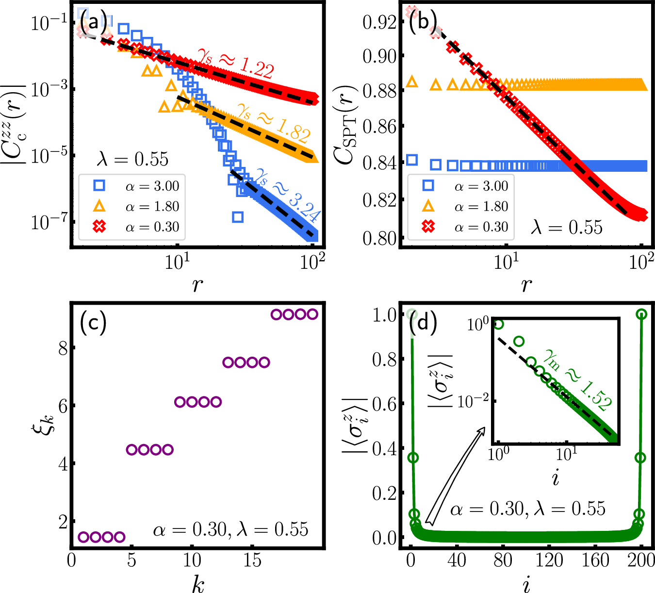
Fig. 2: Evidence for the algebraic topological phase.
From: Gapless topological behaviors in a long-range quantum spin chain

The double logarithmic plot of a the connected spin-spin correlation \(| {C}_{{{{\rm{c}}}}}^{zz}(r)|\) and b the SPT string correlation CSPT(r) versus the lattice distance r for LR exponents α = 0.3(red cross), 1.8 (orange triangle), 3.0 (blue square) along the fixed cluster strength λ = 0.55 line with system size L = 200 under open boundary condition (OBC). c The entanglement spectrum {ξk} (L = 96 under PBC) and d the magnetization profile \(\left\vert \left\langle {\sigma }_{i}^{z}\right\rangle \right\vert\) (L = 200 under OBC) within the typical algebraic SPT region for α = 0.3 and λ = 0.55. The inset in (d) shows the algebraic decay of the magnetization near the boundary as the bulk is approached; the dashed line is the least-squares fitting according to \(\left\vert \left\langle {\sigma }_{i}^{z}\right\rangle \right\vert \sim 1/{i}^{{\gamma }_{{{{\rm{m}}}}}}\). The index k counts the spectrum from the lowest-lying levels, and i labels the site position. The markers are data from numerical calculations.