Abstract
Complex optimization problems can be solved via dedicated machines which encode the problem in the couplings of spin Hamiltonians. However, traditional physical minimizers often select excited states due to limitations in spin dynamics. We introduce the Vector Ising Spin Annealer (VISA), a framework in gain-based computing that leverages light-matter interactions. We show that VISA overcomes the limitations by enabling spins to operate within a three-dimensional space, thereby providing a robust solution for effectively minimizing Ising Hamiltonians. Our comparative analysis demonstrates VISA’s superior performance relative to conventional single-dimension spin optimizers, highlighting its capacity to surmount significant energy barriers in intricate landscapes. Detailed studies on cyclic and random graphs reveal VISA’s proficiency in dynamically evolving the energy landscape through time-dependent gain and penalty annealing, underscoring its potential in advancing the field of complex problem-solving in physics-inspired and physics-based computing.
Similar content being viewed by others
Introduction
In pursuing advancements in digital computing, mainly aimed at addressing the complexities of AI and large-scale optimization problems, the inherent limitations of the traditional von Neumann architecture come to the forefront. These limitations are characterized by the escalating costs required for incremental performance improvements, prompting a shift toward more sustainable computational paradigms1. In this evolving landscape, two primary paths have emerged: refining algorithms within the existing computational frameworks and exploring hardware paradigms grounded in physics principles.
Algorithmic enhancements, while valuable, offer incremental improvements. In contrast, the exploration of alternative hardware paradigms holds the promise of a substantial shift2,3,4,5, leveraging the fundamental principles of physics, such as minimizing entropy, energy, and dissipation6, and integrating quantum phenomena like superposition and entanglement7. This innovative approach aims to transcend the conventional computing model’s limitations, tapping into the intrinsic computational potential of physical systems to address complex optimization challenges currently beyond traditional methods’ reach.
Central to this innovative trajectory is the integration of analog, physics-based algorithms and hardware, which involve translating complex optimization problems into universal spin Hamiltonians, like the classical Ising and XY models8,9,10. This translation process involves embedding the structure of the problem into the spin Hamiltonian’s coupling strengths and targeting the ground state as the solution, with the physical system tasked with discovering this state. The efficiency and accuracy of this mapping process are vital, as they ensure the scalability of computational efforts, enabling these problems to remain manageable despite increasing complexity11.
Gain-based computing (GBC) emerges as a disruptive computing platform distinct from gate-based and quantum or classical annealing approaches. GBC is a computational paradigm that leverages the amplification characteristics of physical systems with inherent gain mechanisms to control the energy landscape12. It does so by promoting the exploration of the objective function space by comparatively reducing the effects of the system dynamics corresponding to the spin Hamiltonian during initial time iterations, which consequently flattens the energy landscape.
By tailoring the strength of gain and spin interactions, GBC systems can exhibit emergent phenomena, where complex behaviors arise from the collective dynamics of the system, thereby facilitating parallel processing across multiple channels with significant nonlinearities and high-energy efficiency. The operational principle of GBC, such as increasing pumping power (annealing), followed by symmetry breaking and gradient descent, relies on coherence and synchronization to lead the system to a state that minimizes losses naturally.
Recent developments in physics-based hardware exploiting GBC principles have showcased diverse technologies. These range from optical parametric oscillator-based coherent Ising machines (CIMs)13,14,15,16, memristors17, and laser systems18,19,20, to photonic simulators21,22, polaritons9,10, photon condensates23, and novel computational architectures like Microsoft’s analog iterative machine24 and Toshiba’s simulated bifurcation machine25. These platforms have been instrumental in minimizing programmable spin Hamiltonians, demonstrating efficacy across a spectrum of complex optimization challenges, including machine learning26, financial analytics27,28, and biophysical modeling29,30. Non-GBC physical solvers have also been developed based on superconducting qubits31,32,33, CMOS hardware34, cold atoms35,36, and trapped ions37, among others.
The Ising Hamiltonian, originating from statistical physics, is a natural model that can be implemented in these platforms. It describes interactions between spins in a lattice, providing a fundamental model for understanding complex systems and can be written as
where si = ±1 represents the spin, and hi is the external magnetic field. Jij is the interaction strength between the i-th and j-th spins, and is encoded in the coupling matrix J. The Ising model’s exploration of ground states in physical systems parallels the search for minimum cost functions in optimization. Indeed, its energy landscape is analogous to loss landscapes in machine learning, offering a unique perspective on optimization problems38,39.
At the core of the hardware representation of Ising Hamiltonians lies the utilization of scalar soft-spins within soft-spin Ising models, which effectively change energy barriers inherent in classical hard-spin Ising Hamiltonians, HI. The transition from the hard-spin Ising Hamiltonians HI to the soft-spin Ising models consists of considering binary spins si as signs of continuous variables xi—amplitudes—that bifurcate from vacuum state x = 0 guided by the gain increase. While facilitating enhanced problem-solving capabilities, this approach occasionally encounters the obstacle of trajectory trapping within local minima due to the escalating energy barriers as gain increases.
Therefore, the challenge of navigating energy landscapes with numerous local minima, especially during amplitude bifurcation, necessitates an innovative approach to avoid the system being trapped in local minima. In this paper, we introduce the Vector Ising Spin Annealer (VISA), a model that integrates the benefits of multidimensional spin systems and soft-spin gain-based evolution. Unlike traditional single-dimension semi-classical spin models, VISA utilizes three soft modes to represent vector components of an Ising spin, allowing for movement in three dimensions and offering a robust framework for accurately determining ground states in complex optimization problems. Our comparative studies underscore the enhanced performance of VISA compared to established models with scalar spins, such as Hopfield-Tank networks, coherent Ising machines, and the spin-vector Langevin model. VISA shows a notable ability to overcome significant energy barriers and effectively navigate through intricate energy landscapes. We illustrate VISA’s effectiveness by tackling Ising Hamiltonian problems across various graph structures. Our examples include analytically solvable 3-regular circulant graphs, more complex circulant graphs, and random graphs where minimizing the Ising Hamiltonian is known to be an NP-hard problem. In our discussions, when we refer to “solving graph A” or “minimizing graph A”, we use shorthand for the more detailed process of “finding the global minimum of the Ising Hamiltonian on graph A”. This terminology simplifies our reference to determining the lowest possible energy state for the Ising model applied to a specific graph structure.
