Abstract
Carrier-envelope-phase (CEP) of sub-cycle ultraviolet (UV) pulse strongly influences the dynamics of quantum systems, but its characterization is not accessible experimentally. Here we investigate photodissociation of a diatomic molecule from its ground-rovibrational state in a linearly polarized weak sub-cycle UV pulse with a controlled CEP. The angular distribution of photofragments shows an asymmetric profile deviating from the well-known \({\cos }^{2}\)- or \({\sin }^{2}\)-like ones, which can be identified as a way to imprint CEP. We unveil that such an effect stems from the temporal neighboring rotational excitation by molecular permanent dipole interaction through the joint contributions between counter-rotating and rotating terms. This in turn, opens different pathways in photodissociation dynamics. Given that the temporal excitation between various states with close energies can be manipulated by CEP of sub-cycle UV pulses, our results pave ways for understanding and manipulating electron, nuclear and their joint dynamics with variation of CEP of attosecond pulses.
Similar content being viewed by others
Introduction
Ultrashort pulses available at modern light sources, provides new opportunities to study and control ultrafast electronic-nuclear motions in molecules on their natural time scales1,2,3. Moreover, the few-cycle attosecond laser pulses with carrier-envelope-phase (CEP) open the possibilities to capture and steer the dynamics at sub-cycle duration4,5. Few-cycle CEP-locked infrared (IR) pulses, especially its combination with an isolated attosecond extreme ultraviolet (XUV) pulse, have been explored by many groups and boosted ultrafast science into versatile degrees of freedom2, as for example, manipulating electron localization in molecular dissociation ionization6, steering charge localization following molecular photoionization7, quantum-phase control of absorption profile8, and many others about electronic dynamics in photoexcitation, photoionization and photoabsorption processes9,10,11,12,13,14,15. From the other side, these dynamics of the quantum systems induced by sub/few-cycle attosecond ultraviolet (UV) pulses can be used for an accurate characterization of these pulses. Reconstruction of attosecond beating by interference of two-photon transitions (RABBIT)16 and frequency-resolved optical gating for complete reconstruction of attosecond bursts (FROGCRAB)17 have been documented into the normal methods to characterize the temporal envelope and spectral phase of a pulse. However, measurement of the CEP of a UV/XUV pulse, which is essential in full characterization of the attosecond waveforms, is a difficult task and has not been realized experimentally in spite of that several schemes have been proposed theoretically5,11,18.
Direct photodissociation of molecules by pulses could help to investigate instant nuclear wavepacket redistribution and localization that accompanies photoabsorption, photoexcitation, or photoionization processes19,20,21,22. For example, the ultrafast molecular photodissociation can be steered through laser-field-induced potentials23, spatial and angular distribution of photofragments (ADP) can be manipulated with strong laser field24 or by intense UV pulse, triggering the effect of electron-rotation coupling (R–Ω coupling)25,26,27,28,29. However, direct photodissociation of molecules probed by few-cycle pulses for the effect of CEP, especially sub-cycle attosecond UV/XUV pulses, have rarely been explored.
There are enormous progresses in generation of single sub-cycle pulse in a broad range of wavelengths, as IR30,31 and UV pulses32,33, which gives an optimistic forecast for the CEP-stable sub-cycle UV pulse to be obtained in the near future. As we show in the present study, much attention should be paid to the cooperation between the rotating and counter-rotating channels in one-photon excitation when the sub-cycle UV pulse is used, which is also the fundamental difference from other reported strategies for photoelectron angular distribution to characterize the CEP of isolate attosecond pulse5,11,18, and the asymmetry of angular photoelectron has been proved as an efficient way to reconstruct the relative phase between XUV pulses34,35,36.
