band derived from the t2g orbitals of the transition metal element vanadium. This interband absorption edge could be potentially shifted to higher energy if the electronegativity difference (Δχ) between the transition metal cation and oxygen anion would be larger. Choosing a less electronegative transition metal with larger Δχ to oxygen and similar electronic configuration would increase the energy difference between O 2p and transition metal t2g bands, causing the absorption edge to occur at higher photon energies. Replacing the vanadium cation (V4+) by the isoelectronic niobium (Nb4+) with a smaller electronegativity of niobium (1.690 for Nb4+ compared to 1.795 for V4+)49, Δχ becomes larger by ~6% and the transparent window can potentially be widened by pushing the absorption edge beyond the visible and into the UV regime. Upon substituting vanadium by niobium not only a blue-shift of the absorption edge, but also a reduction of the electron correlation strength is expected. The size of d-orbitals is larger for Nb4+ compared to V4+, so that the orbital overlap and thus the bandwidth W of the conduction band is larger for SrNbO3 despite its larger lattice parameter of a = 4.02 Å, compared to SrVO3 with a = 3.84 Å. The consequence of a smaller electron correlation strength is a renormalization constant closer to unity, and thus a smaller m*. This in turn decreases the correlation induced red-shift of the reduced plasma frequency and might reduce optical transparency of SrNbO3 at long wavelengths of the visible spectrum.
Here we present a combined first principles calculation and experimental study to demonstrate the potential of SrNbO3 as UV transparent conductor material. A thickness series of SrNbO3 films was grown and electrical properties were determined from Hall effect and conductivity measurements. The dielectric function of SrNbO3 was measured using spectroscopic ellipsometry and electron correlation strength was extracted applying the extended Drude model. Good agreement between experiment and theoretical prediction was obtained. The figure of merit for transparent conductors was determined for SrNbO3 in the visible and UV spectral range from 260 to 320 nm to be in the range of mid and low 10−3 Ω−1, respectively. These values are comparable with indium–tin oxide in the visible, but one order of magnitude higher in the UV, rendering SrNbO3 as superior transparent conductor in this spectral range.
Results
Density functional theory and dynamical mean field theory
Motivated by these trends we performed density functional theory (DFT) and dynamical mean-field theory (DMFT) calculations to quantify the potential of SrNbO3 as a visible and UV transparent conductor50,51, Fig. 1a shows the calculated band structure of SrNbO3, which is found to be qualitatively similar to isoelectronic SrVO3 seen in Fig. 1b. Three bands originated from the t2g manifold of the Nb 4d orbital were intersected by the Fermi level, giving rise to metallic conduction. The valence bands derived from the O 2p orbitals were well below the Nb 4d bands. An energy gap between the valence band maximum and the conduction band minimum of about 2.3 eV was obtained, considerably larger than the energy gap calculated for SrVO3 of about 1 eV. The interband absorption edge originated from a strong interband transition, either from occupied states of the O 2p bands to unoccupied states of Nb 4d t2g bands or from occupied states of Nb 4d t2g bands below the Fermi level to higher lying unoccupied bands derived from the Nb 4d eg and Sr 5s orbitals. For electrons to transition between occupied O 2p and unoccupied Nb 4d t2g states photon energies larger than 4 eV were needed, while interband transition energies from occupied Nb 4d t2g to unoccupied Nb 4d eg and Sr 5s states were ~2.5–3 eV. The energy separation between the individual bands was considerably larger compared to SrVO3, where transitions from occupied O 2p to unoccupied V 3d t2g states already occurred at about 2.7 eV, while interband transition energies from occupied V 3d t2g to unoccupied V 3d eg already occurred at about 2.2 eV, albeit with a small dipole matrix element45. The direct comparison of DFT results with DMFT calculations for SrNbO3 (Fig. 1a, c) and SrVO3 (Fig. 1b, d) also confirmed the reduced correlation strength of SrNbO3, resulting in a larger renormalization constant (Zk ∼ 0.72) and thus a smaller overall reduction of the conduction band width W compared to SrVO3 (Zk ∼ 0.55)52. This is seen by comparing the conduction band widths obtained from DFT and DMFT for both materials shown in Fig. 1. For clarity the 1st Brillouin zone of tetragonally distorted perovskite crystals is shown in Fig. 1e. The reduced correlation strength in SrNbO3 was attributed to the increased size of the 4d orbitals compared to 3d orbitals in SrVO3, giving rise to a larger orbital overlap despite a larger lattice parameter. The correlation induced red-shift of the reduced plasma frequency marking the reflection edge of carriers is therefore somewhat smaller for SrNbO3.
