Abstract
Soft glassy materials experience a significant reduction in viscosity η when subjected to shear flow, known as shear thinning. This phenomenon is characterized by a power-law scaling of η with the shear rate \(\dot{\gamma }\), \(\eta \propto {\dot{\gamma }}^{-\nu }\), where the exponent ν is typically around 0.7 to 0.8 across different materials. Two decades ago, the mode-coupling theory (MCT) suggested that shear thinning occurs due to the advection. However, it predicts too large ν = 1 ( > 0.7 to 0.8) and overestimates the onset shear rate by orders of magnitude. Recently, it was claimed that a minute distortion of the particle configuration is responsible for shear thinning. Here we extend the MCT to include the distortion, and find that both advection and distortion contribute to shear thinning, but the latter is dominant. Our formulation works quantitatively for several different glass formers. We explain why shear thinning is universal for many glassy materials.
Similar content being viewed by others
Introduction
Nonlinear rheology is commonly observed in complex fluids and soft materials1. In particular, supercooled glassy liquids exhibit a significant reduction in viscosity η and relaxation time τα when subjected to fast shear flow, a phenomenon known as shear thinning. Both experiments2,3,4 and simulations5,6,7,8 have shown that η and τα follow a power-law scaling with the shear rate \(\dot{\gamma }\) as \(\eta ,\,{\tau }_{\alpha }\propto {\dot{\gamma }}^{-\nu }\), where the exponent ν remains consistent across different materials, typically around 0.7 to 0.8. Understanding shear thinning is crucial not only for the manufacturing and processing of materials but also for broader physical phenomena such as volcanoes and earthquakes. However, we have yet to understand the mechanism responsible for this nonlinear flow and its universal nature. Various theories have been proposed in the past, including the soft glassy rheology theory9, the shear transformation zone theory10, and the elastoplastic model11.
Among these theories, the mode-coupling theory (MCT) is a first-principles theory, which was originally developed to explain the equilibrium dynamics of supercooled liquids near the glass transition point12. The theory describes the slow glassy dynamics in terms of the caging effect; particles are trapped in the cages formed by their neighbors until the structure undergoes reconfiguration at the equilibrium relaxation time τα0, which diverges at the dynamical transition point in the mean-field limit. Note that we denote equilibrium values by the subscript 0 throughout this article. In later years, the MCT has been generalized to sheared liquids13,14. The sheared MCT explains that advection induced by the shear flow breaks the cages and accelerates the dynamics. Shear thinning begins when the timescale of shear, \({\dot{\gamma }}^{-1}\), becomes comparable to τα0, that is, the onset shear rate is \({\dot{\gamma }}_{c} \sim {\tau }_{\alpha 0}^{-1}\). The theory then predicts that as the shear rate further increases, τα decreases as \({\dot{\gamma }}^{-1}\) and thus the thinning exponent ν = 1.
Although the sheared MCT provides a qualitative explanation for the reduction in relaxation time and viscosity, its prediction of ν = 1 is larger than the observation of ν ~0.7 to 0.8 in many previous works2,3,4,5,6,7,8. Moreover, the theory overestimates the values of the onset shear rate \({\dot{\gamma }}_{c}\), which have been found to be orders of magnitude smaller than the theoretical prediction \({\tau }_{\alpha 0}^{-1}\), i.e., \({\dot{\gamma }}_{c}\ll {\tau }_{\alpha 0}\), in experiments and simulations2,7,15,16. These discrepancies between the theory and the observations have remained unaddressed for more than two decades.
Recently, Furukawa17,18,19 has proposed a semi-microscopic theory to explain the shear thinning in supercooled liquids, which is distinct from the advection scenario of the sheared MCT. The theory claims that anisotropic distortion of the particles’ configuration due to shear flow, rather than advection, is responsible for shear thinning. Although this distortion is tiny in dense glassy fluids20,21,22,23, it reduces effective density for fragile glass formers17,18 or effective activation energy for strong glass formers19, which, in turn, induces a drastic acceleration of the dynamics and causes the shear thinning. Based on this distortion scenario, Furukawa succeeded in quantitatively explaining the observed small thinning exponent, ν < 1, and the small onset rate, \({\dot{\gamma }}_{c}\ll {\tau }_{\alpha 0}^{-1}\), for both fragile and strong glass formers.
Questions naturally arise within us. (i) Does the advection scenario of the sheared MCT entirely fail to explain the shear thinning in supercooled liquids? (ii) Does the distortion scenario work universally in different types of supercooled liquids? If so, (iii) can we renovate the sheared MCT by integrating the distortion effect into the theory and reconciling the theory with the observations?
To answer these three questions, we must first assess the validity of the advection scenario of the sheared MCT. To do this, we need a model system that can serve as an ideal fluid for testing the mean-field theory of the glass transition. The Gaussian core model (GCM) is a promising candidate because its slow dynamics are better described by the equilibrium MCT than any other glass-forming liquid24,25,26,27. Firstly, the GCM is a clean, glassy model that does not require size dispersity24,25,26. The monatomic GCM exhibits slow glassy dynamics close to the dynamical transition point Tc without being affected by unwanted crystallization. Secondly, the equilibrium relaxation time of the GCM follows the MCT power-law scaling,
over a wider temperature window than other models of glass formers. The agreement of the exponent γ ≃ 2.7 with the MCT is quantitative. Even the transition temperature Tc, routinely used as a fitting parameter, agrees quantitatively with the MCT prediction. Thirdly, the violation of the Stokes-Einstein (SE) law is very weak, and the diffusion constant D0 is proportional to \({\tau }_{\alpha 0}^{-1}\), which is again consistent with the MCT prediction. Lastly, although a dramatic increase in dynamic heterogeneities accompanies the slow dynamics, the statistics of particles’ displacements remain nearly Gaussian27, and the growth of the dynamical heterogeneities is explained by the inhomogeneous MCT28. This is in stark contrast with other glass formers, where the separation of fast- and slow-moving clusters of particles characterizes the dynamical heterogeneities29. Therefore, if the sheared MCT has any prediction regarding the shear thinning, the GCM should be the first model to be compared with that.
In addition to the GCM, we investigate canonical glass formers such as the Kob-Andersen (KA) model30, the soft sphere (SS) model31, and the van Beest-Kramer-van Santen (BKS) model32. The KA and SS models are typical fragile glass formers, while the BKS model mimics the silica melt, a representative strong glass former. We find that the GCM and these different types of supercooled liquids share similar scaling laws in \({\tau }_{\alpha },\,\eta \propto {\dot{\gamma }}^{-\nu }\) with ν ~ 0.7 ( < 1) and \({\dot{\gamma }}_{c}\propto {\tau }_{\alpha 0}^{-\delta }\ll {\tau }_{\alpha 0}\) with δ ~ 1.4 ( > 1). This result indicates that the mechanism of shear thinning is universal, and it can not be explained by the advection scenario of the sheared MCT.
In particular, the GCM does not adhere to the advection scenario, which dictates that the current sheared MCT fails to explain the shear thinning. We resolve this conundrum by incorporating the distortion effect into the diverging relaxation time and viscosity that the MCT prescribes. Our analysis of the resulting equation reveals that the thinning exponents of ν and δ can be formulated by simple equations, which produce values of ν ~ 0.7 and δ ~ 1.4. We also extend the schematic model of the sheared MCT, proposed by Fuchs and Cates33, to account for the distortion effect. Our theoretical and numerical results resolve long-standing inconsistencies between the theory and the observations in experiments and simulations and establish a universal mechanism of the shear thinning in supercooled liquids.
Results and discussion
Numerical observations
We perform molecular dynamics (MD) simulations on the GCM which is subjected to shear flow in three spatial dimensions. The density is fixed at ρ = 2.0 where the dynamical transition point has been estimated as Tc ≃ 2.68 × 10−624,26. We study a range of temperatures T near Tc, so that our simulations explore supercooled states close to the dynamical transition. The shear rate \(\dot{\gamma }\) is controlled over a wide range to cover the Newtonian to the strongly nonlinear regimes. From the MD trajectory data, we measure the relaxation time τα, the diffusion constant D, and the viscosity η as a function of T and \(\dot{\gamma }\). For detailed information on MD simulations and calculations of τα, D, and η, please see Methods.
In addition to the GCM, we conduct MD simulations on the KA model under shear flow and measure τα and η. We also extract available data on the SS model from ref. 18, the two-dimensional SS (2DSS) model from ref. 17, and the BKS model from ref. 19. Details of MD simulations on the KA model and system descriptions of the SS, 2DSS, and BKS models are provided in Methods.
Figure 1 presents the data on all the studied systems together. We provide τα for the GCM and the KA model and η for the KA, SS, 2DSS, and BKS models. Note that the linear relation τα ∝ η normally holds, as we confirm for the KA model in Methods and for the SS model in ref. 34. Thus, τα and η provide essentially the same information on dynamics, in general. However, we find that τα ∝ η breaks at high shear rates in the GCM, as shown in Methods. This point requires further detailed investigation. In Fig. 1, we show τα (not η) for the GCM.