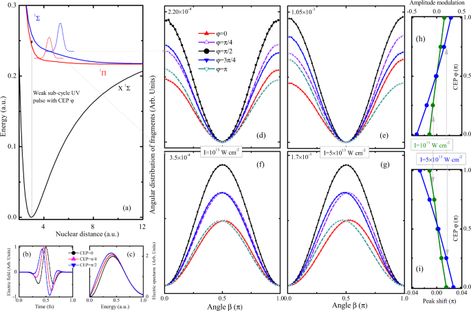
In this work we consider diatomic LiF molecule as a showcase probed from its ground rovibronic state to valence excited dissociative states by linearly polarized sub-cycle attosecond UV pulses with various CEP. Figure 1a illustrates the excitation scheme and shows involved potential energy curves of LiF. Transition to both valence-excited states A1Σ and B1Π from the ground X1Σ state is followed by the dissociation. The time and spectral dependence of the used sub-femtosecond UV pulse are illustrated in Fig. 1b and c, respectively for three different CEPs. As it is illustrated in Fig. 1d–g the ADP alters with the varying of CEP, both in amplitude and the peak position (see Fig. 1h, i. As we will show, the asymmetry of ADP profile is due to neighboring rotational temporal excitation triggered by the highly off-resonant sub-cycle pulses. This allows to use the present scheme in order to perform fine characterization of CEP of an isolated attoesecond sub-cycle pulse.
a Potential energy curves of LiF and the illustration of direct one-photon photodissociation by a sub-femtosecond pulse (central frequency ω = 7.07 eV and fwhm of 0.22 fs); time and energy dependence of electric field for different CEP are shown in (b) and (c), respectively; (d–g) dependence of the angular distribution of photofragments (integrated over kinetic energy) on CEP and the field intensity for A1Σ (d, e) and B1Π (f, g) excited states. The profiles for CEP = π/2 coincide well with \({\cos }^{2}\beta\) or \({\sin }^{2}\beta\) function for Σ and Π state, respectively. CEP-dependent amplitude modulation and peak shift for (d, e) and (f, g) are shown in (h) and (i), respectively.
Results
Photodissociation by sub-cycle UV pulses with CEP
We consider photodissociation of LiF molecule induced by the interaction with a sub-cycle attosecond UV pulse (fwhm = 0.22 fs, ω = 7.07 eV), whose electric field time and spectral dependence for various CEP are shown in Fig. 1b, c, respectively; the broadband pulse can excite both close lying 1Π and 1Σ valence excited states simultaneously. Note that for both few-cycle and sub-cycle pulses, the electric field should be defined from the vector potential to guarantee zero time-integrated electric field37,38. In the case of relatively weak (I = 1013 W cm−2) and moderate (I = 5 × 1013 W cm−2) intensities, the ground state is depopulated by about 0.05% and 0.25%, respectively. Due to this, we could safely suppose that off-resonant excitations to higher electronic states and ionization are negligibly small for the effect discussed here and disregarded in the present study. In the weak UV field, the second UV transition from the dissociative state could happen, but such a transition only perturbs the dissociative yield and does not affect the ADP profile39.
Figure 1d–g shows the ADP profiles for the two electronics, 1Σ (d, e) and 1Π (f, g), and the two intensities, weak (d, f) and moderate (e, g). These figures demonstrate clearly a strong dependence of the ADP on CEP of the sub-cycle pulse. Indeed, when CEP φ = π/2, the profiles follow the well-understood behavior as \({\cos }^{2}\beta\) and \({\sin }^{2}\beta\) for XΣ → Σ and XΣ → Π transitions, respectively19. However, when CEP goes away from π/2, the ADP profiles experience sufficient peak shift and amplitude modulation depending of CEP φ. This phenomena become already visible at the low field intensity (Fig. 1d, f), yet increase drastically with the increasing of laser intensity (Fig. 1e, g). Using shown asymmetric spectral profiles S(β), we define the amplitude modulation (ratio as \(\frac{S(\beta =0)-S(\beta =\pi )}{S(\beta =0)}\)) and peak shift (relative shift of peak position to β = π/2) with respect to CEP, which are presented in Fig. 1h and Fig. 1i for states A1Σ and B1Π, respectively. They reveal nearly linear dependence of CEP for both states and two different pulse intensities, which can be considered as a versatile scheme for CEP characterization of a single attosecond pulse.