a Density of states (DOS) and band structure of SrNbO3 calculated by density functional theory (DFT) under compressive strain (a = 3.98 Å). The colors correspond to the orbital character of the bands. b DOS and band structure of SrVO3 calculated by DFT under tensile strain (a = 3.88 Å). The colors correspond to the orbital character of the bands. c Spectral function of SrNbO3 calculated by DFT and dynamical mean field theory (DMFT). The conduction band width W is reduced by the renormalization constant Zk compared to the DFT results in a. d Spectral function of SrVO3 calculated by DFT and DMFT. The conduction band width W is reduced by the renormalization constant Zk compared to the DFT results in b. e Schematic of the 1st Brillouin zone for tetragonally distorted SrNbO3 and SrVO3.
Electrical Characterization of SrNbO3 Thin Films
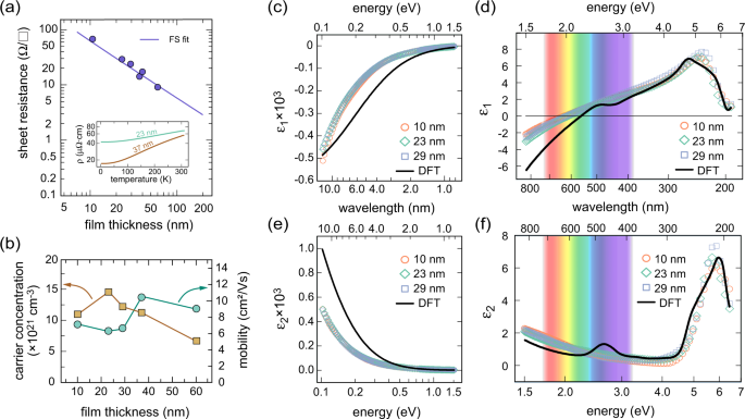
After confirming the potential of SrNbO3 as a transparent conductor using first principle calculations, we experimentally investigated the electrical and optical properties of SrNbO3 by growing a series of films with varying thickness on KTaO3 substrates. The sheet resistance (Rs) as a function of thickness is shown in Fig. 2a. The line fitted through the data takes into account the Fuchs-Sondheimer effect53,54 for electron surface scattering (see Supplementary Note 1). The SrNbO3 films with thicknesses in the range of 10–60 nm had sheet resistance values between 67.5 Ω/sq and 7.3 Ω/sq and the films’ electrical resistivities varied between 6.9 × 10−5 Ω cm and 3.8 × 10−5 Ω cm. The variation was attributed to a larger surface scattering contribution for thinner films. Note that the residual resistivity ratios (RRR) were relatively small, as can be seen from the temperature dependent resistivity curves for SrNbO3 films with 23 nm and 37 nm thickness, shown in the inset of Fig. 2a. The RRR values were 1.6 and 3.2, respectively, indicating that temperature independent scattering from defects significantly affected the electric conductivity. Nevertheless the sheet resistance values measured for SrNbO3 thin films are comparable to sheet resistance values of other high-performance transparent conductors in the visible spectrum28,29,45,55,56 and were about three orders of magnitude lower compared to current UV transparent conductor materials32,35. Figure 2b show thickness dependence of carrier mobility μ and carrier concentration n for the SrNbO3 thin films. An average mobility value of ~8 cm2 V−1 s−1 was determined at room temperature, comparable to values of other correlated metals, such as SrVO3 and CaVO345, and about an order of magnitude lower than those of ITO and conventional TCOs28. Typical carrier concentrations were around 1 × 1022 cm−3, about a factor of two smaller than carrier concentration measured for SrVO3, but over one order of magnitude higher than conventional TCOs, and UV transparent conductor in particular. While the highest carrier concentration reported for Ga2O3 was on the order of low 1020 cm−3 with a carrier mobility of 50 cm2 V−1 s−1 57,58, typical values for ZnGa2O4 were similar with carrier concentrations not higher than 1020 cm−3 and carrier mobilities of ~80 cm2 V−1 s−159. The much lower carrier mobility of SrNbO3 was overcompensated by the high carrier concentration present, giving rise to superior electrical properties compared to conventional UV transparent conductors. The relatively small effect of resistivity increase arising from surface scattering in SrNbO3 is attributed to the short electron mean-free path (EMFP) Λ, which was estimated using the Sommerfeld model and experimental values for carrier mobility and carrier concentration: \({\mathrm{\Lambda }} = \frac{{\hbar \cdot {\upmu}}}{e}\left( {3\pi ^2n} \right)^{1/3}\) (see Supplementary Note 1)60. For the films investigated an average EMFP of (3.5 ± 0.7) nm was found, which was comparable to those of transparent correlated metals SrVO3 (Λ = 5.6 nm) and CaVO3 (Λ = 3.9 nm)45, but much lower than those of conventional metals, such as silver (Λ = 52 nm)61. This small EMFP allows for more aggressive thickness scaling.
