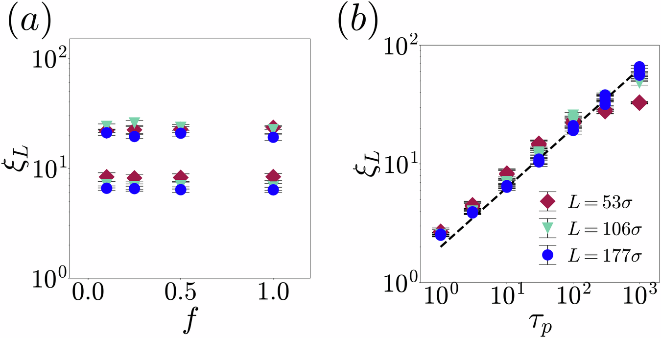
Fig. 7: Correlation Length vs. Active Force and Persistence Time for different system sizes.

a Correlation length ξL as a function of the magnitude of the active force f for two different persistence times (τp = 10 and 100) and three different system sizes L. The results indicate that the correlation length ξL is unaffected by changes in the active force f, for fixed values of persistence time τp and system size L. The color scheme is the same as in b. b Correlation length ξL as a function of persistence time τp for different values of the active force magnitude (f = 0.1, 0.25, 0.5, 1) and three different system sizes L (indicated by different colors and markers). The results demonstrate that the correlation length ξL exhibits a power-law growth (with exponent \(\frac{1}{2}\), black dashed line) with increasing persistence time τp and that this behavior is independent of the magnitude of the active force f and system size L. To accurately estimate the correlation length, we conducted 50 simulations with random initial configurations, collected 2500 snapshots in a stationary state from these simulations, and averaged the results to ensure precision. The error bars show the standard error of the mean.