Such CEP-dependent behavior for the ADP curves is rather unexpected. Indeed, excitation of a molecule in its ground rovibronic state with \(\left|\nu \right\rangle =0\) and \(\left|JM{{\Omega }}\right\rangle =\left|000\right\rangle\) in the weak field limit results in the population of only J = 1 rotational state in the valence excited dissociative states bringing about the well-known sin2- or cos2-like ADP profiles. As shown in Supplementary Note 2, the asymmetric profiles with respect to CEP are similar and universal even considering non-zero initial rotational temperature for the ensemble. The deviation from this conventional behavior tells that already a weak sub-cycle pulse with asymmetric CEP may open other pathways leading to excitation of more excited rotational states.
Perturbation and numerical analysis
To verify this assumption, we consider a simplified two-level model with transition energy ω21 excited by a weak UV pulse with frequency ω in a perturbation limit, when the wavefunction in the excited state can be expressed as (see Supplementary Note 3)
where \({{{\Delta }}}_{21}^{\pm }={\omega }_{21}\pm \omega\) and τ2 = fwhm2/4ln2, the first and second term are the counter-rotating term and rotating term, obtained by a one-photon transition operator D+(t) and D−(t) applied to the same state, respectively. The total transition operator is D(t) = D+(t) + D−(t), with \({D}^{\pm }(t)={{{{{{{{\rm{e}}}}}}}}}^{\pm {{{{{{{\rm{i}}}}}}}}\varphi }\frac{{{\Omega }}}{2}{{{{{{{{\rm{e}}}}}}}}}^{-\frac{{t}^{2}}{{\tau }^{2}}\pm {{{{{{{\rm{i}}}}}}}}\omega t}(1\pm {{{{{{{\rm{i}}}}}}}}\frac{2t}{{\tau }^{2}\omega })\) and Ω the Rabi frequency. R±(t) and θ±(t) are the amplitude and argument, respectively, and θ±(t → ∞) = 0. Note that using Floquet representation40 Roudnev et al.41 have also showed that the CEP can be separated from the wavefunction. In a near resonant electronic excitation (\({{{\Delta }}}_{21}^{+}\approx 2\omega\) and \({{{\Delta }}}_{21}^{-}\approx 0\)), \({{{{{{{{\rm{e}}}}}}}}}^{-\frac{{(\tau {{{\Delta }}}_{21}^{-})}^{2}}{4}}\) is always less than \({{{{{{{{\rm{e}}}}}}}}}^{-\frac{{(\tau {{{\Delta }}}_{21}^{+})}^{2}}{4}}\) for a short pulse, resulting in a great domination of rotating term in ψ2. The nontrivial phase of ψ2 (excluding the time-dependent one ‘ − ω21t’) is \({\phi }_{2}\simeq \frac{3}{2}\pi -\varphi +{{\Delta }}\theta\), where Δθ comes from the cooperation between counter-rotating term and rotating term. This phase relation becomes ‘exact’ \(\frac{3}{2}\pi -\varphi\) for a long pulse, when the counter-rotating term is usually neglected in the rotating-wave approximation. While in a far-off-resonant rotational excitation (\({{{\Delta }}}_{21}^{\pm }\approx \pm \omega\), R+(t) ≈ R−(t) and θ+(t) ≈ θ−(t)), \({{{{{{{{\rm{e}}}}}}}}}^{-\frac{{(\tau {{{\Delta }}}_{21}^{\pm })}^{2}}{4}}\) decreases exponentially as the increasing of pulse duration, a long UV pulse can not open the rotational excitation by one-photon transition D(t); however for a sub-cycle pulse, \({{{{{{{{\rm{e}}}}}}}}}^{-\frac{{(\tau {{{\Delta }}}_{21}^{\pm })}^{2}}{4}}\) is significant and the excitation can be temporally opened from either D+(t) or D−(t), so that the counter-rotating and rotating terms contribute together to the excitation.