a Room temperature sheet resistance of SrNbO3. The line represent a fit for all films taking into account electron surface scattering using the Fuchs-Sondheimer53, 54 model. Inset shows temperature dependent resistivity for SrNbO3 films with 23 and 37 nm thickness. b Carrier concentration (left axis) and carrier mobility (right axis) of SrNbO3 films at room temperature. c, d Real (ε1) and e, f complex (ε2) part of the dielectric function measured for SrNbO3 films in the infrared range, c, e and the visible and ultraviolet range, d, f and calculated by density functional theory (DFT). Rainbow color in the background highlight the visible range. Note different scale between the infrared in c, e, and the visible to ultraviolet range d, f. Errors determined from the fit of the optical model are shown in Supplementary Table 1.
Optical characterization of SrNbO3 thin films
Optical properties of SrNbO3 films were characterized by spectroscopic ellipsometry at room temperature. Figure 2c–f show the complex dielectric function (ε = ε1 + iε2) measured for three SrNbO3 films with thicknesses of 10, 23 and 29 nm. In addition, the dielectric function calculated from DFT is shown for comparison as well. Fig. 2c, e show the real and imaginary part of the dielectric function in the infrared (IR) range from 20 μm down to 800 nm, Fig. 2d and f show ε1 and ε2 from 800 nm down to 200 nm across the entire visible range all the way into the UV. The IR range from 20 μm to 800 nm was dominated by a Drude peak. The screened plasma energy (ħωp) extracted from the experiment at ε1(ω) = 0 was (1.98 ± 0.03) eV. This value was smaller than the reduced plasma energy of 2.15 eV52 found from DFT. Taking the mass renormalization due to electron correlation effects into account from the comparison of band widths of SrNbO3 calculated by DFT and DMFT, the theoretical value of the reduced plasma frequency is corrected to a smaller value of 1.82 eV. The experimental determination of renormalization constant Zk from electron correlation effects extracted from the extended Drude model62,63 was somewhat higher (Zk = 0.89 ± 0.02) than the theoretically prediced value of 0.72 (see Supplementary Note 2 and 3). Using the Zk value extracted from experiment gave a corrected reduced plasma frequency of (1.91 ± 0.04) eV, which was in better agreement to the measured screened plasma frequency, indicating that the calculated correlation strenght might be slighlty overestimated.
In the case of SrNbO3 films the correlation induced red-shift was not sufficient to push the carrier reflection edge completely into the IR range, but it helped increasing the transparency within the visbible spectrum at long wavelengths. It is shown in Fig. 2f that the main interband absoption edge was experimentally found at around 4.8 eV (∼260 nm), in very good agreement with DFT predictions. Compared to SrVO3, the interband absorption of SrNbO3 was blue-shifted by over 1.5 eV into the UV range. The real and imaginary part of the dielectric function experimentally determined for the SrNbO3 films were small in the visible and UV region up to the absorption edge near 4.8 eV, indicating a relatively low optical absorption coefficient. The small absorption peak at ~2.7 eV obtained in the DFT calculation was originated by a weak interband transition from the t2g to the eg band. A similar peak was also predicted for SrVO3, but was not experimentally found in either material system. It is not clear why this absorption peak was not measured for SrNbO3 films, and we speculate that the sizeable defect concentration present in the films, which gave rise to relatively low RRR values, also affected the optical properties.
Discussion
The performance of SrNbO3 as transparent conductor was evaluated using the Figure of Merit (ΦTC) proposed by Haacke64 ΦTC = T10/Rs with optical transmittance T and sheet resistance Rs. Figure 3a shows the film thickness dependence of ΦTC calculated in the visible range (400–700 nm), and for the UV spectrum from 260 to 320 nm, encompassing the entire UVB range (280–315 nm), along with results from SrVO3 and ITO45.
a Figure of Merit ΦTC vs. film thickness for transparent conductors SrNbO3, SrVO3, and indium–tin oxide (ITO) in visible range (400–700 nm, circles) and in the ultraviolet (UV) range (260–320 nm, squares). Experimental data for ITO and SrVO3 were calculated using data from55,70 and45, respectively. b Transmission of 10-nm-thick freestanding films of SrNbO3 and SrVO3. Rainbow color highlight the visible range, the shaded region labeled UV indicates the spectral range used to calculate figure of merit in the UV shown in a.
