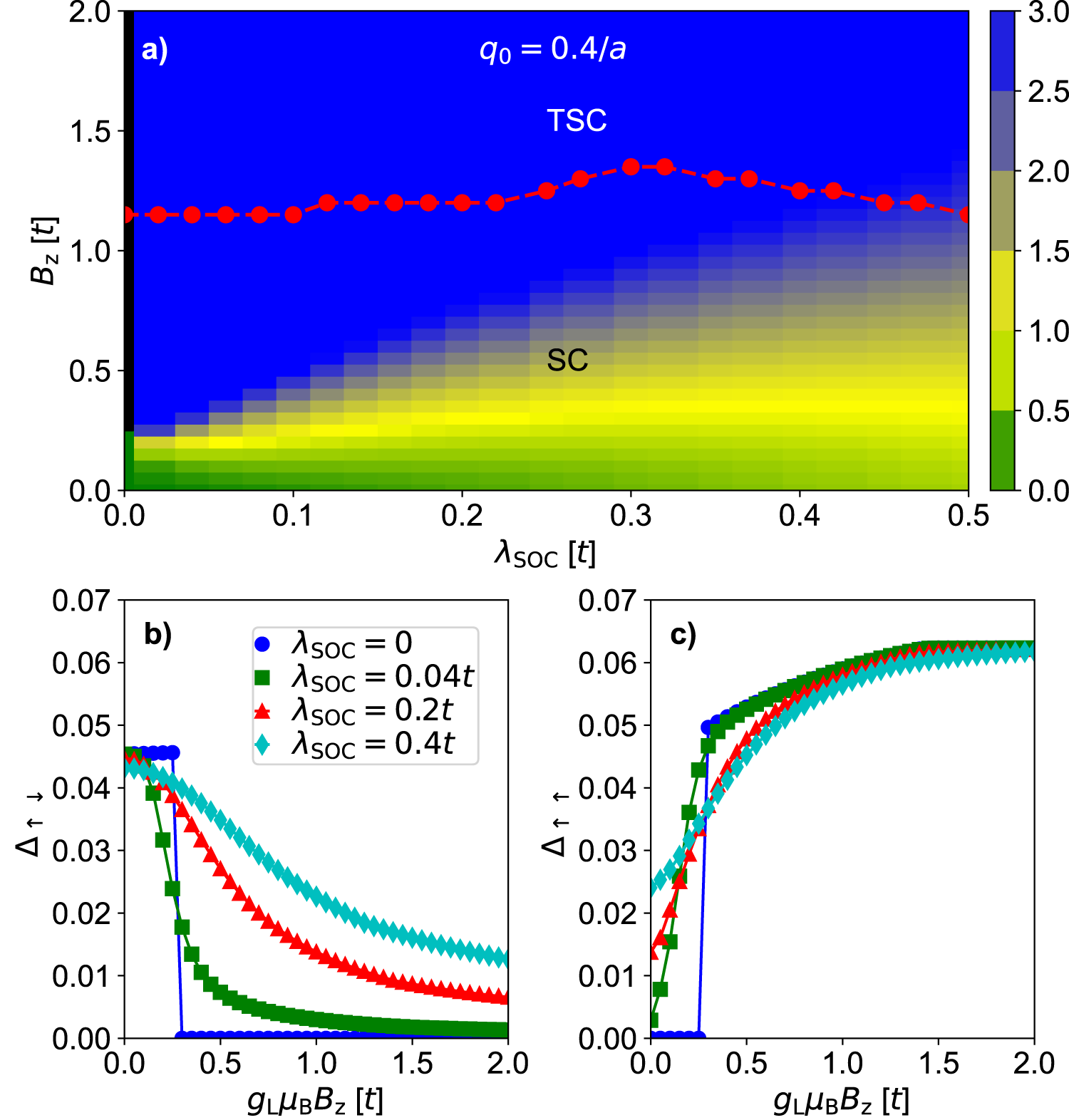
Fig. 3: Phase transitions with different Rashba spin-orbit couplings.
From: Topological superconductivity from forward phonon scatterings

a Phase diagram as a function of magnetic field Bz and spin-orbit coupling λSOC. The color map represents the ratio R between spin-up triplet and singlet pairing fields. The red dashed curve represents the phase boundary between trivial superconducting (SC) and topological superconducting (TSC) states. b The evolution of the singlet pairing field Δ↑↓ with the magnetic field Bz. c The evolution of the spin-up triplet pairing field Δ↑↑ with the magnetic field Bz. The scattering range is set as q0 = 0.4/a, where a is the lattice constant.