The above analysis unveils the fact that, besides the electronic excitation by the transition dipole interaction, a weak sub-cycle UV pulse can also temporally open the neighboring rotational excitation of the same electronic state by permanent dipole interaction. Such a scheme of excitation by weak sub-cycle UV pulses is illustrated in Fig. 2a: ‘path1’ illustrates a conventional way of electronic excitation in a weak field by interaction D12, while ‘path2’ shows additional process involving neighboring rotational excitations before and after electronic transition (in the initial and valence-excited electronic states) by D11 and D22, respectively. The two vertical lines between electronic states represents the rotating term and counter-rotating term, and the thick one indicates the predominant contribution of the rotating term. While the two arrow-curves represent comparable contributions of both rotating term and counter-rotating term to the rotational excitation. Note that in ‘path2’ for the electronic excitation XΣ → AΣ, transitions to both rotational states J = 0 and J = 2 are allowed, while for the XΣ → BΠ excitation, only state J = 2 is allowed. Excitations to higher rotational states are too small and neglected in the present illustration.
a The excitation scheme in a weak sub-cycle UV field: `path1' is the electronic excitation by interaction D12 to state \(\left|J=1\right\rangle\) (two vertical lines representing two pathways from the rotating and counter-rotating terms, where the thick line indicates the predominant contribution of the rotating term); `path2' corresponds to the excitations to state \(\left|J=0/2\right\rangle\) involving neighboring rotational excitation in the lower state (by interaction D11) or the upper state (by interaction D22). The two arrow-curves between neighboring rotational levels indicate the comparable importance of rotating and counter-rotating terms to the rotational excitation. The excitation to higher rotational states are too tiny and not illustrated. b Nontrivial phase \({\phi }_{2}^{J}\) of rotational state J in electronic state 2 excited by both pathway, and the phase difference \({{\Delta }}\phi ={\phi }_{2}^{J = 0/2}-{\phi }_{2}^{J = 1}\) between the excited rotational states by `path1' and `path2'. Note that the two-pathway can produce constructive or destructive interference results only when the phase difference Δϕ ≠ ± π/2, and such interference becomes largest when Δϕ reaches 0 or π.
Furthermore, the phase difference between different excited rotational states from ‘path1’ and ‘path2’ is quite important for the discussion of their interference. Figure 2b shows the CEP-dependent nontrivial phase \({\phi }_{2}^{J = 1}\) and \({\phi }_{2}^{J = 0/2}\) for the excited rotational wavefunction \({\psi }_{2}^{J = 1}\) and \({\psi }_{2}^{J = 0/2}\), respectively, simulated using a four-level model with present levels and a weak sub-cycle pulse (see Supplementary Note 4). As it shows, \({\phi }_{2}^{J = 1}\) continuously increases with \(\frac{3}{2}\pi -\varphi\), which is in consistency with the two-level perturbation analysis, while \({\psi }_{2}^{J = 0/2}\) varies only slightly around a constant value with CEP changes. The phase difference \({{\Delta }}\phi ={\phi }_{2}^{J = 0/2}-{\phi }_{2}^{J = 1}\) shows not much difference from −π + φ, and Δϕ = − π/2 and 0 (π) when CEP equals to π/2 and −π (0), respectively. Thus one can conclude that ‘path1’ and ‘path2’ do not interfere coherently when φ = π/2 and that when CEP reaches 0 or π the interference becomes largest. The above discussion based on simplified models show clearly the reasons for the CEP-dependence of the ADP profiles shown in Fig. 1d–g, where the ADP is symmetric for CEP=π/2 and follows well as \({\cos }^{2}\beta\) or \({\sin }^{2}\beta\), while it turns into significant asymmetry as CEP approaches 0 or π. The negative amplitude modulation for state AΣ (and positive peak shift for state BΠ) for CEP less than π/2, is exactly the destructive and constrictive results of ‘path1’ and ‘path2’ in forward and backward angles, respectively, with phase difference Δϕ in [−π, −π/2), and vice versa.