The transmittance of the films were calculated from the dielectric function by assuming normal incidence and a free-standing film including surface reflections and multiple interference effects (see Supplementary Note 4). Since the transmittance varied with wavelength the values used were averaged over the spectrum of interest. Thickness-dependent effects on sheet resistance, such as surface and grain boundary scattering were considered in the calculation as well (see Supplementary Note 5). First, the discussion is focused on the performance of SrNbO3 in this visible spectrum. Maximum ΦTC values of 5 × 10−3 Ω−1 were found at a film thickness of 10 nm, about a factor of two higher than SrVO3 at similar thickness, and a factor of three higher than the best ITO with ΦTC of about 1.6 × 10−3 Ω−1 at a thickness of 150 nm45. The pronounced minimum in ΦTC of ITO was due to constructive interference of light reflected at both surfaces of a freestanding film. The higher ΦTC values of SrNbO3 and the shift of the maximum of the ΦTC curve toward larger thickness compared to SrVO3 was indicative that the optical properties of SrNbO3 were better. Figure 3b shows a direct comparison of the transmission calculated from the dielectric function for 10-nm-thick SrNbO3 and SrVO3 films. While SrNbO3 has a lower transmission in the visible spectrum at longer wavelengths, much higher transmission in the blue spectrum led to an overall higher optical transmission in the visible range. This improvement in optical properties even compensated for the somewhat higher sheet resistance of SrNbO3 (68 Ω/sq.) at a film thickness of 10 nm compared to SrVO3 (Rs = 45 Ω/sq.). This shows that SrNbO3 is a competitive transparent conductor material in the visible range. The transmission curve further shows that SrNbO3 has acceptable transmission values in the UV spectrum from 320 to 260 nm. Fig. 3a shows the thickness dependence of ΦTC for SrNbO3, SrVO3 and ITO determined for this UV range. For all transparent conductor materials considered the figure of merits were smaller and the maximum of the ΦTC curves shifted towards smaller film thickness, indicating a reduced optical performance in the UV compared to the visible spectrum. The effect was much less for SrNbO3 films, specifically the ΦTC value for 10-nm-thick films were still above 10−3 Ω−1 and thus comparable with ITO performance in the visible. In contrast, 10-nm-thick SrVO3 the ΦTC was reduced by about two orders of magnitude, rendering it unsuitable for UV applications. ITO had a maximum ΦTC at a thickness of ~60 nm, albeit an order of magnitude lower than the highest ΦTC measured for SrNbO3. The figure of merit for ultra-wide band gap semiconductors like Ga2O3 were estimated to be in the mid 10−7 Ω−1 range due to their low electrical conductivity. Furthermore, large dopant concentration of Sn in β-Ga2O3 on the order of 10% resulted in a room temperature resistivity of only about 10−1 Ω cm with carrier mobilities of ~50 cm2 V−1 s−1 and a low carrier concentration of about 1018 cm−348. Increasing amounts of Sn caused a red-shift of the fundamental absorption edge from 266 to 298 nm in the material, which we attributed to a lattice expansion of the host semiconductor due to the larger size of Sn and an associated decrease of band gap.
In conclusion, SrNbO3 thin films were proposed and experimentally confirmed as high-performance UV transparent conductors with superior properties in the spectral range from 260 to 320 nm. DFT and DMFT calculations and direct comparison with SrVO3 revealed that the conduction band of SrNbO3 is energetically more isolated from the conduction band. Despite a weaker electron correlation effect the reduced plasma frequency was sufficiently small to open a transparent window that ranged from the visible deep into the UV range due to considerable blue-shift of the interband absorption edge to about 4.8 eV, which is comparable to those of Ga2O3 and ZnGa2O4. Spectroscopic ellipsometry and transport measurements confirmed the theoretical predictions by DFT and DMFT, and subtantiated the potential of the correlated metal SrNbO3 as high performance transparent electrode material for UV application. The rare combination of high transmission and high conductivity of SrNbO3 facilitates the improvement of existing UV LEDs suffering from poor EQEs, enabling energy efficient, long lasting, high performance, portable and environmentally benign solid state lighting solutions for UV sanitation, biomolecule sensing, UV phototherapy, UV curing, UV photolithography and high sensitivity solar blind detector technology.