Results
Vector ising spin annealer
The VISA model is a semi-classical, three-dimensional soft-spin Ising model. It employs annealing of the loss landscape, symmetry-breaking, bifurcation, gradient descent, and mode selection to drive the system toward the global minimum of the Ising Hamiltonian. Here, we represent Ising soft-spins as continuous vectors in three-dimensional space xi = (x1i, x2i, x3i) that are free to move in that space. VISA may be physically realized using amplitudes of a network of coupled optical oscillators. In these optical-based Ising machines, vectors of Ising spins are represented by three soft-spin amplitudes. In total, 3N amplitudes are required to minimize an N-spin Ising Hamiltonian. Other methods utilizing extra degrees of freedom have also been proposed40, including the use of phase-insensitive gain to lower the CIM energy barrier of evolving away from the principal eigenvector41. The VISA approach is somewhat complementary to the recently proposed “dimensionality annealing” where soft Ising amplitudes are considered as coordinates of the multidimensional spins, such as XY or Heisenberg spins42,43. While the main idea is to exploit the advantages of the higher dimensionality, VISA aims at the Ising minimization rather than hyper-dimensional spin systems42,43.
To formulate the Hamiltonian that is capable of representing the dynamics of GBC, we incorporate a term that is convex and dominates when the effective gain (loss) is large and negative, an Ising term that is minimized when the gain is large and positive, and a term that aligns the spins at the end of the process so that their direction can be associated with the binary spin si = ±1. We write, therefore, the VISA Hamiltonian as the sum of three terms HVISA = H1 + H2 + H3, where
with a hyperparameter α. As the effective gain γi(t) increases with time t from negative (effective losses) to positive (effective gain) values, H1 anneals between a convex function with the minimum at xi = 0 to nonzero amplitudes. H2 coincides with the Ising Hamiltonian when all xi have unit magnitude when projected along the same direction. Finally, H3 is a penalty term with time-dependent magnitude P(t) to enforce collinearity between xi and xj at the end of the gain-induced landscape change. At which time, the condition on the amplitudes ∣xi∣ = 1 is imposed by the feedback on the gain realised by \({\dot{\gamma }}_{i}=\varepsilon (1-| {{{{\bf{x}}}}}_{i}{| }^{2})\)44. Analogously to CIM operation, as γi(t) grows from negative to positive values, HVISA anneals from the dominant convex term H1 that is minimized at xi = (0, 0, 0) for all i, to the minimum of H2 + H3 with ∣xi∣ = 1 via symmetry-breaking bifurcation. Concurrently, as P(t) increases from P(0) = 0 to sufficiently large P(T) > 0, the soft-spins vectors become collinear. The Ising spins are calculated by projecting the three-dimensional vectors along the axis k they have centred around and taking signs of the resultant scalar \({s}_{i}={{{\rm{sgn}}}}({{{{\bf{x}}}}}_{i}\cdot {{{\bf{k}}}})\). At t = T, the target hard-spin Ising Hamiltonian HI is minimized.
The Hamiltonian HVISA is inherently four-local due to the H3 term, mandating higher-order interactions. The quadratization is usually applied to higher-order Ising Hamiltonians to decrease the order to quadratic45 is not applicable for the soft spins. However, higher-order interactions with soft spins can be directly realized in a range of analog hardware platforms, including photonic and electronic systems46,47. In photonic implementations, integrated photonic circuits and spatial light modulators (SLMs) enable direct manipulation of complex-valued soft-spin amplitudes through nonlinear optics (e.g., Kerr effects, cross-phase modulation)48,49,50. Here, refractive-index changes induced by multiple input intensities effectively encode three-body or higher-order couplings while preserving continuous spin amplitudes51,52. Optical gain media such as laser networks or polariton condensates exploit gain saturation to enforce collective soft-spin constraints, allowing multi-body interactions to emerge dynamically rather than through discrete ancilla elements52.
Hybrid optoelectronic systems combine fast optical analog cores with electronically programmable control. This combination offers flexible and adaptive tuning of multi-body terms, facilitating on-the-fly modifications to higher-order interactions. Meanwhile, fully electronic realizations based on memristor crossbar arrays or coupled oscillator networks can mimic higher-order soft-spin coupling through current-controlled feedback pathways that compute weighted products of multiple voltages in real-time53,54. For purely quadratic hardware, an SLM-based scheme can implement two-body interactions, while additional digital-analog processing handles the higher-order terms24. Integrating these techniques into a single, hybrid platform where photonic cores perform rapid analog computations and electronic controllers enable programmable gain and connectivity promises a scalable and reconfigurable route to implementing the four-local (and, in principle, even higher-order) VISA Hamiltonian while preserving its continuous spin nature.
The governing equations \({\dot{{{{\bf{x}}}}}}_{i}=-{\nabla }_{i}{H}_{{{{\rm{VISA}}}}}\) represent the gradient descent combined with the temporal change of annealing parameters γi(t) and P(t) as
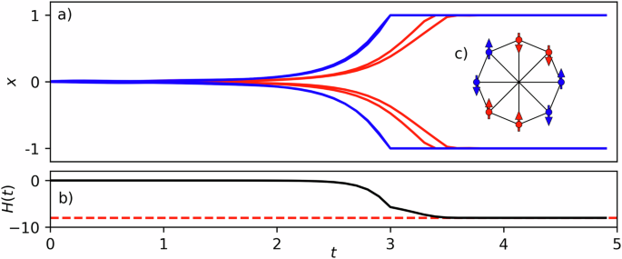
In the last two terms, the vector triple product has been invoked. The operation of VISA, therefore, relies on the gradient descent of a gain-driven loss landscape. We illustrate a toy model of VISA for two dimensions in Fig. 1, demonstrating how the energy landscape evolves as the gain γi(t) and penalty P(t) are evolved, and how the minimizers x* and minima of HVISA change during this process.
