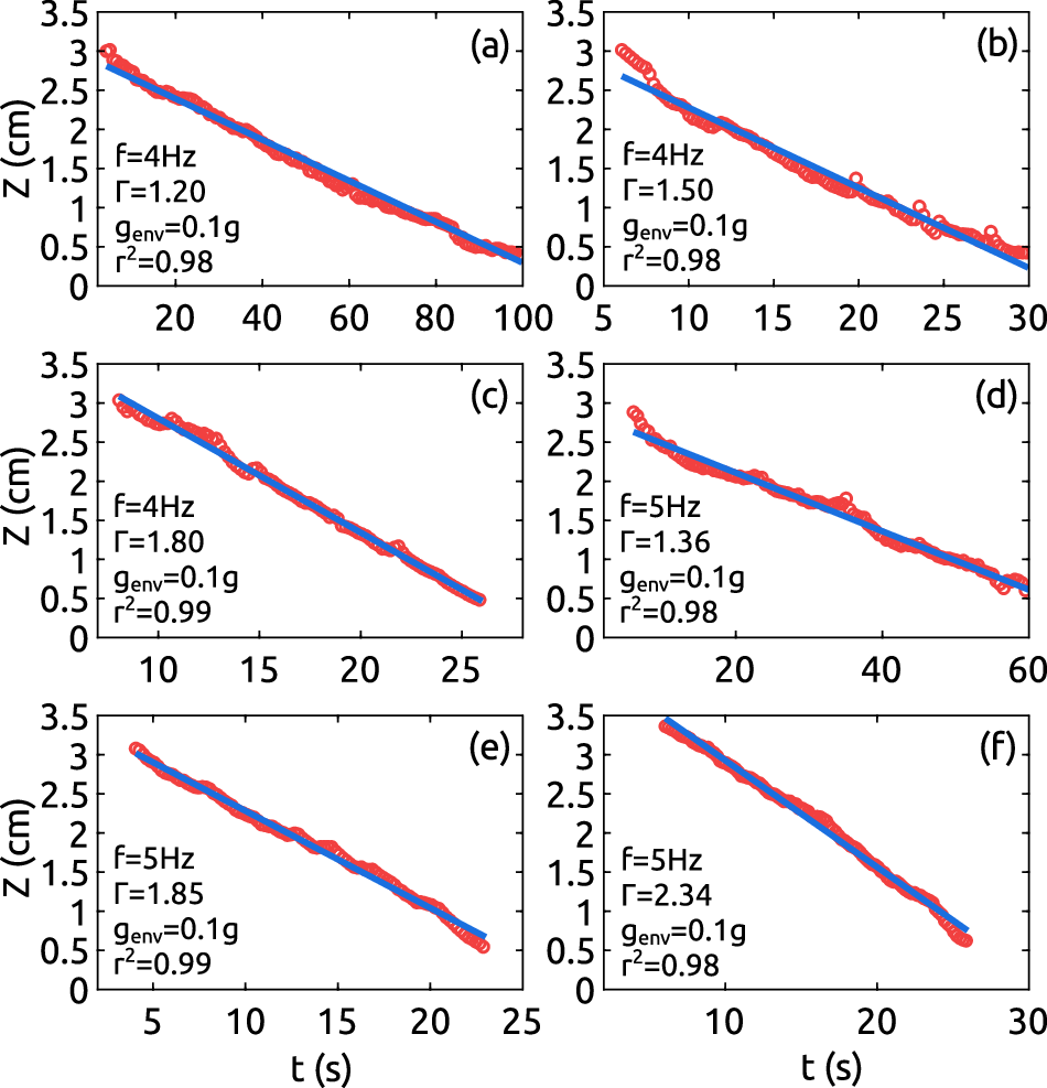
Fig. 8: The positions Z of the intruder as functions of time in different vibration modes for genv = 0.1 g.
From: Unraveling the role of gravity in shaping intruder dynamics within vibrated granular media

a–c For f = 4 Hz, (d–f) for f = 5 Hz. Red circles are experimentally measured results, and blue lines are fitted results by using a linear function. r2 is the determination coefficient.