We present data for the Gaussian core model (GCM), the Kob-Andersen (KA) model, the soft sphere (SS) model, the two-dimensional SS (2DSS) model, and the van Beest-Kramer-van Santen (BKS) model. a Plots of τα/τα0, η/η0, or \({D}^{-1}/{D}_{0}^{-1}\) are shown as a function of \(\dot{\gamma }/{\dot{\gamma }}_{c}\). The temperature is T = 2.9 × 10−6 (GCM), 0.45 (KA), 0.275 (SS), 0.577 (2DSS), and 0.511 (BKS), all above the dynamical transition temperature Tc. The black line represents \({\tau }_{\alpha }/{\tau }_{\alpha 0},\,\eta /{\eta }_{0},\,{D}^{-1}/{D}_{0}^{-1}=1\). The blue line represents \(\propto {\dot{\gamma }}^{-0.7}\), while the red line refers to \(\propto {\dot{\gamma }}^{-1}\) (advection scenario). The vertical dotted line indicates the onset shear rate \({\dot{\gamma }}_{c}\). b \({\dot{\gamma }}_{c}\) is plotted against τα0 or η0. The blue line presents \({\dot{\gamma }}_{c}\propto {\tau }_{\alpha 0}^{-1.4}\) or \({\eta }_{0}^{-1.4}\), while the red line refers to \({\dot{\gamma }}_{c}={\tau }_{\alpha 0}^{-1}\) or \({\eta }_{0}^{-1}\) (advection scenario). The data for the SS model are extracted from ref. 18, the 2DSS model from ref. 17, and the BKS model from ref. 19.
In panel (a) of Fig. 1, we plot τα/τα0 and η/η0 against \(\dot{\gamma }/{\dot{\gamma }}_{c}\). Here, τα, η, and \(\dot{\gamma }\) are normalized using the equilibrium values τα0 and η0, and the onset shear rate \({\dot{\gamma }}_{c}\), respectively, in order to compare different systems. We observe that all the systems studied exhibit similar dependences on \(\dot{\gamma }\), which are not proportional to \({\dot{\gamma }}^{-1}\) (red line), but rather proportional to \({\dot{\gamma }}^{-\nu }\) with ν ~ 0.7 (blue line). We particularly emphasize that the GCM does not follow the \(\propto {\dot{\gamma }}^{-1}\) dependence of the advection scenario. For the GCM, we also plot data on \({D}^{-1}/{D}_{0}^{-1}\) which are indistinguishable from those on τα/τα0. This agreement demonstrates that the SE law in the form of τα ∝ D−1 holds throughout the shear thinning regime, not just in equilibrium states24,26. Thus, both the structural relaxation and the diffusion dynamics of the GCM do not follow the \(\propto {\dot{\gamma }}^{-1}\) of the advection scenario.
In panel (b) of Fig. 1, we present the onset shear rate \({\dot{\gamma }}_{c}\) as a function of τα0 or η0. For all the systems studied, we observe that \({\dot{\gamma }}_{c}\) is much smaller than \({\tau }_{\alpha 0}^{-1}\) or \({\eta }_{0}^{-1}\) (red line), and it follows \({\dot{\gamma }}_{c}\propto {\tau }_{\alpha 0}^{-\delta }\) or \(\propto {\eta }_{0}^{-\delta }\) with δ ~ 1.4 (blue line). In particular, the GCM does not follow \({\dot{\gamma }}_{c} \sim {\tau }_{\alpha 0}^{-1}\) of the advection scenario. We thus conclude that the current sheared MCT fails to explain the shear thinning in supercooled liquids. In contrast, the GCM and the other systems share similar scaling behaviors of \({\tau }_{\alpha }\propto {\dot{\gamma }}^{-\nu }\) with ν ~ 0.7 and \({\dot{\gamma }}_{c}\propto {\tau }_{\alpha 0}^{-\delta }\,(\ll {\tau }_{\alpha 0}^{-1})\) with δ ~ 1.4. This result suggests a universal mechanism of the shear thinning in supercooled liquids.
Distortion scenario
As the advection scenario of the sheared MCT fails to explain the shear thinning, we turn our attention to the distortion scenario proposed by Furukawa17,18,19. All the systems studied in Fig. 1, including not only the GCM but also the KA, SS, 2DSS, and BKS models, follow the MCT power-law scaling, Eq. (1), in the temperature regime above the critical temperature Tc. We summarize the values of Tc and γ in Table 1, which are sourced from published papers. Note that γ in the current systems lies between 2 and 3. This fact motivates us to explain a universal mechanism behind shear thinning by incorporating the distortion effect into the MCT power-law scaling.
The shear flow distorts the particles’ configuration in an anisotropic manner, which causes the effective density ρeff to increase along the compression axis and decrease along the decompression axis. Since the distortion occurs on the timescale of τα, the variation of ρeff due to the shear is characterized by the strain \(\dot{\gamma }{\tau }_{\alpha }\). Thus, assuming \(\dot{\gamma }{\tau }_{\alpha }\ll 1\) (we confirm that \(\dot{\gamma }{\tau }_{\alpha }\) is at most 10−1 for the GCM and the KA model), ρeff can be described as
where ρ is the density in the unsheared (equilibrium) state, and \({b}_{\rho }={\left.\partial {\rho }_{{{{{{{{\rm{eff}}}}}}}}}/\partial (\dot{\gamma }{\tau }_{\alpha })\right\vert }_{\dot{\gamma }{\tau }_{\alpha } = 0}\) can be positive or negative, depending on the direction of compression or decompression.
We next consider how the variation in ρeff impacts the relaxation time τα. In the case of the GCM, since the dynamics accelerate as the density increases24,26, the direction along the compression axis, where bρ is positive and ρeff increases, contributes to the shear thinning. Although the dynamics become slow in the other direction (along the decompression axis), this does not prevent the shear thinning because an acceleration along the compression axis leads to a significant acceleration in overall dynamics. On the other hand, for the KA, SS, 2DSS, and BKS models, the dynamics speed up with decreasing the density, and the direction of the negative bρ along the decompression axis causes the shear thinning. This behavior is contrary to that of the GCM. However, in both cases, a minute but finite variation in ρeff commonly plays a crucial role in the shear thinning process.
Focusing on the direction of the positive bρ for the GCM or that of the negative bρ for the KA, SS, 2DSS, and BKS models, we can proceed with the following formulations for \({\tau }_{\alpha }(T,\dot{\gamma })\). Recall that τα0(T) of the unsheared (equilibrium) system follows the MCT power-law scaling, Eq. (1), close to Tc; \({\tau }_{\alpha 0}\propto {[T-{T}_{c}(\rho )]}^{-\gamma }\) where Tc is a function of the density ρ. We assume that this power-law scaling remains valid under shear by replacing ρ in Tc by ρeff, i.e.,
In addition, applying Eq. (2) for ρeff, we can approximate Tc(ρeff) as
where \({b}_{T}=-{\left.\partial {T}_{c}/\partial (\dot{\gamma }{\tau }_{\alpha })\right\vert }_{\dot{\gamma }{\tau }_{\alpha } = 0}=-{b}_{\rho }{\left.d{T}_{c}/d{\rho }_{{{{{{{{\rm{eff}}}}}}}}}\right\vert }_{{\rho }_{{{{{{{{\rm{eff}}}}}}}}} = \rho }\) is a positive constant regardless of the system, since Tc(ρeff) is a decreasing function of ρeff for the GCM24,26 whereas it is an increasing function of ρeff for the KA, SS, 2DSS, and BKS models. Finally, using Eq. (4) for Tc(ρeff) in Eq. (3), we arrive at a self-consistent equation for \({\tau }_{\alpha }(T,\dot{\gamma })\);
By using Eq. (5), we can make predictions for the onset shear rate and the thinning scaling as below. Since \({b}_{T}\dot{\gamma }{\tau }_{\alpha 0}\) becomes comparable to \(T-{T}_{c}(\rho )\propto {\tau }_{\alpha 0}^{-1/\gamma }\) at the onset \(\dot{\gamma }={\dot{\gamma }}_{c}\), we obtain
In addition, once the shear thinning builds up, \({b}_{T}\dot{\gamma }{\tau }_{\alpha } \, \gg T-{T}_{c}(\rho )\) holds. Thus, Eq. (5) leads to \({\tau }_{\alpha }\propto {({b}_{T}\dot{\gamma }{\tau }_{\alpha })}^{-\gamma }\), giving a thinning scaling of
Note that for strong glass formers like the BKS model, we need to consider the activation energy Eeff instead of the density ρeff in the above formulations19. However, by replacing ρeff with Eeff, we arrive at the same self-consistent equation for \({\tau }_{\alpha }(T,\dot{\gamma })\), Eq (5). This results in obtaining the same formulations as in Eqs. (6) and (7) for the strong glass formers.