Here, N = 2 with spin-spin coupling terms J11 = J22 = 0 and J12 = J21 = −1. The normalized minimizer is \({{{{\bf{x}}}}}_{1}=(1,-1)/\sqrt{2}\) and \({{{{\bf{x}}}}}_{2}=(-1,1)/\sqrt{2}\), and therefore in this illustration we choose state vectors x1 = (x, y) while setting \({{{{\bf{x}}}}}_{2}=(-1,1)/\sqrt{2}\). a–c Snapshots of the self-interacting term H1 through the annealing schedule for α = 4 and γi = γ = −0.5, 0.5, and 1.0, respectively, illustrating the symmetry-breaking as the gain increases. d–f H1 + H2, which seeks to minimize interaction energy between soft spins. The minimum is achieved as the angle between vectors x1 and x2 is π; in a more general coupling matrix the vector spins will tend to adjust the angles so as to minimize the pairwise interactions. g–i H1 + H2 + H3 is shown with the same gain parameters as before, but with P(t) = 1.0, 1.5, and 2.0, respectively. The vector spins are forced to be collinear with the direction that can be identified with the hard Ising spins.
For an Ising model with N spins, the VISA model requires 3N soft spins. This polynomial overhead in mapping the original optimization problem to the VISA model adds experimental complexity to physical implementations. This can take the form of additional optical parametric oscillators, photonic condensates, polariton condensates, or micro-LEDs, among other devices, depending on the physical realization. In particular, optical methods show promise as scalable architectures given their inherent parallelism in performing calculations, therefore removing the need of time-multiplexing as a scaling technique.
The energy landscapes during amplitude bifurcation have many local minima from the increased degrees of freedom of the soft-mode systems55,56,57,58,59. Moreover, the ground state of the soft-mode system may correspond to the excited state of the hard-spin Ising model12. At the bifurcation, the system trajectories may get trapped at these minima and could not transition to the correct global minimum at higher gains, especially when global cluster spin flips are required12. By enhancing the dimensionality of the energy landscape, VISA may allow the system to evolve from the global minimum of the soft-spin Ising model to the global minimum of the classical hard-spin Ising Hamiltonians, as we now illustrate.
We examine the Ising Hamiltonian minimization on simple cyclic graphs. These graphs offer analytically solvable benchmarks with distinct and identifiable obstacles in finding ground states. The process of finding Ising ground states on such graphs is significantly influenced by the eigenvalues of the coupling matrix J, especially the relationship between the eigenvectors’ component signs and the Ising Hamiltonian’s global minimum12,13,25,55,56,59,60,61. For instance, at the bifurcation, Hopfield networks adjust spin amplitudes to favor the principle eigenvector component signs62.
We start by using a Möbius ladder-type graph, a cyclic structure with an even number of vertices N arranged in a ring, featuring variable couplings between adjacent and opposite vertices. To explore non-trivial ground states, we introduce equal antiferromagnetic couplings (Jij = −1) among nearest neighbors and variable cross-ring antiferromagnetic couplings (Jij = −J). We refer to the Möbius graphs with these couplings as J-Möbius graph. We define S0 as the alternating spin state around the ring and S1 as the state with spins alternating except at two opposite ring points with frustrated spins12, as depicted in Fig. 2a, b. When N/2 is even, the energies and principal eigenvalues of S0 and S1 intersect at Jcrit ≡ 4/N and \({J}_{{{{\rm{e}}}}}\equiv 1-\cos (2\pi /N)\), respectively. In the range Je < J < Jcrit, S0’s largest eigenvalues are smaller than those of S1, with an eigenvalue gap \(\Delta =2\cos (2\pi /N)+2J-2\), even though S0 represents the ground state of the hard spin Ising model. The dynamics of semi-classical soft-spin models, including these considerations, have been juxtaposed with quantum annealing approaches in the minimization of the Ising Hamiltonian on J-Möbius ladder graphs12. Comparative analyses between various CIM models and quantum annealing have been conducted, demonstrating that, despite quantum annealing’s ability to utilize quantum entanglement and inter-spin correlations to identify ground states, it exhibits heightened sensitivity to diminishing energy gaps near Jcrit. Consequently, quantum annealing demands longer annealing schedules to accurately determine ground state solutions as J nears Jcrit12.
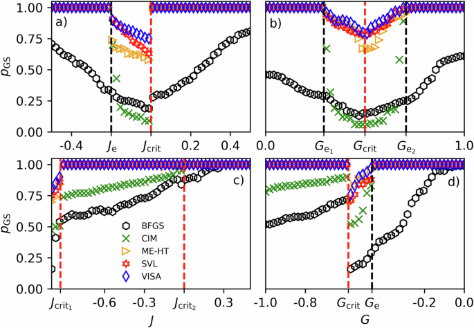
a, b N = 8 J-Möbius ladder graphs with circle (blue) and cross-circle (red) couplings for the S0 and S1 configurations, respectively. c Ground state probability for VISA, SVL, ME-HT, CIM, and BFGS for an N = 8 J-Möbius ladder graph with varying cross-circle couplings J. One thousand runs are used to calculate the probability of finding the ground state pGS for each value of J. Dashed lines corresponding to Je (black) and Jcrit (red) show the values of J for which the leading eigenvalue changes and the ground state configuration changes, respectively. d The structure of Möbius ladder coupling matrices J with Jij = 0 (white), −1 (blue), −J (red).
Figure 3 illustrates the application of VISA to a J-Möbius ladder graph instance characterized by cross-circle couplings where Je < J < Jcrit. During the process, the continuous spin components experience a pitchfork bifurcation, exploiting the minimal energy barriers inherent in soft-spin models. We particularly focus on the intermediary time t1 following the bifurcation, noting that at this time, the spin amplitudes have yet to achieve unit magnitude, and the spins are not collinear. By a later time t2 > t1, the spin vectors stabilize as the VISA Hamiltonian minimizes. These soft-spin vectors then exhibit Ising spin characteristics, including unit magnitude and (anti-)parallel alignment, while the coupling term H2 guarantees identifying the target Ising Hamiltonian’s ground state.
