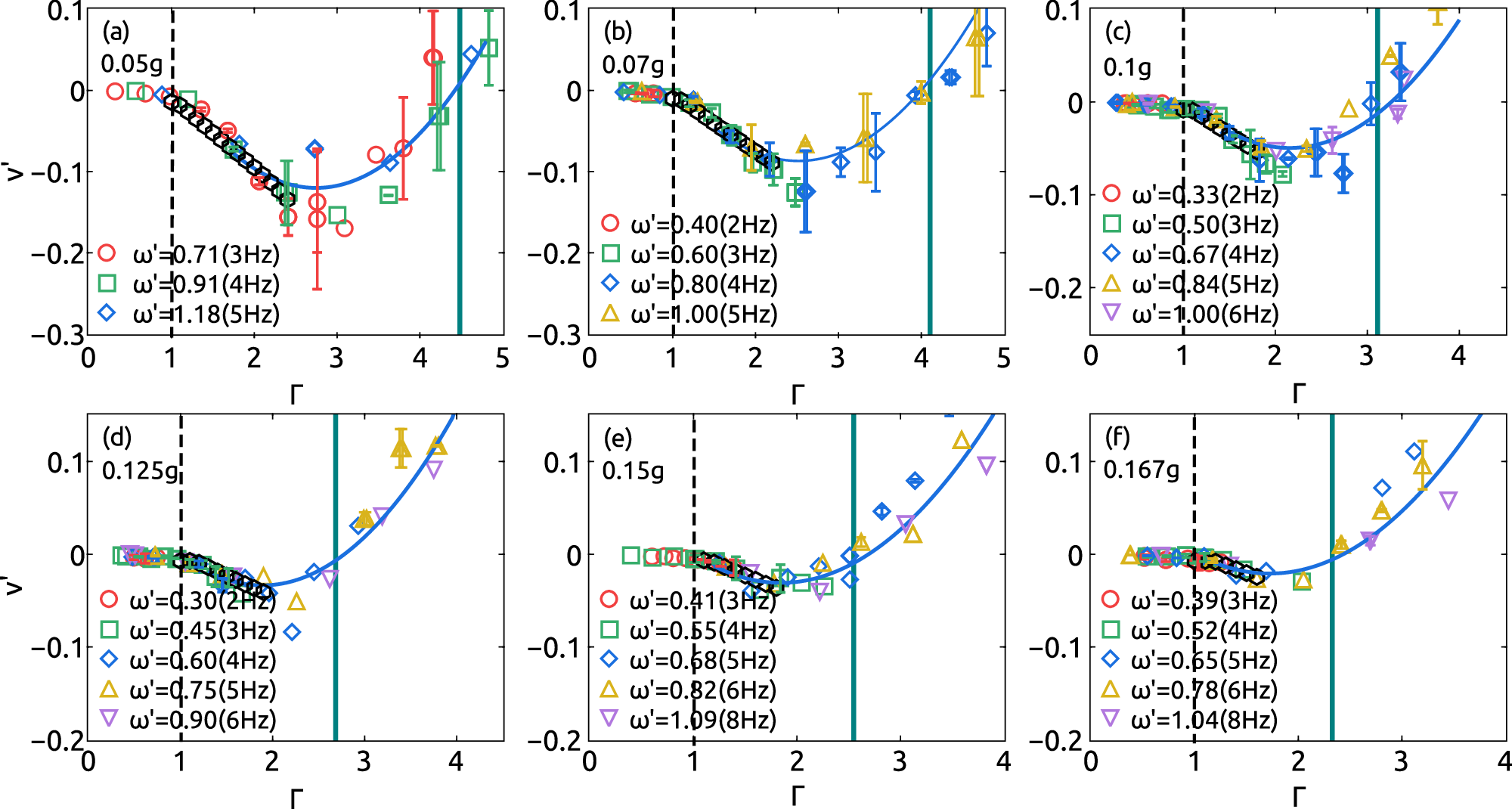
Fig. 6: The decline velocity of the intruder in reduced gravities.
From: Unraveling the role of gravity in shaping intruder dynamics within vibrated granular media

The intruder velocities in gravities (a) genv = 0.05 g, (b) genv = 0.07 g, (c) genv = 0.1g, (d) genv = 0.125 g, (e) genv = 0.15 g and (f) genv = 0.167 g. The dashed vertical line is at Γ = 1.0 and the solid vertical line is at Γ = Γc. For the meaning of the symbols, see the legend in each panel. The error bars represent the uncertainty from multiple experimental measurements. The gray hexagons are the fitted result of \({v}_{1}^{{\prime} }(\Gamma )\), where f = 4Hz. The blue curves are the fitted result of \({v}^{{\prime} }(\Gamma )={v}_{1}^{{\prime} }(\Gamma )+{v}_{2}^{{\prime} }(\Gamma )= a(\Gamma -1)+b({\Gamma }^{2}-1)\).