We thus derive expressions for the thinning exponents ν = γ/(γ + 1) in Eq. (7) and δ = (γ + 1)/γ in Eq. (6). These expressions are applicable to any system that remains above the dynamical transition temperature Tc and follows the MCT power-law scaling given by Eq. (1). By substituting specific values of γ into these expressions, we can obtain values for ν and δ, which are summarized in Table 1. For the present systems, we have values of γ ranging from 2 to 3, resulting in ν ~ 0.7 and δ ~ 1.4, which are quantitatively consistent with the observations in Fig. 1.
Therefore, we conclude that the distortion scenario universally works in different types of supercooled liquids, including the GCM and the fragile and strong glass formers. The exponents, ν = γ/(γ + 1) and δ = (γ + 1)/γ, are determined by the MCT exponent γ. This means that the power-law scaling in the shear thinning comes from the equilibrium MCT critical scaling near Tc. The present systems show similar thinning exponents ν ( ~ 0.7) and δ ( ~ 1.4), which are generated by similar values of γ ( ~ 2 to 3).
Schematic model of the sheared MCT
As we have seen so far, the distortion scenario accompanied by the MCT power-law scaling is successful in explaining the nontrivial values of exponents ν ~ 0.7 and δ ~ 1.4 in observations, through ν = γ/(γ + 1) and δ = (γ + 1)/γ. In the next step, we will integrate the distortion mechanism into the current sheared MCT to renovate the theory.
For this goal, we shall consider the schematic version of the MCT which drops wavenumber (k) dependences12. The schematic MCT for unsheared (equilibrium) liquids, which is also known as the Leutheusser equation35, has the mathematically same form as the k-dependent full MCT and preserves key characteristics of nontrivial slow dynamics and the dynamical transition, such as the power-law divergence of the relaxation time36,37. The schematic MCT has been extended to sheared liquids33,38,39, which again retains the consequences of the k-dependent full-sheared MCT.
We start with the sheared \({F}_{2}^{(\dot{\gamma })}\) model proposed by Fuchs and Cates33,
with the memory kernel,
where ϕ(t) represents a normalized intermediate scattering function, and the dot denotes the time derivative. λ is a parameter that contains information on the static structure factor and the temperature. In the equilibrium states with \(\dot{\gamma }=0\), this model predicts the MCT power-law scaling,
with γ ≃ 1.76, and the dynamical transition at λc = 4. The term \({(\dot{\gamma }t)}^{2}\) in the denominator in m(t) of Eq. (9) accounts for the advection effect by the shear flow. The fact that \(\dot{\gamma }\) is scaled by t demonstrates that the advection and its resultant decoupling of the nonlinear coupling of density fields are responsible for shear thinning. As does the k-dependent full MCT, the model predicts \({\tau }_{\alpha }\propto {\dot{\gamma }}^{-1}\) and \({\dot{\gamma }}_{c}\propto {\tau }_{\alpha 0}^{-1}\), i.e., values of exponents ν = 1 and δ = 1 (see solid lines of bλ = 0 in Fig. 2). These predictions contradict the numerical observations of ν < 1 and δ > 1 in Fig. 1, which are, however, correctly captured by the distortion scenario17,18,19, as we have demonstrated in the previous section.
We present predictions for different bλ values; bλ = 0 (solid lines), 3 × 10−4 (dashed lines), and 10−2 (dotted lines). Note that bλ = 0 corresponds to the original MCT model with advection only. a τα is plotted as a function of \(\dot{\gamma }\). λ is fixed at λc − λ = 2 × 10−6 (λc = 4). The arrow indicates \(\dot{\gamma }={\tau }_{\alpha 0}^{-1}\). The red and blue lines respectively indicate \({\tau }_{\alpha }\propto {\dot{\gamma }}^{-1}\) due to advection and \({\tau }_{\alpha }\propto {\dot{\gamma }}^{-\nu }\) with ν = γ/(γ + 1) ≃ 0.64 ( < 1) due to distortion. b \({\dot{\gamma }}_{c}\) is plotted against τα0. The red and blue lines respectively indicate \({\dot{\gamma }}_{c}\propto {\tau }_{\alpha 0}^{-1}\) due to advection and \({\dot{\gamma }}_{c}\propto {\tau }_{\alpha 0}^{-\delta }\) with δ = (γ + 1)/γ ≃ 1.57 ( > 1) due to distortion.
In the equilibrium MCT, the static structure factor S(∣k∣) (or λ in the schematic version) is an essential input parameter (k is wavevector, and ∣k∣ = k). In the sheared systems, S(∣k∣) (or λ) is distorted and replaced by a nonequilibrium function SNE(k)20,21,22,23 (or λNE). So far, the sheared MCT has never taken SNE(k) into account based on the observation that the distortion of S(∣k∣) to SNE(k) is very small40,41. However, we now understand from the distortion scenario that this tiny distortion is surely responsible for shear thinning and needs to be addressed in the theory.
Here, we propose to introduce the distortion effect into the schematic MCT model, Eq. (9), by modifying λ to λNE as follows. The procedure is the same in formulating Eq. (2). The distortion occurs on the timescale of the structural relaxation time τα, and the density field experiences the strain \(\dot{\gamma }{\tau }_{\alpha }\). Thus, assuming \(\dot{\gamma }{\tau }_{\alpha }\ll 1\), the distorted parameter λNE can be expressed as
where \({b}_{\lambda }={\left.-\partial {\lambda }_{{{{{{{{\rm{NE}}}}}}}}}/\partial (\dot{\gamma }{\tau }_{\alpha })\right\vert }_{\dot{\gamma }{\tau }_{\alpha } = 0}\,( > 0)\) is a model parameter that quantifies sensitivity to the shear flow. Replacing λ by λNE in Eq. (9) while keeping the advection effect, we have
which accounts for the distortion effect in addition to the advection effect. In the case of bλ = 0, the model reduces to the original model, Eq. (9), with the advection effect only. By setting bλ > 0, the distortion effect is introduced, and it is increased by increasing bλ.
Let us first discuss the distortion effect solely by considering the MCT model without the advection;
Since λ is replaced by \({\lambda }_{{{{{{{{\rm{NE}}}}}}}}}=\lambda -{b}_{\lambda }\dot{\gamma }{\tau }_{\alpha }\) [Eq. (11)], the MCT power-law scaling, Eq. (10), for τα0(λ) (in the absence of \(\dot{\gamma }\)) transforms to a self-consistent equation for \({\tau }_{\alpha }(\lambda ,\dot{\gamma })\);
This equation is essentially the same as Eq. (5). Solving Eq. (14), we obtain the same formulations of δ = (γ + 1)/γ in Eq. (6) and ν = γ/(γ + 1) in Eq. (7). We thus conclude that the distortion effect is correctly embedded in the MCT model, Eq. (12). The MCT exponent γ ≃ 1.76 provides specific values of δ = (γ + 1)/γ ≃ 1.57 ( > 1) and ν = γ/(γ + 1) ≃ 0.64 ( < 1) in this MCT model.
Figure 2 presents numerical solutions of the MCT model, Eq. (12), for three different values of bλ: 0 (solid lines), 3 × 10−4 (dashed lines), and 10−2 (dotted lines). Panel (a) shows τα as a function of \(\dot{\gamma }\) for λc − λ = 2 × 10−6, while panel (b) shows \({\dot{\gamma }}_{c}\) as a function of τα0. When bλ = 0, the advection scenario is produced, with \({\tau }_{\alpha }\propto {\dot{\gamma }}^{-1}\) and \({\dot{\gamma }}_{c} \sim {\tau }_{\alpha 0}^{-1}\). However, when bλ = 10−2, the distortion scenario is produced, with \({\tau }_{\alpha }\propto {\dot{\gamma }}^{-\nu }\) and \({\dot{\gamma }}_{c} \sim {\tau }_{\alpha 0}^{-\delta }\) as described in Eqs. (7) and (6), respectively. At the intermediate value of bλ = 3 × 10−4, the model predicts the crossover from the distortion-induced \({\tau }_{\alpha }\propto {\dot{\gamma }}^{-\nu }\) to the advection-induced \({\tau }_{\alpha }\propto {\dot{\gamma }}^{-1}\). The model also explains that a larger distortion effect with increasing bλ results in a much slower \({\dot{\gamma }}_{c}\).
In the present systems of the GCM and the KA, SS, 2DSS, and BKS models, the situations all relate to large values of bλ. In such cases, the primary factor affecting shear thinning is distortion rather than advection. As a result, we update the sheared MCT to include the distortion effect, which resolves long-standing inconsistencies between the theory and the observations in experiments and simulations.
