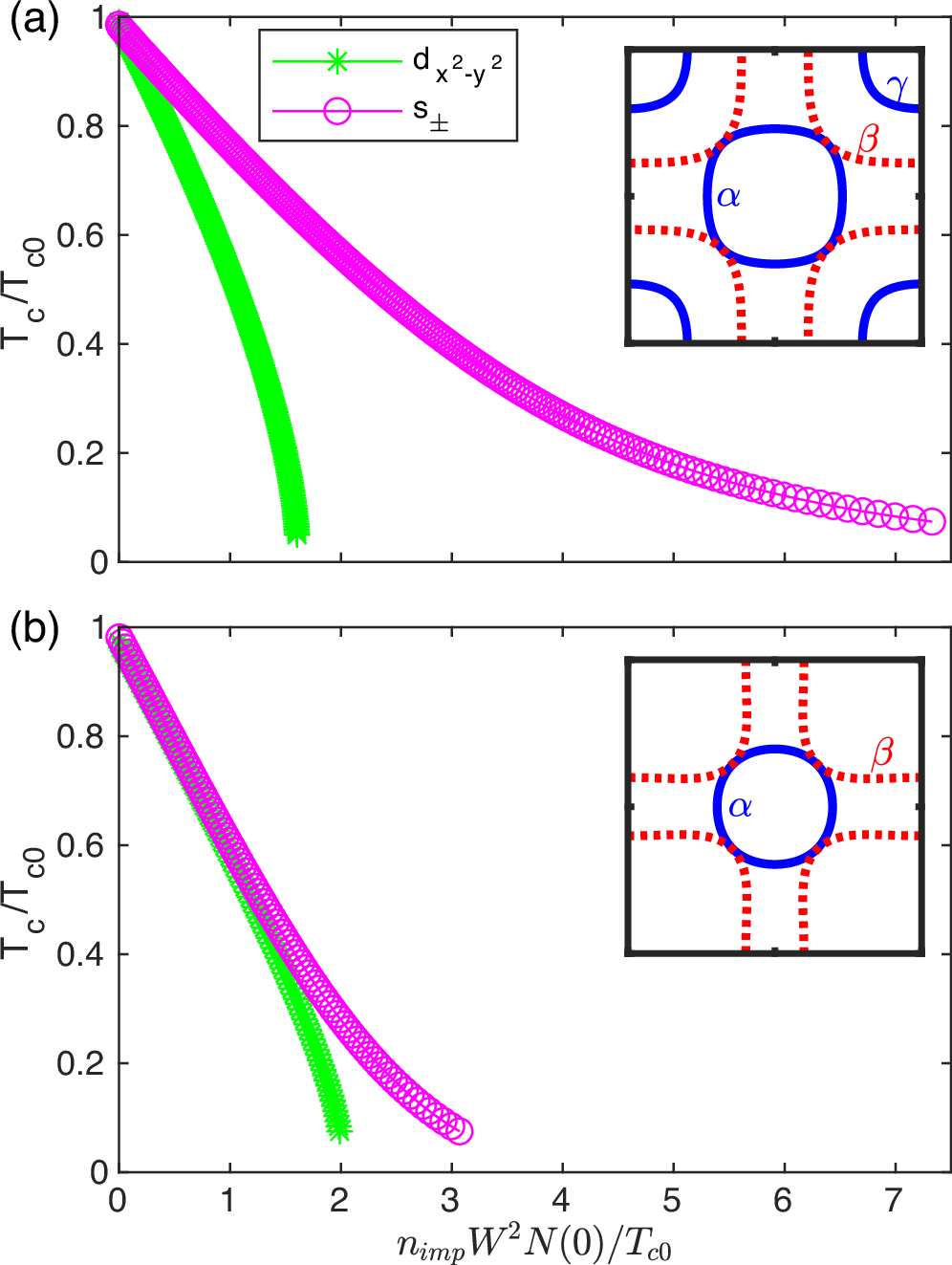
Fig. 2: Tc-suppression as a function of impurity concentrations for different superconducting gap structures in a two-orbital bilayer model of La-327.
From: Theory of potential impurity scattering in pressurized superconducting La3Ni2O7

a The superconducting transition temperature Tc is calculated for different impurity concentrations nimp for La-32728 for the interlayer s±-wave gap structure determined by the bonding/antibonding superconducting order parameters Δb/a = ± Δ⊥ and intralayer d-wave gap structure (\({\Delta }_{{{{\rm{b/a}}}}}={\Delta }_{{{{\rm{d}}}}}(\cos ({k}_{x})-\cos ({k}_{y}))/2\)). The temperature is normalized to the transition temperature in the clean system Tc0. The impurity concentrations are normalized using also the impurity strength W and density of states at the Fermi level N(0). The intralayer interaction J and interlayer interaction J⊥ are chosen such that Tc ≈ 80 K. In (b) the on-site orbital energies are chosen such that the γ pocket is shifted 50 meV below the Fermi surface as it is the case for the La-327 at ambient pressure43,44, keeping the band filling unchanged. The insets show the corresponding Fermi surface where the solid blue and dashed red lines refer to bonding and antibonding Fermi surface sheets, respectively.