Photodissociation by few-cycle UV pulses
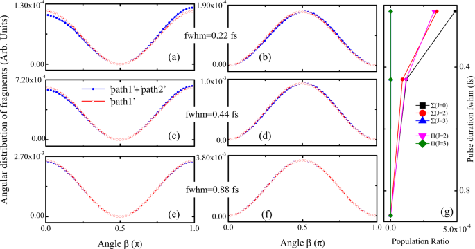
In order to show its unique role of sub-cycle pulse (fwhm = 0.22 fs), the ADP for about one-cycle (fwhm = 0.44 fs) and two-cycle pulses (fwhm = 0.88 fs) with weak intensity (1013 W cm−2) were also computed and presented in Fig. 3a–f for CEP = 0. Here the full simulations (labeled ‘path1’+‘path2’), which include both channels and their interference are compared against a model simulation ‘path1’, where all interactions with the permanent dipole moment are neglected. As it shows, in the model simulations the ADP follows nearly exactly to the conventional \({\cos }^{2}\beta\) or \({\sin }^{2}\beta\) shape, while the full calculations deviate more and more from conventional ADP profile with the decreasing of pulse duration towards sub-cycle pulse. It is worthwhile to note, that there is no observable differences for two-cycle and longer pulses. This observation is consistent with the result revealed in the two-level perturbation model, showing that ‘path2’ will be exponentially suppressed with the increasing of pulse duration. Figure 3g shows the population ratio of particular vibrational J state in the excited electronic state relative to J = 1. As one can see clearly, the contributions of J = 0/2 states decrease from about 10−3 for half-cycle pulse to 10−4 and < 10−6 for one-cycle and two-cycle pulses, respectively. Note that the absolute excitation population of J = 1 state is about or less then 0.1% of the ground state population, so that values of ~10−6 obtained with two-cycle pulses indicate that these states are hardly excited, or J = 1 state could be the only excited rotational state when interaction with a weak long pulse is considered.
Comparison profiles of angular distribution of photofragments triggered by a weak (I = 1013 W cm−2) sub-cycle (fwhm = 0.22 fs (a, b)) and few-cycle pulses (fwhm = 0.44 fs (c, d) and 0.88 fs (e, f)) with CEP = 0. Labels `path1'+`path2' indicate the simulations taking into account all dipole interactions. The angular distribution of photofragments computed with model `path1' (ignoring all the permanent dipole moments) coincide well with \({\cos }^{2}\beta\) or \({\sin }^{2}\beta\). The population ratio of various excited J state over J = 1 state in excited electronic state is shown in panel (g).
Discussion
The photodissociation dynamics induced by an isolated attosecond sub-cycle UV pulse have been investigated theoretically. We show that the angular distribution of the dissociation fragments becomes asymmetric when the carrier-envelope phase of the attosecond UV pulse φ differs from π/2. The phenomenon was explained with the help of additional pathways leading to the rotational excitation without necessity of an electronic transition. With the help of numerical simulations based on LiF molecule as a showcase we show that the UV field interaction with the permanent dipole moment in the ground and valence excited electronic states may lead to the population of the adjacent rotational levels. In spite of rather weak population, the effect opens up additional excitation channels on the electron-rotational transitions and thus makes the ADP profile depend on the CEP of sub-cycle pulse. With the help of a model based on perturbation theory, we show that both counter-rotating term and rotating term play important roles in the far off-resonant electronic excitation, resulting in breaking down of the rotating-wave approximation.
As a result of opening various pathways to the rotational levels of the dissociative electronic states with sufficient phase difference, the ADP pattern becomes asymmetric and thus differs from the well-known \({\cos }^{2}\beta\) (for XΣ → Σ excitation) and \({\sin }^{2}\beta\) (for XΣ → Π excitation) profiles. It was also shown that the asymmetry can be enhanced using an oriented or aligned molecular ensemble (Supplementary Note 2). Moreover, the asymmetry is controlled by variation of CEP of the attosecond UV pulse. From another hand, the measurement of the ADP profiles would allow to get a fine measurements of the CEP of an isolated attosecond UV pulse, providing a feasible tool for complete reconstruction of attosecond waveforms. The obtained results are applicable to all molecules with permanent dipole moments. Indeed, since UV frequency is always much larger than the rotational transitions, the temporal excitation of neighboring rotational states can always be manipulated by CEP. Molecules with the large permanent dipole moment are the favorable candidates suggested for measurements.
The sub-cycle pulses, thanks to their broad energy bandwidth, are playing an increasingly important role in many different studies. In the present study we have shown that CEP of the attosecond pulse can be used as a fine tuner for manipulation of the temporal excitation and the followed dynamics. The present results can be further extended and applied for investigations of ultrafast dynamics in atoms and molecules, when electron excitation and ionization, as well as nuclear dynamics and coupled electron-nuclear dynamics can be effectively controlled by CEP of sub-cycle attosecond UV and XUV pulses.