Conclusions
We have addressed questions (i) to (iii) raised in the Introduction. Firstly, we have observed that different types of systems, namely the GCM, and the KA, SS, and BKS models, exhibit similar scalings of \({\tau }_{\alpha },\,\eta \propto {\dot{\gamma }}^{-\nu }\) with ν ~ 0.7 ( < 1) and \({\dot{\gamma }}_{c}\propto {\tau }_{\alpha 0}^{-\delta }\) with δ ~ 1.4 ( > 1), as in Fig. 1. The GCM does not follow \({\tau }_{\alpha }\propto {\dot{\gamma }}^{-1}\) and \({\dot{\gamma }}_{c}\propto {\tau }_{\alpha 0}^{-1}\) of the advection scenario, which dictates that (i) the current sheared MCT entirely fails to explain the shear thinning. Next, we used the distortion scenario accompanied by the MCT power-law scaling and formulated the thinning exponents, ν = γ/(γ + 1) in Eq. (7) and δ = (γ + 1)/γ in Eq. (6), in terms of the MCT exponent γ. These formulations provide quantitatively correct values of ν ~ 0.7 and δ ~ 1.4 in the observations, thus concluding that (ii) the distortion scenario works universally in the GCM and the fragile and strong glass formers. Finally, we integrated the distortion effect into the schematic MCT model as in Eq. (12), which explains ν = γ/(γ + 1) and δ = (γ + 1)/γ. Consequently, (iii) we renovated the sheared MCT by accounting for the distortion effect. Our numerical and theoretical results (i) to (iii) have resolved the long-standing discrepancies between the theory and the observations in experiments and simulations, establishing a universal mechanism of shear thinning in supercooled liquids.
The thinning exponents ν and δ are determined by the MCT exponent γ. This indicates that the power-law scalings observed in shear thinning originate from the criticality of the equilibrium MCT near the dynamical transition point Tc. All the systems studied in this work exhibit similar shear-rate dependences for τα or η, which is due to their similar values of γ, ranging from 2 to 3. It would be interesting in future research to investigate systems with values of γ that differ significantly from this range. For instance, the harmonic spheres can display γ ≃ 5.3 at high packing fractions above φ = 0.842, resulting in ν ≃ 0.84 and δ ≃ 1.19.
On the other hand, although macroscopic observables (τα and η) follow similar shear-rate dependencies across different systems, microscopic dynamics are expected to be quite different. The equilibrium dynamics of the GCM differ significantly from those of typical liquids with short-ranged, harshly repulsive potentials like the KA model27. In the KA model, dynamics are described by the caging mechanism with hopping motions between local cages, whereas the GCM exhibits rather continuous motions that are not characterized by the standard caging mechanism. The most recent work43 reported that the GCM also exhibits the caging dynamics at low densities, and upon increasing the density, a smooth variation occurs towards the non-caging dynamics. In addition, it was reported that dynamics are very different between fragile glass formers (SS model) and strong glass formers (BKS model)44. Therefore, one would expect that microscopic dynamics under shear flow differ significantly among the GCM and the fragile and strong glass formers.
The present work focuses on the temperature regime above the dynamical transition temperature Tc. In this regime, the shear thinning is closely related to the equilibrium MCT criticality. On the other hand, we expect a distinct behavior below Tc. At the mean-field level, the equilibrium dynamics transition from non-activation to activation as the temperature decreases across Tc. In finite dimensions, non-mean-field effects disrupt this transition, but we can still observe its remnants as a dynamic crossover in the KA model45,46. In the future, it would be interesting to explore the nonlinear rheology below the dynamical transition.
Finally, it is commonly accepted that the viscosity is proportional to the relaxation time as η ∝ τα (as shown in Methods for the KA model); the relaxation time is responsible for controlling the viscosity in glass-forming liquids. However, as shown in Methods, we have observed that this relationship does not apply in the GCM at high shear rates. This suggests that the shear modulus, measured as G = η/τα, is dependent on the shear rate \(\dot{\gamma }\); in the GCM, as \(\dot{\gamma }\) increases, so does G. Further analysis is required to investigate this matter in the future.
Methods
MD simulations on GCM subjected to shear flow
We perform MD simulations on the mono-disperse GCM in three spatial dimensions24,25,26,27. The particles interact via the potential,
where ϵ and σ characterize energy and length scales, respectively. The interaction is truncated at r = 5σ. The mass of particles is m. We use σ, ϵ/kB (kB is Boltzmann constant), and \(\tau ={(m{\sigma }^{2}/\epsilon )}^{1/2}\) as units of length, temperature, and time, respectively. The number density is fixed at ρ = N/V = 2.0, where N = 4000 is the number of particles and V is the system volume. At ρ = 2.0, the dynamical transition temperature estimated by the standard power-law fitting for τα0 is Tc ≃ 2.68 × 10−6 24,26. To explore supercooled states, we study various temperatures ranging from T × 106 = 10.0 to 2.9 which is close enough to Tc.
After the system was equilibrated at each temperature T, we applied a steady shear flow to drive the system into a nonequilibrium state5,6,7,8. We integrated the SLLOD equations using the Lees-Edwards boundary condition, with the Nos\(\acute{{{{{{{{\rm{e}}}}}}}}}\)-Hoover thermostat to maintain the temperature47. To cover the Newtonian to the strongly nonlinear regimes, we control the shear rate \(\dot{\gamma }\) over a wide range from \(\dot{\gamma }=1{0}^{-8}\) to 10−3. Here, we set the x-axis along the flow direction and the y-axis along the velocity gradient direction. The mean velocity profile v is thus given as
where eμ (μ = x, y, z) is the unit vector along the μ axis. We note that \(\dot{\gamma } \sim 5\times 1{0}^{-4}\) is high enough that the relaxation time τα reaches the timescale of vibrations, the so-called Einstein period48.
Self-intermediate scattering function and mean-squared displacements of GCM
We employ two measurements to study the dynamics of particles; the self-intermediate scattering function Fs(k, t),
and the mean-squared displacements 〈Δr2(t)〉,
where ri = (xi, yi, zi) is the position of particle i, 〈〉 denotes the ensemble average, and we subtract from the total displacement of each particle, the contribution resulting from the advective transport by the mean shear flow, \(\dot{\gamma }\int\nolimits_{0}^{t}{y}_{i}(s)ds{{{{{{{{\bf{e}}}}}}}}}_{x}\)5.
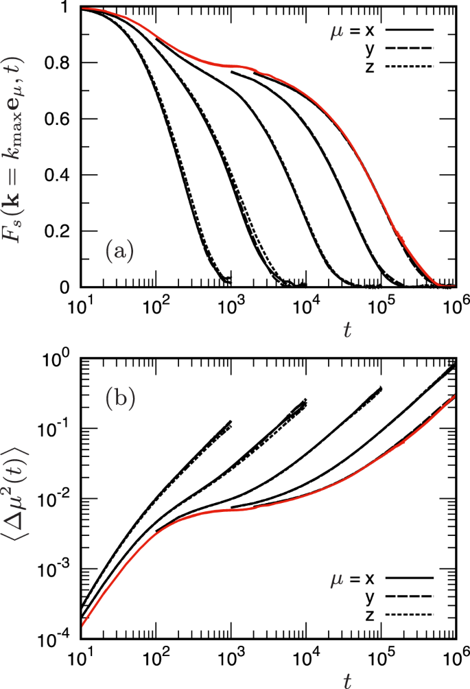
Figure 3a displays Fs(k, t) for \({{{{{{{\bf{k}}}}}}}}={k}_{\max }{{{{{{{{\bf{e}}}}}}}}}_{x}\), \({k}_{\max }{{{{{{{{\bf{e}}}}}}}}}_{y}\), and \({k}_{\max }{{{{{{{{\bf{e}}}}}}}}}_{z}\), where \({k}_{\max }\simeq 8.4\) is the wavenumber at which the static structure factor takes a maximum. In Fig. 3b, we report 〈Δr2(t)〉 by separating x, y, and z components;
We observe that both Fs(k, t) and 〈Δr2(t)〉 show a drastic acceleration of the dynamics due to the shear flow. In addition, both data are isotropic, showing little dependence on x, y, and z directions or components, even at the highest shear rate \(\dot{\gamma }=1{0}^{-3}\).
a \({F}_{s}({{{{{{{\bf{k}}}}}}}}={k}_{\max }{{{{{{{{\bf{e}}}}}}}}}_{\mu },t)\) and b 〈Δμ2(t)〉 are plotted as a function of t. The temperature is T × 106 = 3.0. The red lines present values in the equilibrium state with \(\dot{\gamma }=0\), while black lines give values in the sheared states with different \(\dot{\gamma }\); from right to left, \(\dot{\gamma }=1{0}^{-7}\), 10−6, 10−5, 10−4, and 10−3. We plot data for μ = x, y, and z directions or components, represented by solid, dashed, and dotted lines, respectively.
Relaxation time of GCM
From the relaxation behavior of Fs(k, t), we calculate the relaxation time τα as
Figure 4a shows the shear-rate \(\dot{\gamma }\) dependence of \({\tau }_{\alpha }(T,\dot{\gamma })\) for various temperatures T. The figure demonstrates the shear thinning behavior in the GCM, which is characterized by a power-law scaling \({\tau }_{\alpha }\propto {\dot{\gamma }}^{-\nu }\) with an exponent ν ≃ 0.73 (blue line). The value of ν ≃ 0.73 is obtained through ν = γ/(γ + 1) with γ = 2.7 as shown in Table 1. We note that at the high shear rate \(\dot{\gamma }\gtrsim 5\times 1{0}^{-4}\), τα reaches the timescale of vibrations48, and consequently it deviates from the scaling behavior of \({\tau }_{\alpha }\propto {\dot{\gamma }}^{-\nu }\).
