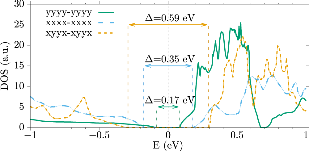
Fig. 3: Density of states for different orbital configurations.

The density of states (DOS) around the Fermi level is shown for the two orbital nematic configurations yyyy (full green line) and xxxx (dashed blue line) as well as for the orbital ordered configuration xyyx (dashed orange line), which is found to be lowest in energy within Hubbard-U corrected density functional theory (DFT + U) calculations.