Methods
The nuclear Hamiltonian for the laser-molecule interactions with rovibronic contribution reads
where T0(q) being the total (vibrational and rotational) kinetic operator, V0(q) being the involved potential energy curves and the radial-couplings between X1Σ and A1Σ. The matrix element Vji(q, t) = E(t)μji(q)κji(βγ) (i, j = X, A, B) represents the laser-dipole interactions on the transition from i to j state with the (transition) dipole moment μji(q). We consider a linearly polarized radiation \(E(t)=-\frac{dA(t)}{dt}\), and the vector potential \(A(t)=\frac{\sqrt{I}}{\omega }g(t)\sin (\omega t+\varphi )\) with the polarization in the space-fixed (SF) Z-axis and peak field intensity I; \(g(t)=\exp (-4\ln 2\cdot {t}^{2}/{{{{{{{{\rm{fwhm}}}}}}}}}^{2})\) is the envelope of the vector potential with full-width at half-maximum fwhm; ω and φ are the central frequency and CEP, respectively; \({\kappa }_{ji}(\beta \gamma )=\sin \beta \ {{{{{{{{\rm{e}}}}}}}}}^{{{{{{{{\rm{i}}}}}}}}\gamma }/\sqrt{2}\) (ΔΛji = 1) or \({\kappa }_{ji}(\beta \gamma )=\cos \beta\) (ΔΛji = 0) are the angular parts in laser-dipole interactions25,26,28, where Λi is the projection of total orbital angular moment (Li) of electronic state i onto the molecular-fixed (MF) z-axis, and β is the Euler angle between MF z-axis and SF Z-axis, γ is the Euler angle representing rotations around the MF z-axis19.
The present rovibronic Schr\(\ddot{o}\)dinger equation is efficiently solved with the help of Heidelberg package of multiconfigurational time-dependent Hartree method42, which can also be easily applied for the future studies for polyatomic molecules. The sin-DVR(discrete variable representation) and L2-normalized Wigner D-functions \(\left|JM{{\Omega }}(\alpha \beta \gamma )\right\rangle\)=\({\left(\frac{2J+1}{8{\pi }^{2}}\right)}^{1/2}{{{{{{{{\rm{D}}}}}}}}}_{M,{{\Omega }}}^{J}(\alpha \beta \gamma )\) were used as basis for the vibrational and rotational degrees of freedom43, respectively. Here \({{{{{{{{\rm{D}}}}}}}}}_{M,{{\Omega }}}^{J}(\alpha \beta \gamma )\) is the Wigner D-function, M and Ω are the projections of total angular moment J onto the SF Z-axis and MF z-axis, respectively. Further details of theory and numerical simulations are given in Supplementary Note 1.
Data availability
The data that support the findings of this study are available from the corresponding authors upon reasonable request.
Code availability
The codes associated with this manuscript are available from the corresponding author on reasonable request.
References
Corkum, P. B. & Krausz, F. Attosecond science. Nat. Phys. 3, 381–387 (2007).
Krausz, F. & Ivanov, M. Attosecond physics. Rev. Mod. Phys. 81, 163–234 (2009).
Arnold, C., Vendrell, O., Welsch, R. & Santra, R. Control of nuclear dynamics through conical intersections and electronic coherences. Phys. Rev. Lett. 120, 123001 (2018).
Lindner, F. et al. Attosecond double-slit experiment. Phys. Rev. Lett. 95, 040401 (2005).
He, P. L., Ruiz, C. & He, F. Carrier-envelope-phase characterization for an isolated attosecond pulse by angular streaking. Phys. Rev. Lett. 116, 203601 (2016).
Wang, Z. L. & Song, J. Piezoelectric nanogenerators based on zinc oxide nanowire arrays. Science 312, 242–246 (2006).
Sansone, G. et al. Electron localization following attosecond molecular photoionization. Nature 465, 763–766 (2010).
Ott, C. et al. Lorentz meets fano in spectral line shapes: a universal phase and its laser control. Science 340, 716–720 (2013).
Calegari, F. et al. Ultrafast electron dynamics in phenylalanine initiated by attosecond pulses. Science 346, 336–339 (2014).
Okino, T. et al. Direct observation of an attosecond electron wave packet in a nitrogen molecule. Sci. Adv. 1, e1500356 (2015).