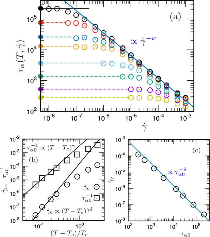
a \({\tau }_{\alpha }(T,\dot{\gamma })\) is plotted as a function of \(\dot{\gamma }\). Symbols of different colors represent values at different T; from bottom to top, T × 106 = 10.0 (yellow), 7.0 (purple), 5.0 (green), 4.0 (cyan), 3.4 (orange), 3.2 (blue), 3.0 (red), and 2.9 (black), all of which are above Tc × 106 ≃ 2.68. Closed symbols indicate the equilibrium values τα0(T). For T × 106 = 2.9, black line indicates \({\tau }_{\alpha }={\tau }_{\alpha 0}\propto {\dot{\gamma }}^{0}\), whereas the blue line indicates \({\tau }_{\alpha }\propto {\dot{\gamma }}^{-\nu }\) with ν ≃ 0.73 [Eq. (7)]. b \({\dot{\gamma }}_{c}\) and \({\tau }_{\alpha 0}^{-1}\) are plotted as a function of (T − Tc)/Tc. The lines present the power-law scalings, \({\tau }_{\alpha 0}^{-1}\propto {(T-{T}_{c})}^{\gamma }\) with γ ≃ 2.7 [Eq. (1)] and \({\dot{\gamma }}_{c}\propto {(T-{T}_{c})}^{\gamma \delta }\) with γδ ≃ 3.7 [Eq. (21)]. c \({\dot{\gamma }}_{c}\) is plotted against τα0. The blue line presents the scaling relation of \({\dot{\gamma }}_{c}\propto {\tau }_{\alpha 0}^{-\delta }\) with δ ≃ 1.37 [Eq. (6)].
Next, for each temperature T, we measure the onset shear rate \({\dot{\gamma }}_{c}\) at which the shear thinning starts. In Fig. 4b, we plot \({\dot{\gamma }}_{c}\) as a function of (T − Tc)/Tc, and compare it to \({\tau }_{\alpha 0}^{-1}\) as the sheared MCT predicts \({\dot{\gamma }}_{c1} \sim {\tau }_{\alpha 0}^{-1}\). It is observed that \({\dot{\gamma }}_{c}\) is considerably (orders of magnitude) smaller than \({\tau }_{\alpha 0}^{-1}\). Note that this figure also confirms the MCT power-law scaling, Eq. (1), close to the critical temperature Tc (see the line for squares), in keeping with previous works24,26. In addition, we display \({\dot{\gamma }}_{c}\) against τα0 in Fig. 4c, showing that the data are well fitted by \({\dot{\gamma }}_{c}\propto {\tau }_{\alpha 0}^{-\delta }\) with δ ≃ 1.37 (blue line). The value of δ ≃ 1.37 is obtained through δ = (γ + 1)/γ with γ = 2.7 as in Table 1. This result suggests that \({\dot{\gamma }}_{c}\) follows a power-law scaling,
with γδ ≃ 3.7. This scaling indeed works close to Tc, as confirmed in Fig. 4b (see the line for circles).
We then present a scaled plot of \({\tau }_{\alpha }(T,\dot{\gamma })/{\tau }_{\alpha 0}(T)\) versus \(\dot{\gamma }/{\dot{\gamma }}_{c}\) in Fig. 5. Note that in Fig. 5, we exclude data at the high shear rates \(\dot{\gamma }\ge 5\times 1{0}^{-4}\) at which τα reaches the timescale of vibrations. The data collapse onto a single curve regardless of temperature, which establishes
where ν ≃ 0.73, and \({\dot{\gamma }}_{c}\propto {\tau }_{\alpha 0}^{-\delta }\) with δ ≃ 1.37. Figure 1 in the main text presents data on τα/τα0 versus \(\dot{\gamma }/{\dot{\gamma }}_{c}\) at the lowest T = 2.9 × 10−6 in (a), and \({\dot{\gamma }}_{c}\) versus τα0 in (b).
\({\tau }_{\alpha }(T,\dot{\gamma })/{\tau }_{\alpha 0}(T)\) is plotted as a function of \(\dot{\gamma }/{\dot{\gamma }}_{c}\). Symbols of different colors represent values at different T; T × 106 = 10.0 (yellow), 7.0 (purple), 5.0 (green), 4.0 (cyan), 3.4 (orange), 3.2 (blue), 3.0 (red), and 2.9 (black). Black and blue lines indicate τα/τα0 = 1 and \({\tau }_{\alpha }/{\tau }_{\alpha 0}\propto {(\dot{\gamma }/{\dot{\gamma }}_{c})}^{-\nu }\) with ν ≃ 0.73, respectively. The vertical dotted line indicates the location of the onset shear rate \({\dot{\gamma }}_{c}\).
Diffusion constant of GCM
The diffusion constant D is determined by observing the diffusive behavior of 〈Δr2(t)〉 in the long-time limit, which can be quantified as
We present data on the inverse diffusion constant \({D}^{-1}(T,\dot{\gamma })\) in Fig. 6a and \({D}^{-1}(T,\dot{\gamma })/{D}_{0}^{-1}(T)\) in Fig. 6b, which are counterparts of Figs. 4a and 5 for \({\tau }_{\alpha }(T,\dot{\gamma })\), respectively. It is clear that \({D}^{-1}(T,\dot{\gamma })\) follows the same power-law behavior as that of \({\tau }_{\alpha }(T,\dot{\gamma })\) in Eq. (22). In Fig. 1 in the main text, we plot data on \({D}^{-1}/{D}_{0}^{-1}\) versus \(\dot{\gamma }/{\dot{\gamma }}_{c}\) at T = 2.9 × 10−6, which are indistinguishable to those on τα/τα0. These observations demonstrate that the SE law in the form of τα ∝ D−1 holds throughout the shear thinning regime, not just in equilibrium states24,26.
a \({D}^{-1}(T,\dot{\gamma })\) is plotted as a function of \(\dot{\gamma }\), and b \({D}^{-1}(T,\dot{\gamma })/{D}_{0}^{-1}(T)\) is plotted as a function of \(\dot{\gamma }/{\dot{\gamma }}_{c}\). Symbols of different colors represent values at different T; T × 106 = 10.0 (yellow), 7.0 (purple), 5.0 (green), 4.0 (cyan), 3.4 (orange), 3.2 (blue), 3.0 (red), and 2.9 (black). In a, closed symbols indicate the equilibrium values \({D}_{0}^{-1}(T)\). Black line indicates \({D}^{-1}={D}_{0}^{-1}\propto {\dot{\gamma }}^{0}\), whereas blue line indicates \({D}^{-1}\propto {\dot{\gamma }}^{-\nu }\) with ν ≃ 0.73. In b, the vertical dotted line indicates the location of \({\dot{\gamma }}_{c}\).
Viscosity of GCM
We measure the viscosity η as a function of T and \(\dot{\gamma }\). We calculate the shear stress σxy as49
where vi = (vix, viy, viz) is the velocity of particle i, rij = (xij, yij, zij) denotes the vector ri − rj = (xi − xj, yi − yj, zi − zj), and rij = ∣rij∣. The viscosity is then obtained through \(\eta ={\sigma }_{xy}/\dot{\gamma }\).
We present data on the viscosity \(\eta (T,\dot{\gamma })\) in Fig. 7a and \(\eta (T,\dot{\gamma })/{\eta }_{0}(T)\) in Fig. 7b, which are counterparts of Figs. 4a and 5 for \({\tau }_{\alpha }(T,\dot{\gamma })\), respectively. Note that the equilibrium values η0(T) are obtained by averaging values of \(\eta (T,\dot{\gamma })\) in the Newtonian regime. Although data on τα/τα0 in Fig. 5 (and \({D}^{-1}/{D}_{0}^{-1}\) in Fig. 6b) are well fitted by \(\propto {(\dot{\gamma }/{\dot{\gamma }}_{c})}^{-\nu }\) with ν ≃ 0.73 as mentioned in Eq. (22), it does not work for η/η0 as we can observe in Fig. 7b.
a \(\eta (T,\dot{\gamma })\) is plotted as a function of \(\dot{\gamma }\), and b \(\eta (T,\dot{\gamma })/{\eta }_{0}(T)\) is plotted as a function of \(\dot{\gamma }/{\dot{\gamma }}_{c}\). Symbols of different colors represent values at different T; T × 106 = 10.0 (yellow), 7.0 (purple), 5.0 (green), 4.0 (cyan), 3.4 (orange), 3.2 (blue), 3.0 (red), and 2.9 (black). In a, closed symbols indicate the equilibrium values η0(T). Black line indicates \(\eta ={\eta }_{0}\propto {\dot{\gamma }}^{0}\), whereas blue line indicates \(\eta \propto {\dot{\gamma }}^{-\nu }\) with ν ≃ 0.73. Note that the blue line, which is well fitted to data on τα and D−1, does not work for η. In b, the vertical dotted line indicates the location of \({\dot{\gamma }}_{c}\).