Methods
Computational methods
First principles Kohn Sham calculations were performed using the Linearized Augmented Plane Wave approach as implemented in the Wien2K50. A 25 × 25 × 25 MP grid was used to converge the density of states65, but in the other calculations a 12 × 12 × 12 grid provides good convergence. Fully charge self consistent, DFT + DMFT calculations are performed using the EDMFTF package (formerly known as DMFT-Wien2K) that uses the Luttinger–Ward functional51,66,67. On-site Coulomb interaction in DMFT is taken into account by U = 6 eV, in addition to an on-site Hund’s coupling of J = 0.7 eV. Nominal double counting is used, which is known to give reasonable agreement with experiment in the early d1 transition metal oxides. The on-site self energy obtained from DMFT has vanishingly small imaginary part on the Fermi level, and its real part is linear, hence the Fermi liquid approach used in the text is valid.
Sample growth and X-ray diffraction
The SrNbO3 films were grown on (100) plane of KTaO3 single crystal substrate by pulsed laser deposition. Details of the film growth condition were reported elsewhere68. In short, a sintered pellet of Sr2Nb2O7 placed in a vacuum chamber was irradiated by KrF excimer laser (λ = 248 nm). The KTaO3 substrates were heated at 700 °C by using an infrared lamp heater. SrNbO3 films were grown by other groups with comparable properties when grown under oxygen deficient conditions69. Crystal structure and thicknesses of the thin films were examined by X-ray diffraction (XRD) and X-ray reflectivity using a four-axis diffractometer (Bruker AXS, D8 Discover) with a 2D area detector or a 1D array detector. Details of the XRD results are provided in Supplementary Note 6.
Optical and electrical characterization
Spectroscopic ellipsometry measurements were performed at room temperature to determine the optical properties of SrNbO3 thin films. Ellipsometry spectra in (Ψ,Δ) were collected for KTaO3 substrate, prior to measurements on SrNbO3 films. The (Ψ,Δ) spectra were then collected for SrNbO3 thin films with thicknesses of 10, 23, and 29 nm at incidence angles of 50°, 60°, and 70° using M-2000 Ellipsometer (J.A.Woollam Co., spectral range: 0.734–5.043 eV) and IR-VASE Ellipsometer (J.A.Woollam Co., spectral range: 0.044–0.814 eV), and at the incidence angle of 65.23° using M-2000F Focused Beam Ellipsometer (J.A.Woollam Co., spectral range: 1.242–6.458 eV). All the data collected was appended and modeled with CompleteEase software (J.A. Woollam Co.). Detailed information on ellipsometry modeling and table of oscillators are listed in Supplementary Note 7. Electrical transport measurements were performed at varying temperatures using van der Pauw (VdP) geometry in a Quantum Design Physical Properties Measurement System with a source current of 500 μA. Number of carriers and mobility were determined through Hall measurements in VdP geometry in magnetic field strengths of up to ±8 T applied perpenddicular to the film plane. Sample quality was verified by measuring resistivity from room temperature down to 2.2 K to determine the RRR.
Data availability
All relevant data are available from the corresponding author.
References
Biyikli, N. et al. Solar-blind AlGaN-based Schottky photodiodes with low noise and high detectivity. Appl. Phys. Lett. 81, 3272–3274 (2002).
Decker, C., Viet, T. N. T., Decker, D. & Weber-Koehl, E. UV-radiation curing of acrylate/epoxide systems. Polymer 42, 5531–5541 (2001).
Hargis, P. J. et al. Ultraviolet fluorescence identification of protein, DNA, and bacteria. in Optical Instrumentation for Gas Emissions Monitoring and Atmospheric Measurements (eds Leonelli, J., Killinger, D. K., Vaughan, W. & Yost, M. G.) vol. 2366 147 (SPIE, 1995).
Song, K., Mohseni, M. & Taghipour, F. Application of ultraviolet light-emitting diodes (UV-LEDs) for water disinfection: a review. Water Res. 94, 341–349 (2016).
Engelmann, G. & Reichl, H. High depth to width aspect ratios in thick positive photoresist layers using near UV lithography. Microelectron. Eng. 17, 303–306 (1992).
Morison, W. L. Phototherapy and Photochemotherapy for Skin Disease. 3rd edn. (Taylor and Francis Group, Boca Raton, 2005).
Hockberger, P. E. A history of ultraviolet photobiology for humans, animals and microorganisms. Photochem. Photobiol. 76, 561–579 (2002).
Schreiner, M. et al. UV-B-induced secondary plant metabolites-potential benefits for plant and human health. Crit. Rev. Plant Sci. 31, 229–240 (2012).
Bettles, T. et al. UV light emitting diodes; their applications and benefits. Int. Ultrav. Assoc. N. 9, 11–15 (2007).
