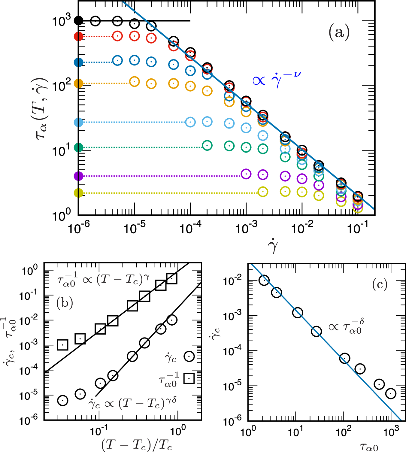
Fig. 9: Shear-rate dependence of the relaxation time and the onset shear rate of the shear thinning in the Kob-Andersen (KA) model.
From: Universal mechanism of shear thinning in supercooled liquids

a \({\tau }_{\alpha }(T,\dot{\gamma })\) is plotted as a function of \(\dot{\gamma }\). Symbols of different colors represent values at different T; from bottom to top, T = 0.8 (yellow), 0.7 (purple), 0.6 (green), 0.55 (cyan), 0.5 (orange), 0.48 (blue), 0.46 (red), and 0.45 (black), all of which are above Tc ≃ 0.435. Closed symbols indicate the equilibrium values τα0(T). For T = 0.45, black line indicates \({\tau }_{\alpha }={\tau }_{\alpha 0}\propto {\dot{\gamma }}^{0}\), whereas blue line indicates \({\tau }_{\alpha }\propto {\dot{\gamma }}^{-\nu }\) with ν ≃ 0.71 [Eq. (7)]. b \({\dot{\gamma }}_{c}\) and \({\tau }_{\alpha 0}^{-1}\) are plotted as a function of (T − Tc)/Tc. The lines present the power-law scalings, \({\tau }_{\alpha 0}^{-1}\propto {(T-{T}_{c})}^{\gamma }\) with γ ≃ 2.4 [Eq. (1)] and \({\dot{\gamma }}_{c}\propto {(T-{T}_{c})}^{\gamma \delta }\) with γδ ≃ 3.4 [Eq. (21)]. c \({\dot{\gamma }}_{c}\) is plotted against τα0. The blue line presents the scaling relation of \({\dot{\gamma }}_{c}\propto {\tau }_{\alpha 0}^{-\delta }\) with δ ≃ 1.42 [Eq. (6)].