In addition, Fig. 8 shows a comparison between η/η0 and τα/τα0 as a function of \(\dot{\gamma }/{\dot{\gamma }}_{c}\). At low shear rates of \(\dot{\gamma }/{\dot{\gamma }}_{c}\lesssim 1{0}^{2}\), we observe that η/η0 coincides with τα/τα0, which confirms that η is proportional to τα. However, this linear relation η ∝ τα is systematically violated at high shear rates of \(\dot{\gamma }/{\dot{\gamma }}_{c}\gtrsim 1{0}^{2}\). These high shear rates correspond to the power-law scaling regime of \({\tau }_{\alpha }\propto {\dot{\gamma }}^{-\nu }\).
a \({\tau }_{\alpha }(T,\dot{\gamma })/{\tau }_{\alpha 0}(T),\,\eta (T,\dot{\gamma })/{\eta }_{0}(T)\) and b \(\left[{\tau }_{\alpha }(T,\dot{\gamma })/{\tau }_{\alpha 0}(T)\right]/{\dot{\gamma }}^{-\nu },\,\left[\eta (T,\dot{\gamma })/{\eta }_{0}(T)\right]/{\dot{\gamma }}^{-\nu }\) are plotted as a function of \(\dot{\gamma }/{\dot{\gamma }}_{c}\). Circles and squares represent values of τα and η, respectively. The temperature is T × 106 = 2.9. The black line indicates τα/τα0, η/η0 = 1, whereas the blue line indicates \({\tau }_{\alpha }/{\tau }_{\alpha 0},\,\eta /{\eta }_{0}\propto {\dot{\gamma }}^{-\nu }\) with ν ≃ 0.73. The vertical dotted line indicates the location of \({\dot{\gamma }}_{c}\).
In many previous works5,6,7,8,17,18,19, it has been assumed that the relaxation time controls the viscosity in glass-forming liquids, and that η ∝ τα. This assumption has been confirmed for the KA model below and for the SS model in ref. 34. The sheared MCT also formulates η ∝ τα13,14,33,40. Thus, it is considered that τα and η provide essentially the same information on dynamics in supercooled liquids. However, this assumption does not hold true for the GCM at high shear rates. This result suggests that the shear modulus measured as G = η/τα is dependent on \(\dot{\gamma }\); G increases as \(\dot{\gamma }\) gets larger. Further detailed investigation is required in the future to understand this point better.
MD simulations on KA model subjected to shear flow
We perform MD simulations on a binary Lennard-Jones (LJ) mixture, the KA model, in three spatial dimensions30. The KA model is composed of large (A) and small (B) particles of equal masses, mA = mB = m. The particles interact via the LJ potential,
where α and β denote A or B, and the parameters are set to be ϵAA = ϵ, ϵAB = 1.5ϵAA, ϵBB = 0.5ϵAA, σAA = σ, σAB = 0.8σAA, σBB = 0.88σAA. The interaction is truncated at r = 2.5σαβ. We employ σ, ϵ/kB, and \(\tau ={(m{\sigma }^{2}/\epsilon )}^{1/2}\) as units of length, temperature, and time, respectively. The number density is fixed at ρ = N/V = 1.2, and the number of particles is N = NA + NB = 4000 with NA = 3200 and NB = 800. At ρ = 1.2, the standard power-law fitting for τα0 estimates the dynamical transition temperature to be Tc ≃ 0.43530,50,51. We study at various temperatures ranging from T = 0.8 to 0.45 close to Tc. The shear rate \(\dot{\gamma }\) is controlled over a wide range of \(\dot{\gamma }=1{0}^{-6}\) to 10−1. Note that \(\dot{\gamma } \sim 1{0}^{-1}\) is high enough that τα reaches the timescale of vibrations (Einstein period)48.
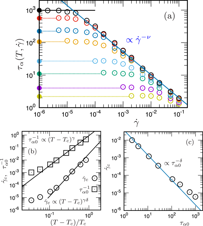
We analyze the KA model in the same way as we do for the GCM. At each temperature T, we measure the relaxation time τα as a function of \(\dot{\gamma }\) and identify the onset shear rate \({\dot{\gamma }}_{c}\). We present results for the larger particles (A) below, but similar results were obtained for the smaller particles (B). Figure 9 presents τα versus \(\dot{\gamma }\) in (a), and the data on \({\dot{\gamma }}_{c}\) and \({\tau }_{\alpha 0}^{-1}\) in (b) and (c). Figure 10 then plots \({\tau }_{\alpha }(T,\dot{\gamma })/{\tau }_{\alpha 0}(T)\) as a function of \(\dot{\gamma }/{\dot{\gamma }}_{c}\), where we exclude data at \(\dot{\gamma }=1{0}^{-1}\) at which τα reaches the timescale of vibrations. We also measure the viscosity η and present data on \(\eta (T,\dot{\gamma })\) and \(\eta (T,\dot{\gamma })/{\eta }_{0}(T)\) in Fig. 11. Furthermore, we compare the relaxation time and the viscosity in Fig. 12. Figures 9, 10, 11, and 12 for the KA model are counterparts of Figs. 4, 5, 7, and 8 for the GCM, respectively.
a \({\tau }_{\alpha }(T,\dot{\gamma })\) is plotted as a function of \(\dot{\gamma }\). Symbols of different colors represent values at different T; from bottom to top, T = 0.8 (yellow), 0.7 (purple), 0.6 (green), 0.55 (cyan), 0.5 (orange), 0.48 (blue), 0.46 (red), and 0.45 (black), all of which are above Tc ≃ 0.435. Closed symbols indicate the equilibrium values τα0(T). For T = 0.45, black line indicates \({\tau }_{\alpha }={\tau }_{\alpha 0}\propto {\dot{\gamma }}^{0}\), whereas blue line indicates \({\tau }_{\alpha }\propto {\dot{\gamma }}^{-\nu }\) with ν ≃ 0.71 [Eq. (7)]. b \({\dot{\gamma }}_{c}\) and \({\tau }_{\alpha 0}^{-1}\) are plotted as a function of (T − Tc)/Tc. The lines present the power-law scalings, \({\tau }_{\alpha 0}^{-1}\propto {(T-{T}_{c})}^{\gamma }\) with γ ≃ 2.4 [Eq. (1)] and \({\dot{\gamma }}_{c}\propto {(T-{T}_{c})}^{\gamma \delta }\) with γδ ≃ 3.4 [Eq. (21)]. c \({\dot{\gamma }}_{c}\) is plotted against τα0. The blue line presents the scaling relation of \({\dot{\gamma }}_{c}\propto {\tau }_{\alpha 0}^{-\delta }\) with δ ≃ 1.42 [Eq. (6)].
\({\tau }_{\alpha }(T,\dot{\gamma })/{\tau }_{\alpha 0}(T)\) is plotted as a function of \(\dot{\gamma }/{\dot{\gamma }}_{c}\). Symbols of different colors represent values at different T; T = 0.8 (yellow), 0.7 (purple), 0.6 (green), 0.55 (cyan), 0.5 (orange), 0.48 (blue), 0.46 (red), and 0.45 (black). Black and blue lines indicate τα/τα0 = 1 and \({\tau }_{\alpha }/{\tau }_{\alpha 0}\propto {(\dot{\gamma }/{\dot{\gamma }}_{c})}^{-\nu }\) with ν ≃ 0.71, respectively. The vertical dotted line indicates the location of the onset shear rate \({\dot{\gamma }}_{c}\).
a \(\eta (T,\dot{\gamma })\) is plotted as a function of \(\dot{\gamma }\), and b \(\eta (T,\dot{\gamma })/{\eta }_{0}(T)\) is plotted as a function of \(\dot{\gamma }/{\dot{\gamma }}_{c}\). Symbols of different colors represent values at different T; T = 0.8 (yellow), 0.7 (purple), 0.6 (green), 0.55 (cyan), 0.5 (orange), 0.48 (blue), 0.46 (red), and 0.45 (black). In a, closed symbols indicate the equilibrium values η0(T). Black line indicates \(\eta ={\eta }_{0}\propto {\dot{\gamma }}^{0}\), whereas blue line indicates \(\eta \propto {\dot{\gamma }}^{-\nu }\) with ν ≃ 0.71. In b, the vertical dotted line indicates the location of \({\dot{\gamma }}_{c}\).
a \({\tau }_{\alpha }(T,\dot{\gamma })/{\tau }_{\alpha 0}(T),\,\eta (T,\dot{\gamma })/{\eta }_{0}(T)\) and b \(\left[{\tau }_{\alpha }(T,\dot{\gamma })/{\tau }_{\alpha 0}(T)\right]/{\dot{\gamma }}^{-\nu },\,\left[\eta (T,\dot{\gamma })/{\eta }_{0}(T)\right]/{\dot{\gamma }}^{-\nu }\) are plotted as a function of \(\dot{\gamma }/{\dot{\gamma }}_{c}\). Circles and squares represent values of τα and η, respectively. The temperature is T = 0.45. Black line indicates τα/τα0, η/η0 = 1, wheares blue line indicates \({\tau }_{\alpha }/{\tau }_{\alpha 0},\,\eta /{\eta }_{0}\propto {(\dot{\gamma }/{\dot{\gamma }}_{c})}^{-\nu }\) with ν ≃ 0.71. The vertical dotted line indicates the location of \({\dot{\gamma }}_{c}\).
