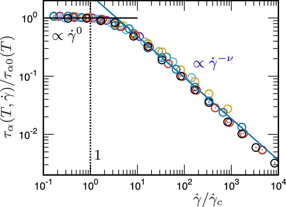
Fig. 10: Scaled plot for shear-rate dependence of the relaxation time in the Kob-Andersen (KA) model.
From: Universal mechanism of shear thinning in supercooled liquids

\({\tau }_{\alpha }(T,\dot{\gamma })/{\tau }_{\alpha 0}(T)\) is plotted as a function of \(\dot{\gamma }/{\dot{\gamma }}_{c}\). Symbols of different colors represent values at different T; T = 0.8 (yellow), 0.7 (purple), 0.6 (green), 0.55 (cyan), 0.5 (orange), 0.48 (blue), 0.46 (red), and 0.45 (black). Black and blue lines indicate τα/τα0 = 1 and \({\tau }_{\alpha }/{\tau }_{\alpha 0}\propto {(\dot{\gamma }/{\dot{\gamma }}_{c})}^{-\nu }\) with ν ≃ 0.71, respectively. The vertical dotted line indicates the location of the onset shear rate \({\dot{\gamma }}_{c}\).