Here, an N = 8 J-Möbius ladder network is utilized with coupling strength J = 0.4. This figure illustrates the dynamics of VISA's soft-spin components: (a) x1 = x1i, (b) x2 = x2i, and (c) x3 = x3i, with vertical dashed lines indicating the snapshots at times t1 and t2. d, e The corresponding spin vectors, highlighting the orientation at intermediate time t1(influenced by H1 + H2) and at t2, where spins align in a unified direction due to a high P(t2), revealing the hard-spin Ising Hamiltonian’s global minimum. The final orientation of the vectors at t2 is spontaneous; thus, the vectors are adjusted such that the z-axis aligns with this direction. f The annealing function P(t). g The trajectory of HVISA over time as it converges to the ground state.
In Fig. 4, we depict typical trajectories of VISA vectors on Bloch spheres, drawing a parallel to similar quantum representations. We orient the spontaneously aligning spins along the z-axis to facilitate visualization. With a fixed interaction strength where Je < J < Jcrit and considering N = 8, we demonstrate the bifurcation dynamics originating from the center. This visualization shows how the three-dimensional nature of VISA allows spins to traverse paths that connect various minima, ultimately converging on the ground state S0. The final vector states are indicated by black arrows, while red points mark the terminal positions of spin vectors at sequential time steps t. These trajectories elucidate the process by which spins increasingly satisfy collinearity and unit magnitude constraints through external annealing of P(t) and the feedback mechanism on γi, steering the spin magnitudes to the threshold value of ∣xi∣ = 1.
Here, the coupling matrix corresponds to an N = 8 J-Möbius graph with coupling constant J = 0.4. Red dotted lines denote the trajectory of the VISA spin vector during its evolution, while the black arrow shows the final position. The spins reach final states adhering to the Ising model’s collinear and unit magnitude constraints. The spontaneous orientation of vectors at time t2, is aligned with the z-axis for visualization.
Gain-based scalar models
We consider two popular models to introduce the concept of a scalar-based GBC against which VISA will be benchmarked, as well as two extensions to these models. In addition, we consider a classical analog of quantum annealing called the spin-vector Langevin model, for five comparative benchmark models in total.
Hopfield-Tank Networks: Hopfield-Tank (HT) neural networks63,64 have energy landscape given by the Lyapunov function
with nonlinear activation function vi = g(xi), and real soft-spin variables xi(t) describing the network state. At any time t, the Ising state can be obtained from xi by associating spins si with the sign of the soft-spin variables \({s}_{i}={{{\rm{sgn}}}}({x}_{i})\). The governing equation for HT neural networks is \({\dot{x}}_{i}=p(t){x}_{i}+{\sum }_{j}{J}_{ij}{v}_{j}\), with annealing parameter p(t). This first-order equation can be replaced with a second-order equation leading to Microsoft’s analog iterative machine24 or Toshiba’s bifurcation machine25.
Momentum-Enhanced Hopfield-Tank: Momentum-enhanced Hopfield-Tank (ME-HT) has a governing equation
with effective mass m, momentum term γ ∈ [0, 1), and hyperparameters α and β(t), the latter of which undergoes an annealing protocol given by β(t) = β0(1 − t/T). With rigorous hyperparameter exploration phases, ME-HT outperforms parallel tempering, simulated annealing, and commercial solver Gurobi at various quadratic unconstrained binary optimization (QUBO) benchmarks24. Equation (7) combines gradient descent with annealed non-conservative dissipation, that together with the addition of momentum distinguishes it from regular first-order HT networks with energy landscape Eq. 6. Momentum, or the heavy-ball method, aims to overcome the pitfalls of pathological curvature in deep learning and accelerates standard gradient descent optimizers65,66.
Coherent Ising Machine: CIMs using degenerate optical parametric oscillators have energy function
where xi, p(t), and Jij represent degenerate optical parametric oscillator quadrature, effective laser pumping power, and coupling strength, respectively67. The system evolves as
where α is a hyperparameter chosen to maximize solution quality. In the scalar-based GBC models, as the gain p(t) increases from negative values (representing effective losses) to large positive values (large effective gain), the amplitudes undergo a pitchfork bifurcation and reach \({x}_{i}=\pm \sqrt{p(T)}\) as \(t\to T,\,p(t)=p(T)={{{\rm{const}}}}\) for t > T. At the fixed point, the second term in Eq. 8 dominates, which is the target Ising Hamiltonian scaled by p(T).
Manifold-Reduction CIM: The presence of amplitude heterogeneities during evolution enables soft-spin models to acquire and maintain the state achieved at bifurcation, even when it diverges from the classical hard-spin Ising Hamiltonian ground state, potentially complicating the optimization process when Je < J < Jcrit. To mitigate this issue, various amplitude heterogeneity control techniques have been developed68,69,70, including the use of chaotic amplitude control71,72,73,74, dynamical adjustment of gain44, and nonlinear filter functions75. In particular, manifold reduction CIM (MR-CIM) is a robust method that constrains the amplitude of oscillators to lie on a lower-dimensional manifold. MR-CIM was developed as an extension to the CIM model, with an additional feedback mechanism to regulate soft spin amplitudes, ensuring they remain close to their mean value12. The amplitude adjustment after each update at time step t is governed by
where 0 < δ < 1. This adjustment draws the spins nearer to the mean, with the average defined by the squared radius of the quadrature \(R({{{\bf{x}}}})={\sum }_{i}{x}_{i}^{2}/N\), thus aligning the local and global minima of the soft and hard spin models more closely.
