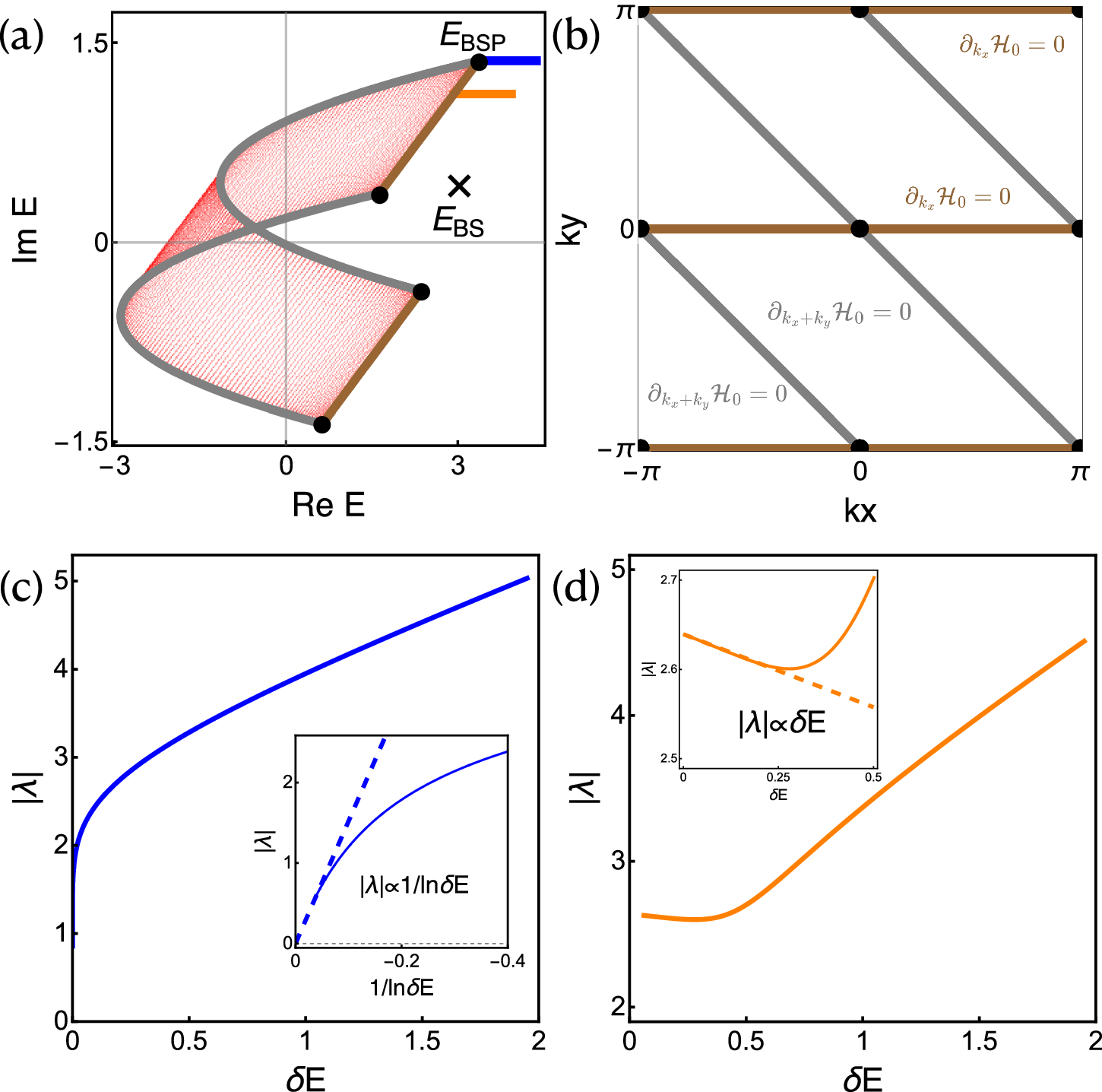
Fig. 1: Energy response of impurity strength.
From: Tailoring bound state geometry in high-dimensional non-hermitian systems

a shows the PBC spectrum of the Hamiltonian \({e}^{i\pi /6}\cos ({k}_{x}+{k}_{y})+{e}^{i\pi /3}\cos {k}_{x}\), with four black points denoting the energies at its BSPs. The black cross represents the bound state energy induced by the impurity. b illustrates the 1D Bloch saddle lines (BSLs) in the BZ, with brown lines representing \({\partial }_{{k}_{y}}{{{{\mathcal{H}}}}}_{0}({k}_{x},{k}_{y})=0\) and gray lines for \({\partial }_{{k}_{x}+{k}_{y}}{{{{\mathcal{H}}}}}_{0}({k}_{x},{k}_{y})=0\). The corresponding spectral lines \({{{{\mathcal{H}}}}}_{0}({k}_{x},{k}_{y})\) are shown in the same color in (a). The four intersection points, i.e., high-symmetry k points in the BZ, are the BSPs and correspond to the four vertices in the spectrum shown in (a). Show the function ∣λ(δE)∣, corresponding to the blue and orange trajectories in (a), respectively. Here, δE is defined as \(E-{{{{\mathcal{H}}}}}_{0}(0,0)\) in (c) and \(E-{{{{\mathcal{H}}}}}_{0}(\pi /3,0)\) in (d). The insets in (c, d) show zoomed-in results as ∣λ∣ → 0.