In Figs. 9 and 10, we can see that the relaxation time follows a power-law scaling of the form \({\tau }_{\alpha }\propto {\dot{\gamma }}^{-\nu }\) where ν ≃ 0.71, and the onset shear rate \({\dot{\gamma }}_{c}\) exhibits the scaling behavior \({\dot{\gamma }}_{c}\propto {\tau }_{\alpha 0}^{-\delta }\ll {\tau }_{\alpha 0}^{-1}\) with δ ≃ 1.42. The values of ν and δ are obtained using ν = γ/(γ + 1) and δ = (γ + 1)/γ with γ = 2.4 as shown in Table 1.
In addition, Figs. 11 and 12 show that η is proportional to τα as η ∝ τα, following the same scaling law as that of τα;
Differently from the case of the GCM, the linear relation η ∝ τα is kept even at the high shear rates of \(\dot{\gamma }/{\dot{\gamma }}_{c}\gtrsim 1{0}^{2}\). This result indicates that the relaxation time controls the viscosity in the KA model, as we normally expect and suppose. Figure 1 in the main text presents data on τα/τα0 and η/η0 versus \(\dot{\gamma }/{\dot{\gamma }}_{c}\) at T = 0.45 in (a), and \({\dot{\gamma }}_{c}\) versus τα0 in (b).
System description of SS model
The SS model is a binary mixture composed of large (L) and small (S) particles in three spatial dimensions31. The particles interact via the inverse power-law potential,
where α and β denote L or S, and σαβ = (σα + σβ)/2 with σα being the diameter of particle α. The mass and size ratios are mL/mS = 2 and σL/σS = 1.2, respectively. σS, ϵ/kB, and \(\tau ={({m}_{S}{\sigma }_{S}^{2}/\epsilon )}^{1/2}\) are employed as units of length, temperature, and time, respectively. The number density is set to be ρ = N/V = (NL + NS)/V = 0.8, and the compositions of the two species are the same as NL/N = NS/N = 0.5. At ρ = 0.8, the MCT power-law fitting for τα0 estimates Tc ≃ 0.26752,53. Note that refs. 52,53 have studied the case at ρ = 0.742 and estimated Tc = 0.198. This value is converted to Tc ≃ 0.267 at ρ = 0.8 since one dimensionless coupling constant Γ = ρT−1/4 determines the states of the SS model5,31.
Reference 18 has studied the SS model under shear flow at T = 0.306, 0.285, 0.275, and 0.267, and reported the viscosity \(\eta (T,\dot{\gamma })\) as a function of \(\dot{\gamma }\). Figure 1 in the main text presents data on η/η0 versus \(\dot{\gamma }/{\dot{\gamma }}_{c}\) at T = 0.275 in (a), and \({\dot{\gamma }}_{c}\) versus η0 at T≥0.275 > Tc in (b).
System description of 2DSS model
The 2DSS model is a binary mixture composed of large (L) and small (S) particles in two spatial dimensions5,7. The particles interact via the inverse power-law potential as described in Eq. (27). The mass and size ratios are mL/mS = 2 and σL/σS = 1.4, respectively. σS, ϵ/kB, and \(\tau ={({m}_{S}{\sigma }_{S}^{2}/\epsilon )}^{1/2}\) are employed as units of length, temperature, and time, respectively. The number density is set to be ρ = N/V = (NL + NS)/V = 0.8, and the compositions of the two species are the same as NL/N = NS/N = 0.5. We estimate Tc ≃ 0.534 by the MCT power-law fitting on data η0 versus T reported in ref. 19.
Reference 19 has studied the 2DSS model under shear flow at T = 1.43, 0.85, 0.665, 0.577, and 0.526, and reported the viscosity \(\eta (T,\dot{\gamma })\) as a function of \(\dot{\gamma }\). Figure 1 in the main text presents data on η/η0 versus \(\dot{\gamma }/{\dot{\gamma }}_{c}\) at T = 0.577 in (a), and \({\dot{\gamma }}_{c}\) versus η0 at T≥0.577 > Tc in (b).
System description of the BKS model
The BKS model is often used for amorphous and supercooled silica (SiO2)32. Si and O ions interact via the potential,
where α and β denote Si or O. The values of the partial charges qα and the constants Aαβ, Bαβ, and Cαβ are found in refs. 32,54. The units of length and time are set to be 2.84Å and 1.98 × 10−13s, respectively. The temperature is measured in units of 6973.9K. The mass density is fixed at 2.37 g/cm3, which corresponds to the number density ρ = N/V = (NSi + NO)/V = 1.632. The dynamical transition temperature was estimated as Tc ≃ 3330K = 0.477555,56.
Reference 19 has studied the BKS model under shear flow at T = 0.614, 0.511, 0.47, 0.429, and 0.39, and reported the viscosity \(\eta (T,\dot{\gamma })\) as a function of \(\dot{\gamma }\). Figure 1 in the main text presents data on η/η0 versus \(\dot{\gamma }/{\dot{\gamma }}_{c}\) at T = 0.511 in (a), and \({\dot{\gamma }}_{c}\) versus η0 at T ≥ 0.511 > Tc in (b).
Data availability
The data that support the findings of this study are available within the article.
References
Larson, R. G. The Structure and Rheology of Complex Fluids (Oxford University Press, Oxford, 1999).
Webb, S. L. & Dingwell, D. B. The onset of non-Newtonian rheology of silicate melts. Phys. Chem. Miner. 17, 125–132 (1990).
Kato, H., Kawamura, Y., Inoue, A. & Chen, H. S. Newtonian to non-newtonian master flow curves of a bulk glass alloy Pd40Ni10Cu30P20. Appl. Phys. Lett. 73, 3665–3667 (1998).
Besseling, R., Weeks, E. R., Schofield, A. B. & Poon, W. C. K. Three-dimensional imaging of colloidal glasses under steady shear. Phys. Rev. Lett. 99, 028301 (2007).
Yamamoto, R. & Onuki, A. Dynamics of highly supercooled liquids: Heterogeneity, rheology, and diffusion. Phys. Rev. E 58, 3515–3529 (1998).
Berthier, L. & Barrat, J.-L. Nonequilibrium dynamics and fluctuation-dissipation relation in a sheared fluid. J. Chem. Phys. 116, 6228–6242 (2002).
Furukawa, A., Kim, K., Saito, S. & Tanaka, H. Anisotropic cooperative structural rearrangements in sheared supercooled liquids. Phys. Rev. Lett. 102, 016001 (2009).
Mizuno, H. & Yamamoto, R. Mechanical responses and stress fluctuations of a supercooled liquid in a sheared non-equilibrium state. Eur. Phys. J. E 35, 29 (2012).
Sollich, P., Lequeux, F., Hébraud, P. & Cates, M. E. Rheology of soft glassy materials. Phys. Rev. Lett. 78, 2020–2023 (1997).
Langer, J. S. Shear-transformation-zone theory of plastic deformation near the glass transition. Phys. Rev. E 77, 021502 (2008).
Nicolas, A., Ferrero, E. E., Martens, K. & Barrat, J.-L. Deformation and flow of amorphous solids: Insights from elastoplastic models. Rev. Mod. Phys. 90, 045006 (2018).
Gotze, W. Complex Dynamics of Glass-Forming Liquids (Oxford University Press, Oxford, 2009).
Fuchs, M. & Cates, M. E. Theory of nonlinear rheology and yielding of dense colloidal suspensions. Phys. Rev. Lett. 89, 248304 (2002).
Miyazaki, K. & Reichman, D. R. Molecular hydrodynamic theory of supercooled liquids and colloidal suspensions under shear. Phys. Rev. E 66, 050501 (2002).
Miyazaki, K., Wyss, H. M., Weitz, D. A. & Reichman, D. R. Nonlinear viscoelasticity of metastable complex fluids. Europhys. Lett. 75, 915 (2006).
Lubchenko, V. Shear thinning in deeply supercooled melts. Proc. Natl Acad. Sci. USA 106, 11506–11510 (2009).