Spin-Vector Langevin: VISA can be further compared and contrasted with the spin-vector Langevin (SVL) model that was proposed as a classical analog of quantum annealing description using stochastic Langevin time evolution governed by the fluctuation-dissipation theorem76. SVL is based on the time-dependent Hamiltonian used in quantum annealing, H(t) = A(t)H0 + B(t)HP, where initial Hamiltonian \({H}_{0}={\sum }_{i}{\sigma }_{i}^{x}\), and problem Hamiltonian \({H}_{P}=-{\sum }_{i,j}{J}_{ij}{\sigma }_{i}^{z}{\sigma }_{j}^{z}\), with Pauli operator σi acting on the i-th variable. Real annealing functions satisfy boundary conditions A(0) = B(T) = 1 and A(T) = B(0) = 0, where T is the temporal length of the annealing schedule. If the rate of change of the functions is slow enough, the system stays in the ground state of the instantaneous Hamiltonian so that at t = T, the Ising Hamiltonian is minimized. Quantum annealing has shown competitive results in QUBO problems such as subset sum, vertex cover, graph coloring, and traveling salesperson77. The SVL model replaces Pauli operators with real functions of continuous angle \({\sigma }_{i}^{z}\to \sin {\theta }_{i}\), \({\sigma }_{i}^{x}\to \cos {\theta }_{i}\), and is therefore a classical annealing Hamiltonian using continuous-valued spins \(\sin {\theta }_{i}\). SVL dynamics is described by a system of coupled stochastic equations
where m is the effective mass, γ is the damping constant, α is a hyperparameter, and ξi(t) is an iid Gaussian noise. For long annealing times, the minima of hard-spin Ising Hamiltonians are obtained through the transformation \({s}_{i}={{{\rm{sgn}}}}(\sin {\theta }_{i})\). The gradient term in Eq. 11 is
which in conjunction with fluctuation-dissipation relations 〈ξi(t)〉 = 0 and \(\langle {\xi }_{i}(t){\xi }_{j}({t}^{{\prime} })\rangle ={\delta }_{ij}\delta (t-{t}^{{\prime} })\), give 2N stochastic differential equations: dθi = (pi/m)dt and
where dWi represents a real-valued continuous-time stochastic Wiener process76. The characteristic amplitude bifurcations of scalar spins according to ME-HT and SVL are given in the Methods section.
Simulations
In Fig. 5, we compare VISA with CIM under equivalent starting conditions, highlighting that while CIM underperformes in finding the ground state within the range Je < J < Jcrit, VISA excels by leveraging the dynamics of spins in three dimensions to identify the global minimum. Soft spins contribute to this success in both models by facilitating the escape from local minima through reduced energy barriers, a feature not present in hard-spin models. Unlike CIM, which is highly influenced by the principal eigenvalue of J to an excited state60, VISA uses its multidimensional advantage to bridge minima unreachable by CIM’s one-dimensional approach. Most importantly, VISA’s mechanism allows for spin flipping at energy costs lower than that required by CIM, thanks to its ability to navigate through three-dimensional space to find the most energy-efficient path to the global minimum. Figure 5a–i depicts how VISA effectively minimizes Ising energy, contrasting with CIM’s stagnation in an excited state. For Je < J < Jcrit, and as the gain γi and penalty P(t) increase, VISA goes towards the ground state S0, aligning with the lowest energy state indicated by the hard-spin Ising Hamiltonian, as shown in Fig. 5j. Nonetheless, it is important to note that increasing spin amplitudes too fast may also inadvertently heighten energy barriers, potentially impeding state transitions. Analyzing the critical points can provide further insight into the structure of the VISA energy landscape and its comparison with the energy landscape of the scalar models (see Methods). The VISA energy landscape shows much-diminished energy barriers.
a The trajectory evolution of VISA (blue) and CIM (red) on an N = 8 J-Möbius ladder graph with coupling constant J = 0.35. Here, VISA successfully reaches the ground state S0, while CIM remains in an excited state S1. Both systems start from the same initial conditions, with CIM beginning at xi(0) = a and VISA at xi(0) = (a, b, b), where a and b are uniformly chosen from the ranges [−0.01, 0.01] and [−0.0001, 0.0001] respectively. b–d CIM spin states at three different times t1, t2, and t3, illustrating CIM's inability to overcome the energy barrier to reach the ground state. e–g VISA's effective navigation in three-dimensional space. h Comparison of the VISA Hamiltonian HVISA against the CIM energy \({E}_{{{{\rm{CIM}}}}}\) as calculated from Eq. 8. i The Ising energies, with ground state S0 indicated by a black dashed line. j Regions in γ−P space that corresponds to different global minima of HVISA for N = 8, showing S1 in blue and S0 in varying colors (yellow, orange, red) for J values of 0.35, 0.40, and 0.45, respectively.
The key feature distinguishing VISA from the discussed models lies in its gain-based and dimensionality annealing strategy, which is applied across multiple dimensions. In the analysis of J-Möbius ladder graphs, as shown in Fig. 2, we compute the ground state probability for VISA alongside SVL, ME-HT, CIM, and the Broyden-Fletcher-Goldfarb-Shanno (BFGS) algorithm. Within the range Je < J < Jcrit, VISA consistently identifies the ground state S0 with a higher probability pGS compared to the other models.
Next we consider the J−G cyclic graphs that are a variant of J-Möbius ladder graphs that include additional couplings connecting each vertex i to vertices i ± k with a weight of −G, where 1 < k < N/2. This modification aims to explore more complex interaction patterns and their impact on the system’s ground state behavior and eigenvalue distributions, particularly focusing on how these factors evolve in the context of optimization and the search for ground states in varied graph structures. The interaction strength range is expanded to accommodate both ferromagnetic and antiferromagnetic interactions, with −1 ≤ J, G ≤ 1. This yields a 5-regular circulant graph characterized by weights Jij ∈ {−1, −J, −G}, depicted in Fig. 6. Cyclic graphs maintain their local and global topological properties under rotational transformations, encapsulating all connectivity information within any row of J. By selecting the first row J1,j, we compute eigenvalues as \({\lambda }_{n}=\mathop{\sum }_{j = 1}^{N}{J}_{1,j}\cos \left[2\pi n(\,j-1)/N\right]\), leading to \({\lambda }_{n}=-2\cos (2\pi n/N)-J{(-1)}^{n}-2G\cos (2\pi kn/N)\)78. We then deduce boundaries by observing eigenvalues in the J−G plane, identifying where leading eigenvalues and corresponding eigenvectors change their correspondence with the ground and excited states. Figure 6 depicts regions where the global minimum diverges from the hypercube corner of the projected eigenvector with the highest eigenvalue.
a, b J − G cyclic graphs for N = 8 with k = 2 and k = 3, respectively. c The matrix structure J for k = 3, where the color coding represents Jij = 0 (white), −1 (blue), −J (red), and −G (green). d The ground states and (e) leading eigenvalue states for k = 2 within the J − G space. f Delineation of the energy and eigenvalue boundaries, with the pink region indicating discrepancies between ground and maximal eigenvalue states. Easy-hard transitions in the J−G space are indicated by solid red lines. g–i Extension of the analysis to k = 3.