Kneissl, M. & Rass, J. in III-Nitride Ultraviolet Emitters, 1–25 (Springer, 2016).
Edmond, J. A. & Kong, H.-S. Blue light-emitting diode with high external quantum efficiency. US patent US5416342A (1995).
Gauck, H. et al. External radiative quantum efficiency of 96% from a GaAs/GaInP heterostructure. Appl. Phys. A 64, 143–147 (1997).
Krames, M. R. et al. High-power truncated-inverted-pyramid (AlxGa1− x)0.5In0.5P/GaP light-emitting diodes exhibiting> 50% external quantum efficiency. Appl. Phys. Lett. 75, 2365–2367 (1999).
Sakuta, H. et al. Near-ultraviolet LED of the external quantum efficiency over 45% and its application to high-color rendering phosphor conversion white LEDs. J. Light Vis. Environ. 32, 39–42 (2008).
Jiao, Q. Q. et al. Capability of GaN based micro-light emitting diodes operated at an injection level of kA/cm2. Opt. Express 23, 16565–16574 (2015).
Zhang, J. et al. Milliwatt power deep ultraviolet light-emitting diodes over sapphire with emission at 278 nm. Appl. Phys. Lett. 81, 4910–4912 (2002).
Hirayama, H., Tsukada, Y., Maeda, T. & Kamata, N. Marked enhancement in the efficiency of deep-ultraviolet AlGaN light-emitting diodes by using a multiquantum-barrier electron blocking layer. Appl. Phys. Express 3, 031002 (2010).
Kolbe, T. et al. Improved injection efficiency in 290 nm light emitting diodes with Al (Ga) N electron blocking heterostructure. Appl. Phys. Lett. 103, 031109 (2013).
Kueller, V. et al. Modulated epitaxial lateral overgrowth of AlN for efficient UV LEDs. IEEE Photonics Technol. Lett. 24, 1603–1605 (2012).
Nam, K. et al. Mg acceptor level in AlN probed by deep ultraviolet photoluminescence. Appl. Phys. Lett. 83, 878–880 (2003).
Chichibu, S. F. et al. Origin of defect-insensitive emission probability in In-containing (Al, In, Ga) N alloy semiconductors. Nat. Mater. 5, 810 (2006).
Tamura, K. et al. InGaN-based light-emitting diodes fabricated with transparent Ga-doped ZnO as ohmic p-contact. Phys. Status Solidi A 201, 2704–2707 (2004).
Kim, H. et al. Electrical, optical, and structural properties of indium–tin–oxide thin films for organic light-emitting devices. J. Appl. Phys. 86, 6451–6461 (1999).
Ohta, H. et al. Highly electrically conductive indium–tin–oxide thin films epitaxially grown on yttria-stabilized zirconia (100) by pulsed-laser deposition. Appl. Phys. Lett. 76, 2740–2742 (2000).
Park, S.-H. et al. Roll-to-roll sputtered ITO/Cu/ITO multilayer electrode for flexible, transparent thin film heaters and electrochromic applications. Sci. Rep. 6, 33868 (2016).
Kim, Y. C. et al. Bending stability of flexible amorphous IGZO thin film transistors with transparent IZO/Ag/IZO oxide–metal–oxide electrodes. J. Alloy. Compd. 688, 1108–1114 (2016).
Tadatsugu, M. Substitution of transparent conducting oxide thin films for indium tin oxide transparent electrode applications. Thin Solid Films 516, 1314–1321 (2008).
Tadatsugu, M. Transparent conducting oxide semiconductors for transparent electrodes. Semicond. Sci. Technol. 20, S35 (2005).
Yun, J. Ultrathin metal films for transparent electrodes of flexible optoelectronic devices. Adv. Funct. Mater. 27, 1606641 (2017).
Ghosh, D. et al. Widely transparent electrodes based on ultrathin metals. Opt. Lett. 34, 325–327 (2009).
Zhang, C. et al. High-performance doped silver films: overcoming fundamental material limits for nanophotonic applications. Adv. Mater. 29, 1605177 (2017).
Orita, M., Ohta, H., Hirano, M. & Hosono, H. Deep-ultraviolet transparent conductive β-Ga2O3 thin films. Appl. Phys. Lett. 77, 4166–4168 (2000).
Garten, L. M. et al. Structure property relationships in gallium oxide thin films grown by pulsed laser deposition. MRS Commun. 6, 348–353 (2016).
Omata, T., Ueda, N., Ueda, K. & Kawazoe, H. New ultraviolet‐transport electroconductive oxide, ZnGa2O4 spinel. Appl. Phys. Lett. 64, 1077–1078 (1994).
