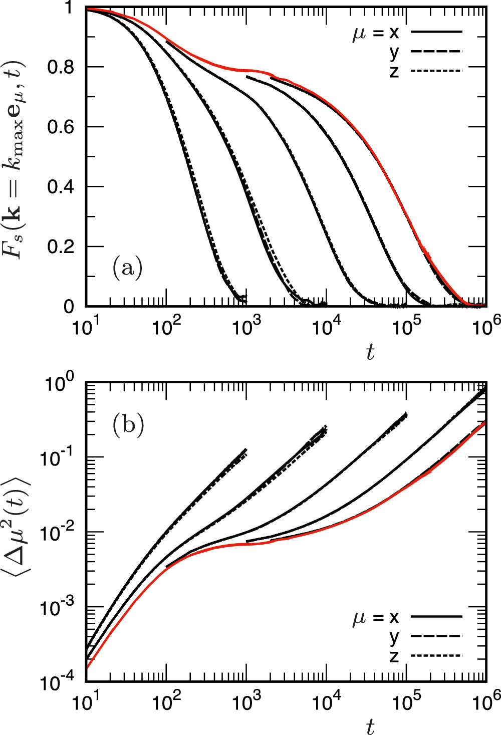
Fig. 3: Self-intermediate scattering function and mean-squared displacements in the Gaussian core model (GCM).
From: Universal mechanism of shear thinning in supercooled liquids

a \({F}_{s}({{{{{{{\bf{k}}}}}}}}={k}_{\max }{{{{{{{{\bf{e}}}}}}}}}_{\mu },t)\) and b 〈Δμ2(t)〉 are plotted as a function of t. The temperature is T × 106 = 3.0. The red lines present values in the equilibrium state with \(\dot{\gamma }=0\), while black lines give values in the sheared states with different \(\dot{\gamma }\); from right to left, \(\dot{\gamma }=1{0}^{-7}\), 10−6, 10−5, 10−4, and 10−3. We plot data for μ = x, y, and z directions or components, represented by solid, dashed, and dotted lines, respectively.