We investigate ground state probabilities pGS over transition regions in these graphs with both J and G cross-circle couplings. We choose values in J − G parameter space that demonstrate transitions between regions in which the eigenvector corresponding to the leading eigenvalue does not match the ground state solution (exact calculations of these regions are presented in the Methods section). Ground state probabilities for VISA, SVL, ME-HT, CIM, and BFGS are illustrated in Fig. 7. Four cases are analyzed, split into two sets: k = 2 and k = 3. We consider perpendicular lines in the two-dimensional J−G space for each set. Specifically, we vary (fix) J and fix (vary) G. For k = 2 and G = 0.5, an easy-hard-easy transition emerges as J increases, akin to J-Möbius ladder previously studied. Indeed, for Je < J < Jcrit, pGS decreases as the eigenvalue gap Δ increases. If, instead, we fix J = −0.5, a transition occurs, centred at the change between ground states given by Gcrit = 0.5. Here, the hard region is bounded by eigenvalue crossing points \({G}_{{{{{\rm{e}}}}}_{1}}=1-\sqrt{2}/2\) and \({G}_{{{{{\rm{e}}}}}_{2}}=1/\sqrt{2}\). For k = 3, pGS is less sensitive to the magnitude of Δ for regions where S3 is the ground state. This is due to the proximity between the leading eigenvalue state S1 and ground solution S3 in topological spin space. More precisely, the transformation from S1 to S3 requires only a single spin flip, representing a nominal energy barrier for soft-spin models. Therefore, hardness in J−G cyclic graphs derives not just from the eigenvalue gap magnitude but additionally from the distance between hypercube corners of the ground and leading eigenvalue states.
N = 8 J−G cyclic graphs are used with varying cross-circle couplings J and G. a k = 2, J ∈ [−0.5, 0.5], and G = 0.5. b k = 2, J = 0.5, and G ∈ [0, 1]. c k = 3, J ∈ [−1, 0.5], and G = −0.8. d k = 3, J = −0.5, and G ∈ [−1, 0]. One thousand runs are used to calculate the probability of finding the ground state pGS for each value of J. Dashed red and black lines show where the ground state energies and leading eigenvalues change, respectively.
We extend VISA’s evaluation to QUBO instances renowned for their computational intensity as they scale: dense fully connected graphs and sparse three-regular graphs with normally distributed random couplings Jij, representing Sherrington-Kirkpatrick (SK) and weighted three-regular Max-Cut problems, respectively. These models are pivotal for benchmarking physical simulators61,79,80,81 and are categorized under the NP-hard complexity class8,82. Unlike cyclic graphs, these instances do not have analytically known ground states, necessitating the use of the Gurobi optimization suite for ground state estimations. Gurobi employs advanced pre-processing and heuristic enhancements to expedite branch-and-bound algorithms83. Figure 8a compares the ground state approximations achieved by Gurobi with those by VISA for N = 100 SK and weighted three-regular Max-Cut graphs. Alongside, we include comparisons with SVL, MR-CIM, and CIM, where MR-CIM and CIM adapt their laser intensities following a general pumping scheme \(p(t)=(1-{p}_{0})\tanh (\varepsilon t)+{p}_{0}\). MR-CIM further applies an additional feedback mechanism as per Eq. (10) on top of Eq. (9), controlling soft-spin amplitudes and the dimensionality landscape. We define the quality improvement of VISA over another method X in terms of objective values O as (OV ISA − OX)/OV ISA, showcasing these metrics for SK and three-regular problems in Fig. 8b, where X represents the best-performing competing method for each instance.
a Boxplots of the proximity gap, defined as the ratio of the found objective to the Gurobi objective, for VISA, SVL, manifold reduction CIM, and CIM methods. The boxes represent the inter-quartile range, with error bars extending to the farthest data point lying within 1.5 times the inter-quartile range. The instances are divided equally between two graph topologies: dense, fully connected, and sparse three-regular graphs. In both cases, the matrix weight elements are drawn from the Gaussian distribution with zero mean and unit variance, resulting in instances belonging to the Sherrington-Kirkpatrick and weighted 3-regular Max-Cut problems. b Violin plots demonstrate the distribution of VISA's quality improvement performance compared to the best solution found by competing methods {SVL, MR-CIM, CIM} across the SK and 3-Regular QUBO benchmarks.
Discussion
This paper introduces the vector Ising spin annealer (VISA). This model capitalizes on the advantages of multidimensional spin systems, gain-based operation, and soft-spin annealing techniques to optimize Ising Hamiltonians on various graph structures. VISA distinguishes itself by enabling more efficient navigation through the solution space, enhancing spin mobility in higher-dimensional spaces, and providing a robust framework for connecting local minima and reducing energy barriers.
A key focus of VISA is its ability to recover ground states effectively. The model’s performance was numerically evaluated against other methods, demonstrating its superior ability to find ground states across different graph types and complex QUBO instances. Thus, it highlights its potential to address NP-hard problems.
The future research could explore the role of defects in spin models, such as topological defects, domain walls, and vortex rings, and their role in achieving the ground state during gain-based operation. Vortices may exhibit more efficient annihilation properties in higher-dimensional systems, such as those utilized by VISA. This is potentially due to the additional spatial degrees of freedom, which could facilitate the merging or cancellation of vortices and anti-vortices, a phenomenon less constrained than in two-dimensional spaces. This enhanced annihilation could lead to a smoother energy landscape, aiding the system in avoiding local minima and more effectively converging to the ground state.
By using multidimensional spins, VISA opens new avenues for developing analog optimization machines, potentially incorporating quantum effects to enhance computational capabilities.
Methods
Algorithms
Numerical integration of all continuous-time algorithms is performed by the fourth-order Runge-Ketta scheme with fixed discrete time step Δt = 0.1.
1. Vector Ising Spin Annealer. All test cases of the VISA algorithm (5) use initial effective gain γi(0) = −0.5 and penalty annealing function P(t) = ct for some constant c. The initial soft-spin vectors xij(0) are chosen uniformly at random from range [−0.01, 0.01]. In Fig. 3, the penalty function is P(t) = t/200, hyperparameter α = 4, and the strength of the feedback on the gain is ε = 0.03. In Fig. 4P(t) = t/25, α = 4, and ε = 0.04. In Fig. 5P(t) = t/100, α = 4, and ε = 0.04.