Hrong, R.-H. et al. Transparent electrode design for AlGaN deep-ultraviolet light-emitting diodes. Opt. Express 25, 32206–32213 (2017).
Onuma, T. et al. Valence band ordering in β-Ga2O3 studied by polarized transmittance and reflectance spectroscopy. Jpn. J. Appl. Phys. 54, 112601 (2015).
Oshima, T. et al. Epitaxial growth of wide-band-gap ZnGa2O4 films by mist chemical vapor deposition. J. Cryst. Growth 386, 190–193 (2014).
Wierer, J. et al. High-power AlGaInN flip-chip light-emitting diodes. Appl. Phys. Lett. 78, 3379–3381 (2001).
Shatalov, M. et al. AlGaN deep-ultraviolet light-emitting diodes with external quantum efficiency above 10%. Appl. Phys. Express 5, 082101 (2012).
Kinoshita, T. et al. Deep-ultraviolet light-emitting diodes fabricated on AlN substrates prepared by hydride vapor phase epitaxy. Appl. Phys. Express 5, 122101 (2012).
Fujioka, A. et al. Improvement in output power of 280-nm deep ultraviolet light-emitting diode by using AlGaN multi quantum wells. Appl. Phys. Express 3, 041001 (2010).
Takano, T. et al. Deep-ultraviolet light-emitting diodes with external quantum efficiency higher than 20% at 275 nm achieved by improving light-extraction efficiency. Appl. Phys. Express 10, 031002 (2017).
Chae, D. et al. AlGaN-based ultraviolet light-emitting diodes using fluorine-doped indium tin oxide electrodes. Appl. Phys. Lett. 100, 081110 (2012).
Lee, T. H. et al. Highly efficient deep-UV light-emitting diodes using AlN-based deep-UV-transparent glass electrodes. ACS Appl. Mater. Interfaces 9, 43774–43781 (2017).
Zhang, L. et al. Correlated metals as transparent conductors. Nat. Mater. 15, 204 (2015).
Brahlek, M. et al. Opportunities in vanadium-based strongly correlated electron systems. MRS Commun. 7, 27–52 (2017).
Basov, D. N. et al. Electrodynamics of correlated electron materials. Rev. Mod. Phys. 83, 471 (2011).
Du, X. et al. Preparation and characterization of Sn-doped β-Ga2O3 homoepitaxial films by MOCVD. J. Mater. Sci. 50, 3252–3257 (2015).
Li, K. & Xue, D. Estimation of electronegativity values of elements in different valence states. J. Phys. Chem. A 110, 11332–11337 (2006).
Blaha, P. et al. wien2k. An augmented plane wave+ local orbitals program for calculating crystal properties. (Karlheinz Schwarz, Tech. Universitt Wien, Austria, 2001).
Haule, K., Yee, C.-H. & Kim, K. Dynamical mean-field theory within the full-potential methods: electronic structure of CeIrIn5, CeCoIn5, and CeRhIn5. Phys. Rev. B 81, 195107 (2010).
Paul, A. & Birol, T. Strain tuning of plasma frequency in vanadate, niobate, and molybdate perovskite oxides. Phys. Rev. Mater. 3, 085001 (2019).
Fuchs, K. The conductivity of thin metallic films according to the electron theory of metals. Math. Proc. Camb. Philos. Soc. 34, 100–108 (1938).
Sondheimer, E. H. The mean free path of electrons in metals. Adv. Phys. 1, 1–42 (1952).
Ellmer, K. Past achievements and future challenges in the development of optically transparent electrodes. Nat. Photonics 6, 809 (2012).
Zeng, X. Y., Zhang, Q. K., Yu, R. M. & Lu, C. Z. A new transparent conductor: silver nanowire film buried at the surface of a transparent polymer. Adv. Mater. 22, 4484–4488 (2010).
Ahmadi, E. et al. Ge doping of β-Ga2O3 films grown by plasma-assisted molecular beam epitaxy. Appl. Phys. Express 10, 041102 (2017).
Leedy, K. D. et al. Highly conductive homoepitaxial Si-doped Ga2O3 films on (010) β-Ga2O3 by pulsed laser deposition. Appl. Phys. Lett. 111, 012103 (2017).
Galazka, Z. et al. Ultra-wide bandgap, conductive, high mobility, and high quality melt-grown bulk ZnGa2O4 single crystals. APL Mater. 7, 022512 (2019).
Ashcroft, N. W. & Mermin, N. D. Solid State Physics. (Holt, Rinehart and Winston, 1976).