Peng, L. Y., Jiang, W. C., Geng, J. W., Xiong, W. H. & Gong, Q. H. Tracing and controlling electronic dynamics in atoms and molecules by attosecond pulses. Phys. Rep. 575, 1–71 (2015).
Xiao, X. R., Wang, M. X., Liang, H., Gong, Q. H. & Peng, L. Y. Proposal for measuring electron displacement induced by a short laser pulse. Phys. Rev. Lett. 122, 053201 (2019).
Kobayashi, Y., Chang, K. F., Zeng, T., Neumark, D. M. & Leone, S. R. Direct mapping of curve-crossing dynamics in IBr by attosecond transient absorption spectroscopy. Science 365, 79–83 (2019).
Merritt, I. C. D., Jacquemin, D. & Vacher, M. Attochemistry: Is controlling electrons the future of photochemistry? J. Phys. Chem. Lett. 12, 8404–8415 (2021).
Peng, P. et al. Coherent control of ultrafast extreme ultraviolet transient absorption. Nat. Photon. 16, 45–51 (2022).
Paul, P. M. et al. Observation of a train of attosecond pulses from high harmonic generation. Science 292, 1689 (2001).
Mairesse, Y. & Quéré, F. Frequency-resolved optical gating for complete reconstruction of attosecond bursts. Phys. Rev. A 71, 011401 (2005).
Liu, C. et al. Carrier-envelope phase effects of a single attosecond pulse in two-color photoionization. Phys. Rev. Lett. 111, 123901 (2013).
Zare, R. N. Angular Momentum: Understanding Spatial Aspects in Chemistry and Physics (John Wiley & Sons, New York, 1988).
Herek, J., Materny, A. & Zewail, A. Femtosecond control of an elementary unimolecular reaction from the transition-state region. Chem. Phys. Lett. 228, 15–25 (1994).
Larsen, J. J., Wendt-Larsen, I. & Stapelfeldt, H. Controlling the branching ratio of photodissociation using aligned molecules. Phys. Rev. Lett. 83, 1123–1126 (1999).
Chang, Y. et al. Electronically excited OH super-rotors from water photodissociation by using vacuum ultraviolet free-electron laser pulses. J. Phys. Chem. Lett. 11, 7617–7623 (2020).
Corrales, M. E. et al. Control of ultrafast molecular photodissociation by laser-field-induced potentials. Nat. Chem. 6, 785–790 (2014).
Corrales, M. E., de Nalda, R. & Bañares, L. Strong laser field control of fragment spatial distributions from a photodissociation reaction. Nat. Commun. 8, 1345 (2017).
Liu, Y. R. et al. Electron-rotation coupling in diatomics under strong-field excitation. Phys. Rev. A 102, 033114 (2020).
Liu, Y. R. et al. Photodissociation dynamics of the NH molecule under intense VUV pulses. Phys. Rev. Res. 2, 043348 (2020).
Zhu, Y. P. et al. Core-excited molecules by resonant intense x-ray pulses involving electron-rotation coupling. Chin. Phys. Lett. 38, 053201 (2021).
Liu, Y. R. et al. Ultraviolet pump-probe photodissociation spectroscopy of electron-rotation coupling in diatomics. J. Phys. Chem. Lett. 12, 5534–5539 (2021).
Liu, Y. R. et al. Electron-rotation coupling in UV photodissociation of aligned diatomics. Phys. Rev. Res. 4, 013066 (2022).
Hauri, C. et al. Generation of intense, carrier-envelope phase-locked few-cycle laser pulses through filamentation. Appl. Phys. B 79, 673–677 (2004).
Lin, Y. C., Nabekawa, Y. & Midorikawa, K. Optical parametric amplification of sub-cycle shortwave infrared pulses. Nat. Commun. 11, 3413 (2020).
Sandhu, A. S. et al. Generation of sub-optical-cycle, carrier-envelope-phase—insensitive, extreme-uv pulses via nonlinear stabilization in a waveguide. Phys. Rev. A 74, 061803 (2006).
Xu, J. et al. Terawatt-scale optical half-cycle attosecond pulses. Sci. Rep. 8, 2669 (2018).