2. Momentum-Enhanced Hopfield-Tank. All test cases of the ME-HT algorithm (7) use effective mass m = 1.0, and xi(0) chosen uniformly at random from range [−0.01, 0.01]. For each time step t, we apply a clipping function \({[{{{{\bf{x}}}}}_{i}]}_{t}=\,{\mbox{sgn}}\,({[{{{{\bf{x}}}}}_{i}]}_{t})\) when \(| {[{{{{\bf{x}}}}}_{i}]}_{t}| > 1\), alongside a nonlinear activation function \(g({{{{\bf{x}}}}}_{i})=\tanh ({{{{\bf{x}}}}}_{i})\). Figure 9 illustrates the pitchfork bifurcation in soft spins within the ME-HT model. Here, the momentum is γ = 0.7, and hyper-parameters are \(\alpha =2.5/{\lambda }_{\max }\) and β = 1.5(1 − t/T). In Figs. 2 and 7, the momentum is γ = 0.99.
a The amplitudes connected by the frustrated edges are lower than in the rest of the system and are shown in red. b The corresponding Ising Hamiltonian decreases in time, and the ground state is found, with energy given by the dashed red line. c Schematic representation of state S1 realized by the soft-spin momentum enhanced HT model.
3. Coherent Ising Machine with Manifold Reduction. The effective laser pumping power in CIM Eq. (9) is given by annealing schedule \(p(t)=(1-{p}_{0})\tanh (\varepsilon t)+{p}_{0}\), where p0 = J − 2 for J-Möbius ladder graphs, p0 = J + 2G − 2 for J − G cyclic graphs with even k, and p0 = J − 2G − 2 for cyclic graphs with odd k. In Fig. 5\(\,\alpha =1/{\lambda }_{\max }\) and ε = 0.005. Parameter δ controls the strength of the manifold reduction. If δ = 0, no adjustment is made, while δ = 1 sets all amplitudes to the average value. xi(0) is chosen uniformly at random from range [−0.01, 0.01].
4. Spin-Vector Langevin. All implementations of the SVL model (11) use effective mass m = 1.0, damping constant γ = 0.99, and initial phases θi(0) randomly selected from range [−π/2, π/2]. Annealing schedules are defined as A(t) = 1 − t/T and B(t) = t/T. Fig. 10 displays the temporal evolution of scalar amplitudes as dictated by the SVL model. Here, \(\alpha =1/{\lambda }_{\max }\), and Gaussian noise ξ = 0.
a The amplitudes connected by the frustrated edges are lower than in the rest of the system, and are shown in red. b The real annealing functions A(t) in blue and B(t) in red, satisfying the boundary conditions A(0) = B(T) = 1 and A(T) = B(0) = 0, over an annealing period T = 100. c Dynamics of the total Hamiltonian H(t) = A(t)H0 + B(t)HP. It decreases initially as the ground state of H0 is reached, then increases as A(t) and B(t) are annealed. Post a critical juncture, the SVL model aims to minimize the problem Hamiltonian HP, identifying the ground state of the J-Möbius ladder, indicated by the dashed red line.
5. Broyden-Fletcher-Goldfarb-Shanno. BFGS is a second-order optimization algorithm for solving unconstrained nonlinear optimization problems. The algorithm operates iteratively, updating an approximation of the Hessian matrix to find the optimal solution. The BFGS algorithm is implemented with minimizer FindMinimum in Wolfram Mathematica. It is used to find solutions to the VISA Hamiltonian HV ISA with fixed γi = γ = 1.0 ∀ i and P = 0.8.
6. Gurobi. Objective values obtained by Gurobi in Fig. 8 are solved with a 30 s time limit for each of the 100 problem instances with size N = 100. The Gurobi solver is implemented on a single core of AMD Ryzen 5 3500U 2.1 GHz CPU using 8 threads.
Optimal parameters
For VISA, SVL, ME-HT, and (MR)-CIM, the optimal sets of parameters are determined through an iterative grid search over the selected hyperparameter space. If, over many problem instances, the optimal value of a parameter is approximately equal over all tests, that parameter is fixed at its optimal value. The grid search may be one- or multi-dimensional depending on the number of hyperparameters. This is used to obtain the sets of results in Figs. 2, 7, and 8, where every method is given a maximum time T = 1000. Here, for all graph types and instances, the gain feedback strength for VISA is fixed at ε = 0.02, whilst c in P(t) = ct undergoes a grid search for each instance to recover the optimal value. The damping constant and Gaussian noise in SVL are fixed at γ = 0.99 and ξ ~N(0, 0. 12). Momentum parameter in ME-HT is fixed at γ = 0.99 with β0 in β(t) = β0(1 − t/T) chosen optimally from a grid search. The laser pumping parameter in CIM is ε = 0.003. The same value is used for MR-CIM, whilst a grid search gives the optimal manifold reduction parameter. In VISA, SVL, ME-HT, and (MR)-CIM, hyperparameter α is chosen optimally for each problem instance using grid search. In cases where α is a coefficient in terms that include adjacency matrix J, α is scaled by the largest positive eigenvalue \({\lambda }_{\max }\) of J.
Ising models
1. J − G Cyclic Graphs. For general N with couplings Jij ∈ {−1, −J, −G}, the N eigenvalues are given by
where n = 1, 2, …, N. Equation (14) follows from substituting J1,j into the general form of matrix eigenvalues for cyclic graphs given in the main text. As J and G vary within [−1, 1], the leading eigenvalue changes. Constrained to this domain, for N = 8 and k = 2, the leading eigenvalues are given by n = 4, 5, 6. Substituting these values into Eq. (14) and equating each pair gives three boundaries defined by \(J=1-\sqrt{2}/2-G\), \(J=G-1/\sqrt{2}\), and G = 1/2. Similarly for k = 3, we obtain two unique leading eigenvalues (n = 4, 5) in the J − G domain, with boundary \(J=1-\sqrt{2}/2+(1+1/\sqrt{2})G\). Eigenvectors corresponding to leading eigenvalues are used to deduce analogous Ising states by projecting the eigenvector onto the nearest hypercube corner [−1, 1]N. These Ising states are given in Fig. 6e, h. Gurobi is used to obtain ground states in J − G space. Four unique configurations are found with N = 8: namely S0, S1, and S2 for k = 2, and S0, S1, and S3 for k = 3. S2 and S3 are defined as the configurations of Ising spins given by S2 = (1, 1, −1, −1, 1, 1, 1, −1) and S3 = (1, 1, −1, 1, 1, −1, 1, −1). For even N/2, these four states have energies
where d = k/2 if k is even, and 0 otherwise. Equating the relevant energies for k = 2 gives three boundaries defined by separators J = 1/2 − G, J = G − 1/2, and G = 1/2. Similarly for k = 3, the boundary edges are given by J = 1/2 + 3/2G, J = 2/3 + 2G, and J = 0. Eigenvalues and ground states for J − G cyclic graphs are shown in Fig. 11 for values of J and G considered in the main text.