O’Connor, B. et al. Transparent and conductive electrodes based on unpatterned, thin metal films. Appl. Phys. Lett. 93, 433 (2008).
Basov, D. N. & Timusk, T. Electrodynamics of high-Tc superconductors. Rev. Mod. Phys. 77, 721–779 (2005).
Benfatto, L., Cappelluti, E., Ortenzi, L. & Boeri, L. Extended Drude model and role of interband transitions in the midinfrared spectra of pnictides. Phys. Rev. B 83, 224514 (2011).
Haacke, G. New figure of merit for transparent conductors. J. Appl. Phys. 47, 4086–4089 (1976).
Monkhorst, H. J. & Pack, J. D. Special points for Brillouin-zone integrations. Phys. Rev. B 13, 5188 (1976).
Georges, A., Kotliar, G., Krauth, W. & Rozenberg, M. J. Dynamical mean-field theory of strongly correlated fermion systems and the limit of infinite dimensions. Rev. Mod. Phys. 68, 13 (1996).
Haule, K. & Birol, T. Free energy from stationary implementation of the DFT+ DMFT functional. Phys. Rev. Lett. 115, 256402 (2015).
Oka, D. et al. Intrinsic high electrical conductivity of stoichiometric SrNbO3 epitaxial thin films. Phys. Rev. B 92, 205102 (2015).
Wan, D. et al. Electron transport and visible light absorption in a plasmonic photocatalyst based on strontium niobate. Nat. comm. 8, 1–9 (2017).
Sopra Material Database. Refractive Index of ITO, Indium Tin Oxide, InSnO, https://www.filmetrics.com/refractive-index-database/ITO/Indium-Tin-Oxide-InSnO (Filmetrics, 2018).
Acknowledgements
Y.P., J.R., Ar.P., A.l.P., T.B., V.G., and R.E.H. acknowledge support from the National Science Foundation through DMR-1629477 and J.R. from the NSF Graduate Research Fellowship Program under Grant No. DGE1255832. DO acknowledges support from the Japan Society for the Promotion of Science (JSPS) KAKENHI Grant No. 16K05737. Y.H. and T.H. acknowledge support from the JSPS KAKENHI Grant No 16H06441 and 19K22227. We thank Prof. Tomoteru Fukumura of Tohoku University for allowing us to use the pulsed laser deposition equipment and X-ray diffractometer.
Author information
Authors and Affiliations
Contributions
Y.P., J.R., T.B., V.G., and R.E.H. conceived the project, Ar.P. and T.B. performed the DFT/DMFT calculations, D.O., Y.H., and T.H. grew the films, J.R. measured the electrical properties, Y.P., J.R. A.l.P., V.G., and R.E.H. performed spectroscopic ellipsometry and analyzed the results, Y.P., J.R., and R.E.H. co-wrote the paper with input and suggestions from all authors.
Corresponding author
Ethics declarations
Competing interests
The authors declare no competing interests.
Additional information
Publisher’s note Springer Nature remains neutral with regard to jurisdictional claims in published maps and institutional affiliations.
Supplementary information
Rights and permissions
Open Access This article is licensed under a Creative Commons Attribution 4.0 International License, which permits use, sharing, adaptation, distribution and reproduction in any medium or format, as long as you give appropriate credit to the original author(s) and the source, provide a link to the Creative Commons license, and indicate if changes were made. The images or other third party material in this article are included in the article’s Creative Commons license, unless indicated otherwise in a credit line to the material. If material is not included in the article’s Creative Commons license and your intended use is not permitted by statutory regulation or exceeds the permitted use, you will need to obtain permission directly from the copyright holder. To view a copy of this license, visit http://creativecommons.org/licenses/by/4.0/.
About this article
Cite this article
Park, Y., Roth, J., Oka, D. et al. SrNbO3 as a transparent conductor in the visible and ultraviolet spectra. Commun Phys 3, 102 (2020). https://doi.org/10.1038/s42005-020-0372-9
Received:
Accepted:
Published:
Version of record:
DOI: https://doi.org/10.1038/s42005-020-0372-9
This article is cited by
-
Dynamical mean field theory for real materials on a quantum computer
npj Computational Materials (2025)
-
Comparison of Ti/Au, Ni/Au, and Sc/Au ohmic contact metal stacks on (Al0.18Ga0.82)2O3
Journal of Materials Science (2024)
-
The coupling of plasmon in metal with a dipolar mode in a monolayer of \(MoS_2\) and \(WS_2\)
Indian Journal of Physics (2023)
-
Electron localization induced by intrinsic anion disorder in a transition metal oxynitride
Communications Physics (2021)