Prince, K. et al. Coherent control with a short-wavelength free-electron laser. Nat. Photon. 10, 176–179 (2016).
Di Fraia, M. et al. Complete characterization of phase and amplitude of bichromatic extreme ultraviolet light. Phys. Rev. Lett. 123, 213904 (2019).
You, D. et al. New method for measuring angle-resolved phases in photoemission. Phys. Rev. X 10, 031070 (2020).
Brabec, T. & Krausz, F. Nonlinear optical pulse propagation in the single-cycle regime. Phys. Rev. Lett. 78, 3282–3285 (1997).
Lin, Q., Zheng, J. & Becker, W. Subcycle pulsed focused vector beams. Phys. Rev. Lett. 97, 253902 (2006).
Tóth, A., Csehi, A., Halász, G. J. & Vibók, A. Photodissociation dynamics of the LiF molecule: Two- and three-state descriptions. Phys. Rev. A 99, 043424 (2019).
Chu, S. I. & Telnov, D. A. Beyond the floquet theorem: generalized floquet formalisms and quasienergy methods for atomic and molecular multiphoton processes in intense laser fields. Phys. Rep. 390, 1 (2004).
Roudnev, V. & Esry, B. D. General theory of carrier-envelope phase effects. Phys. Rev. Lett. 99, 220406 (2007).
Worth, G. A., Beck, M. H., Jäckle, A., Vendrell, O. & Meyer, H.-D. The MCTDH Package, Version 8.2, (2000). H.-D. Meyer, Version 8.3 (2002), Version 8.4 (2007). O. Vendrell and H.-D. Meyer Version 8.5 (2013). Version 8.5 contains the ML-MCTDH algorithm. Current versions: 8.4.18 and 8.5.11 (2019). Used version: exchange with “Used version" See http://mctdh.uni-hd.de/.
Beck, M., Jackle, A., Worth, G. & Meyer, H.-D. The multiconfiguration time-dependent hartree (MCTDH) method: a highly efficient algorithm for propagating wavepackets. Phys. Rep. 324, 1–105 (2000).
Acknowledgements
Grants from NSFC (Nos. 11934004, 11974230), the National Basic Research Program of China (Nos. 2017YFA0403200 and 2019YFA0307700), the National Key Research and Development Program of China (2020YFA0211300) are acknowledged. VK acknowledges financial support Swedish Research council (VR 2019-03470).
Author information
Authors and Affiliations
Contributions
S.B.Z. conceived and supervised this project; X.X.D., Y.R.L. and S.B.Z. performed all the simulations; S.B.Z., X.X.D. and Y.R.L. analyzed data; S.B.Z., J.C., V.K., O.V., Y.W. and J.G.W. discussed the results; S.B.Z., X.X.D., Y.R.L., V.K. and J.C. wrote the paper.
Corresponding author
Ethics declarations
Competing interests
The authors declare no competing interests.
Peer review
Peer review information
Communications Physics thanks the anonymous reviewers for their contribution to the peer review of this work.
Additional information
Publisher’s note Springer Nature remains neutral with regard to jurisdictional claims in published maps and institutional affiliations.
Supplementary information
Rights and permissions
Open Access This article is licensed under a Creative Commons Attribution 4.0 International License, which permits use, sharing, adaptation, distribution and reproduction in any medium or format, as long as you give appropriate credit to the original author(s) and the source, provide a link to the Creative Commons license, and indicate if changes were made. The images or other third party material in this article are included in the article’s Creative Commons license, unless indicated otherwise in a credit line to the material. If material is not included in the article’s Creative Commons license and your intended use is not permitted by statutory regulation or exceeds the permitted use, you will need to obtain permission directly from the copyright holder. To view a copy of this license, visit http://creativecommons.org/licenses/by/4.0/.
About this article
Cite this article
Dong, X.X., Liu, Y.R., Kimberg, V. et al. Carrier-envelope-phase measurement of sub-cycle UV pulses using angular photofragment distributions. Commun Phys 5, 181 (2022). https://doi.org/10.1038/s42005-022-00959-3
Received:
Accepted:
Published:
Version of record:
DOI: https://doi.org/10.1038/s42005-022-00959-3