Furukawa, A. Onset of shear thinning in glassy liquids: Shear-induced small reduction of effective density. Phys. Rev. E 95, 012613 (2017).
Furukawa, A. Quantification of the volume-fraction reduction of sheared fragile glass-forming liquids and its impact on rheology. Phys. Rev. Res. 5, 023181 (2023).
Furukawa, A. The qualitative difference in flow responses between network-forming strong and fragile liquids. J. Phys. Soc. Jpn. 92, 023802 (2023).
Ronis, D. Theory of fluctuations in colloidal suspensions undergoing steady shear flow. Phys. Rev. A 29, 1453–1460 (1984).
Hanley, H. J. M., Rainwater, J. C. & Hess, S. Shear-induced angular dependence of the liquid pair correlation function. Phys. Rev. A 36, 1795–1802 (1987).
Iwashita, T. & Egami, T. Atomic mechanism of flow in simple liquids under shear. Phys. Rev. Lett. 108, 196001 (2012).
Yamaguchi, T. Stress-structure coupling and nonlinear rheology of Lennard-jones liquid. J. Chem. Phys. 148, 234507 (2018).
Ikeda, A. & Miyazaki, K. Glass transition of the monodisperse gaussian core model. Phys. Rev. Lett. 106, 015701 (2011).
Ikeda, A. & Miyazaki, K. Thermodynamic and structural properties of the high density Gaussian core model. J. Chem. Phys. 135, 024901 (2011).
Ikeda, A. & Miyazaki, K. Slow dynamics of the high density gaussian core model. J. Chem. Phys. 135, 054901 (2011).
Coslovich, D., Ikeda, A. & Miyazaki, K. Mean-field dynamic criticality and geometric transition in the gaussian core model. Phys. Rev. E 93, 042602 (2016).
Biroli, G., Bouchaud, J.-P., Miyazaki, K. & Reichman, D. R. Inhomogeneous mode-coupling theory and growing dynamic length in supercooled liquids. Phys. Rev. Lett. 97, 195701 (2006).
Berthier, L., Biroli, G., Bouchaud, J.-P., Cipelletti, L. & van Saarloos, W. Dynamical Heterogeneities in Glasses, Colloids, and Granular Media (Oxford University Press, Oxford, 2011).
Kob, W. & Andersen, H. C. Scaling behavior in the β-relaxation regime of a supercooled lennard-jones mixture. Phys. Rev. Lett. 73, 1376–1379 (1994).
Bernu, B., Hiwatari, Y. & Hansen, J. P. A molecular dynamics study of the glass transition in binary mixtures of soft spheres. J. Phys. C Solid State Phys. 18, L371 (1985).
van Beest, B. W. H., Kramer, G. J. & van Santen, R. A. Force fields for silicas and aluminophosphates based on ab initio calculations. Phys. Rev. Lett. 64, 1955–1958 (1990).
Fuchs, M. & Cates, M. E. Schematic models for dynamic yielding of sheared colloidal glasses. Faraday Discuss. 123, 267–286 (2003).
Yamamoto, R. & Onuki, A. Heterogeneous diffusion in highly supercooled liquids. Phys. Rev. Lett. 81, 4915–4918 (1998).
Leutheusser, E. Dynamical model of the liquid-glass transition. Phys. Rev. A 29, 2765–2773 (1984).
Gotze, W. Some aspects of phase transitions described by the self consistent current relaxation theory. Z. Fur Phys. B Condens. Matter 56, 139 (1984).
Franosch, T., Fuchs, M., Götze, W., Mayr, M. R. & Singh, A. P. Asymptotic laws and preasymptotic correction formulas for the relaxation near glass-transition singularities. Phys. Rev. E 55, 7153–7176 (1997).
Brader, J. M., Voigtmann, T., Fuchs, M., Larson, R. G. & Cates, M. E. Glass rheology: from mode-coupling theory to a dynamical yield criterion. Proc. Natl Acad. Sci. USA 106, 15186–15191 (2009).
Voigtmann, T., Brader, J. M., Fuchs, M. & Cates, M. E. Schematic mode coupling theory of glass rheology: single and double step strains. Soft Matter 8, 4244–4253 (2012).
Miyazaki, K., Reichman, D. R. & Yamamoto, R. Supercooled liquids under shear: theory and simulation. Phys. Rev. E 70, 011501 (2004).
Fuchs, M. & Cates, M. E. A mode coupling theory for brownian particles in homogeneous steady shear flow. J. Rheol. 53, 957–1000 (2009).
Berthier, L. & Witten, T. A. Glass transition of dense fluids of hard and compressible spheres. Phys. Rev. E 80, 021502 (2009).
Sposini, V., Likos, C. N. & Camargo, M. Glassy phases of the gaussian core model. Soft Matter 19, 9531–9540 (2023).
Furukawa, A. & Tanaka, H. Significant difference in the dynamics between strong and fragile glass formers. Phys. Rev. E 94, 052607 (2016).
Coslovich, D., Ozawa, M. & Kob, W. Dynamic and thermodynamic crossover scenarios in the kob-andersen mixture: Insights from multi-cpu and multi-gpu simulations. Eur. Phys. J. E 41, 62 (2018).
Pallabi Das, S. S. Crossover in dynamics in the kob-andersen binary mixture glass-forming liquid. J. Non-Crystalline Solids X 14, 100098 (2022).
Evans, D. J. & Morriss, G. Statistical Mechanics of Nonequilibrium Liquids. 2nd edn (Cambridge University Press, New York, 2008).
Mizuno, H. & Yamamoto, R. General constitutive model for supercooled liquids: Anomalous transverse wave propagation. Phys. Rev. Lett. 110, 095901 (2013).
Hansen, J. P. & McDonald, I. R. Theory of Simple Liquids. 3rd edn (Academic, London, 2006).
Kob, W. & Andersen, H. C. Testing mode-coupling theory for a supercooled binary lennard-jones mixture. I: the van Hove correlation function. Phys. Rev. E 51, 4626–4641 (1995).
Kob, W. & Andersen, H. C. Testing mode-coupling theory for a supercooled binary lennard-jones mixture. II. intermediate scattering function and dynamic susceptibility. Phys. Rev. E 52, 4134–4153 (1995).
Berthier, L., Biroli, G., Coslovich, D., Kob, W. & Toninelli, C. Finite-size effects in the dynamics of glass-forming liquids. Phys. Rev. E 86, 031502 (2012).
Kim, K. & Saito, S. Multiple length and time scales of dynamic heterogeneities in model glass-forming liquids: a systematic analysis of multi-point and multi-time correlations. J. Chem. Phys. 138, 12A506 (2013).
Vollmayr, K., Kob, W. & Binder, K. Cooling-rate effects in amorphous silica: a computer-simulation study. Phys. Rev. B 54, 15808–15827 (1996).
Horbach, J. & Kob, W. Static and dynamic properties of a viscous silica melt. Phys. Rev. B 60, 3169–3181 (1999).
Horbach, J. & Kob, W. Relaxation dynamics of a viscous silica melt: the intermediate scattering functions. Phys. Rev. E 64, 041503 (2001).
Acknowledgements
We thank Akira Furukawa and Kang Kim for useful discussions and suggestions. We also appreciate the referees for their thorough and insightful reviews. This work was supported by JSPS KAKENHI Grant Numbers 20H00128, 20H01868, 22K03543, 23H04495, and 24H00192.
Author information
Authors and Affiliations
Contributions
H.M. and A.I. designed research; H.M. performed research and analyzed data; H.M. and K.M. wrote the paper; H.M., A.I., T.K., and K.M. discussed the results and commented on the paper.
Corresponding author
Ethics declarations
Competing interests
The authors declare no competing interests.
Peer review
Peer review information
Communications Physics thanks Daniele Coslovich and the other, anonymous, reviewer(s) for their contribution to the peer review of this work. A peer review file is available.
Additional information
Publisher’s note Springer Nature remains neutral with regard to jurisdictional claims in published maps and institutional affiliations.
Supplementary information
Rights and permissions
Open Access This article is licensed under a Creative Commons Attribution 4.0 International License, which permits use, sharing, adaptation, distribution and reproduction in any medium or format, as long as you give appropriate credit to the original author(s) and the source, provide a link to the Creative Commons licence, and indicate if changes were made. The images or other third party material in this article are included in the article’s Creative Commons licence, unless indicated otherwise in a credit line to the material. If material is not included in the article’s Creative Commons licence and your intended use is not permitted by statutory regulation or exceeds the permitted use, you will need to obtain permission directly from the copyright holder. To view a copy of this licence, visit http://creativecommons.org/licenses/by/4.0/.
About this article
Cite this article
Mizuno, H., Ikeda, A., Kawasaki, T. et al. Universal mechanism of shear thinning in supercooled liquids. Commun Phys 7, 199 (2024). https://doi.org/10.1038/s42005-024-01685-8
Received:
Accepted:
Published:
Version of record:
DOI: https://doi.org/10.1038/s42005-024-01685-8














