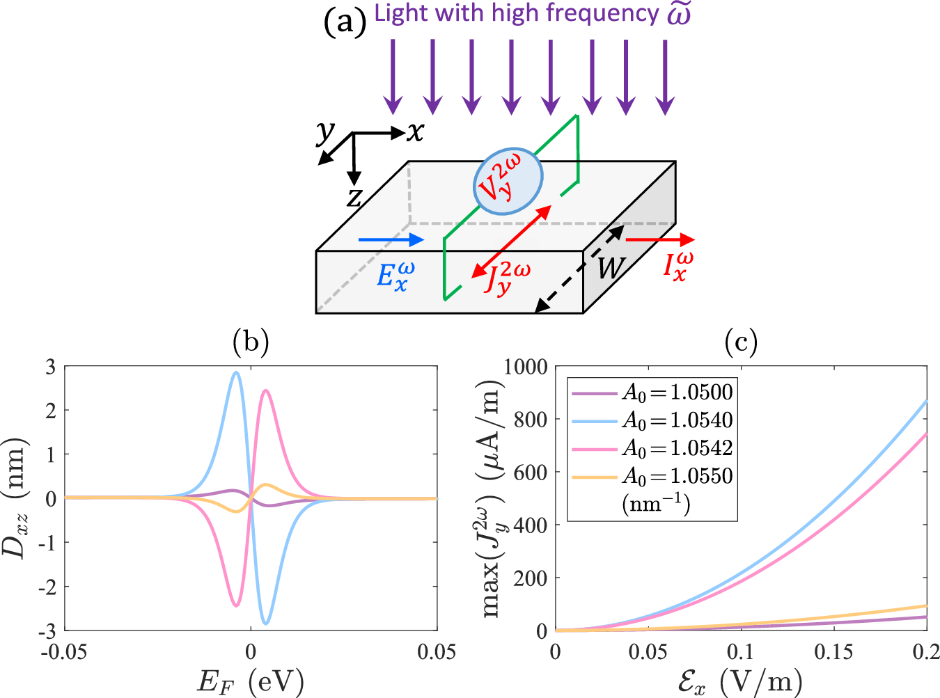
Fig. 6: Proposed experimental setup and signatures of nonlinear Hall response.

a In our nonlinear Hall insulator, a lock-in amplifier can be used to measure the nonlinear Hall voltage \({V}_{y}^{2\omega }\) resulting from a longitudinal electrical field \({E}_{x}^{\omega }={{{\rm{Re}}}}({{{{\mathcal{E}}}}}_{x}{e}^{i\omega t})\) induced by an a.c. \({I}_{x}^{\omega }\) of ultralow frequency ω, which is much lower than the optical driving frequency \(\tilde{\omega }\). High-frequency (\(\tilde{\omega }\)) irradiated light (purple) of amplitude A0 ≈ A0c produces the requisite Floquet-enhanced Berry curvature dipole (BCD). b The BCD (Dxz) (Eq. (10)) as a function of the Fermi energy EF for various light amplitudes A0 close to the critical value A0c ≈ 1.0541 nm−1 where a topological transition occurs, as labeled in (c). The BCD is dramatically enhanced nearest to A0c, peaking at ~ 3 nm that is comparable to experimentally measured values in Ref. 8. c The peak of the second-harmonic Hall current density \({J}_{y}^{2\omega }={\chi }_{yxx}^{(2)}{{{{\mathcal{E}}}}}_{x}^{2}\) (Eq. (6)), which varies nonlinearly with the amplitude of the applied perpendicular electric field \({{{{\mathcal{E}}}}}_{x}\), and is greatly enhanced for A0 nearest to A0c. The other parameters are φ = π/2 (right-handed circularly polarized light), \(\hslash \tilde{\omega }=1\) eV, t0 = 0.05 eV ⋅ nm, v = 0.1 eV ⋅ nm, α = 0.1 eV ⋅ nm2, m = 0.1 eV (Eq. (14)), kBT = 0.003 eV, i.e., T ≈ 34.8 K, τ ≈ 4.124 × 10−14 s8, and ω = 17.77 Hz8.