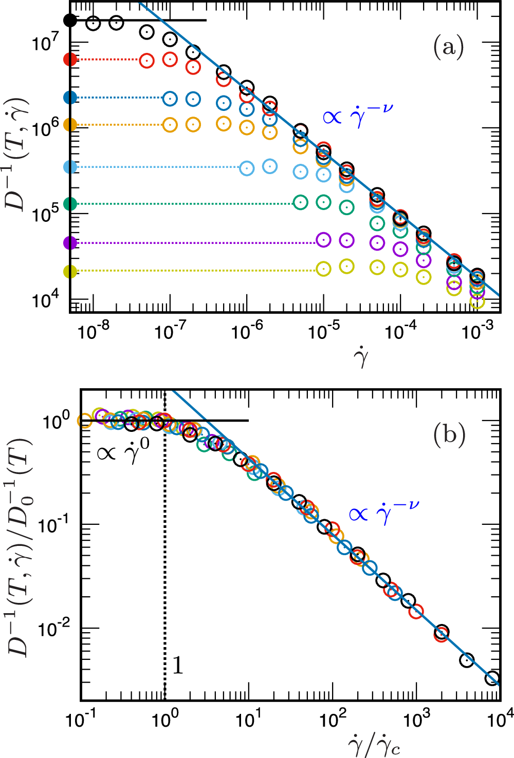
Fig. 6: Shear-rate dependence of the (inverse) diffusion constant in the Gaussian core model (GCM).
From: Universal mechanism of shear thinning in supercooled liquids

a \({D}^{-1}(T,\dot{\gamma })\) is plotted as a function of \(\dot{\gamma }\), and b \({D}^{-1}(T,\dot{\gamma })/{D}_{0}^{-1}(T)\) is plotted as a function of \(\dot{\gamma }/{\dot{\gamma }}_{c}\). Symbols of different colors represent values at different T; T × 106 = 10.0 (yellow), 7.0 (purple), 5.0 (green), 4.0 (cyan), 3.4 (orange), 3.2 (blue), 3.0 (red), and 2.9 (black). In a, closed symbols indicate the equilibrium values \({D}_{0}^{-1}(T)\). Black line indicates \({D}^{-1}={D}_{0}^{-1}\propto {\dot{\gamma }}^{0}\), whereas blue line indicates \({D}^{-1}\propto {\dot{\gamma }}^{-\nu }\) with ν ≃ 0.73. In b, the vertical dotted line indicates the location of \({\dot{\gamma }}_{c}\).