Each plot corresponds to one of the red lines in Fig. 6f, i. Ground state probabilities are calculated on these lines in J − G space for various methods in the main text. a k = 2 and G = 0.5. b k = 2 and J = 0. c k = 3 and G = −0.8. d k = 3 and J = −0.5. Vertical dashed red and black lines show where ground state energies and leading eigenvalues change, respectively. Background colors denote ground states in specific regions, with states and corresponding colors listed in the key.
2. Sherrington-Kirkpatrick. The SK model is an Ising model of a spin glass with long-range frustrated ferro- and anti-ferromagnetic couplings. The fully connected SK model has a dense adjacency matrix with coupling weights sampled from a Gaussian distribution with zero mean and unit variance. The Gaussian-SK model is known to be NP-hard8.
3. Three-Regular Max-Cut. Max-Cut is the problem of partitioning the nodes of a graph into two sets such that the weight of edges between the two sets is as large as possible. This is mapped to the Ising model with zero overhead. The weighted three-regular Max-Cut problem has a sparse adjacency matrix, where we specifically consider the three-regular Möbius ladder graph with coupling weights sampled from a Gaussian distribution with zero mean and unit variance. The weighted three-regular Max-Cut problem is known to be NP-hard82.
Data availability
The authors declare that all data supporting this study’s findings are available in the Methods section of this paper.
Code availability
The code supporting this study’s findings is available from the first author upon reasonable request.
References
Thompson, N. C. & Spanuth, S. The decline of computers as a general purpose technology. Commun. ACM 64, 64 (2021).
Landauer, R. Information is physical. Phys. Today 44, 23 (1991).
Sarpeshkar, R. Analog versus digital: extrapolating from electronics to neurobiology. Neural Comput. 10, 1601 (1998).
Hooker, S. The hardware lottery. Commun. ACM 64, 58 (2021).
Markov, I. L. Limits on fundamental limits to computation. Nature 512, 147 (2014).
Vadlamani, S. K., Xiao, T. P. & Yablonovitch, E. Physics successfully implements lagrange multiplier optimization. Proc. Natl. Acad. Sci. USA 117, 26639 (2020).
Farhi, E., Goldstone, J., Gutmann, S. & Sipser, M. Quantum computation by adiabatic evolution. arXiv preprint quant-ph/0001106 (2000).
Lucas, A. Ising formulations of many np problems. Front. Phys. 2, 5 (2014).
Berloff, N. G. et al. Realizing the classical XY Hamiltonian in polariton simulators. Nat. Mater. 16, 1120 (2017).
Kalinin, K. P., Amo, A., Bloch, J. & Berloff, N. G. Polaritonic xy-ising machine. Nanophotonics 9, 4127 (2020).
De las Cuevas, G. & Cubitt, T. S. Simple universal models capture all classical spin physics. Science 351, 1180 (2016).
Cummins, J. S., Salman, H. & Berloff, N. G. Ising hamiltonian minimization: gain-based computing with manifold reduction of soft spins vs quantum annealing. Phys. Rev. Res. 7, 013150 (2025).
McMahon, P. L. et al. A fully programmable 100-spin coherent Ising machine with all-to-all connections. Science 354, 614 (2016).
Inagaki, T. et al. A coherent Ising machine for 2000-node optimization problems. Science 354, 603 (2016).
Yamamoto, Y. et al. Coherent ising machines—optical neural networks operating at the quantum limit. npj Quant. Inf. 3, 1 (2017).
Honjo, T. et al. 100,000-spin coherent Ising machine. Sci. Adv. 7, eabh0952 (2021).
Cai, F. et al. Power-efficient combinatorial optimization using intrinsic noise in memristor Hopfield neural networks. Nat. Electron. 3, 409 (2020).
Babaeian, M. et al. A single shot coherent ising machine based on a network of injection-locked multicore fiber lasers. Nat. Commun. 10, 1 (2019).
Pal, V., Mahler, S., Tradonsky, C., Friesem, A. A. & Davidson, N. Rapid fair sampling of the x y spin hamiltonian with a laser simulator. Phys. Rev. Res. 2, 033008 (2020).
Parto, M., Hayenga, W., Marandi, A., Christodoulides, D. N. & Khajavikhan, M. Realizing spin hamiltonians in nanoscale active photonic lattices. Nat. Mater. 19, 725 (2020).
Pierangeli, D., Marcucci, G. & Conti, C. Large-scale photonic Ising machine by spatial light modulation. Phys. Rev. Lett. 122, 213902 (2019).
Roques-Carmes, C. et al. Heuristic recurrent algorithms for photonic Ising machines. Nat. Commun. 11, 249 (2020).
Vretenar, M., Kassenberg, B., Bissesar, S., Toebes, C. & Klaers, J. Controllable Josephson junction for photon Bose-Einstein condensates. Phys. Rev. Res. 3, 023167 (2021).
Kalinin, K. et al. Analog iterative machine (aim): using light to solve quadratic optimization problems with mixed variables. arXiv preprint arXiv:2304.12594 (2023).
Goto, H. Bifurcation-based adiabatic quantum computation with a nonlinear oscillator network. Sci. Rep. 6, 1 (2016).
Date, P., Arthur, D. & Pusey-Nazzaro, L. Qubo formulations for training machine learning models. Sci. Rep. 11, 10029 (2021).
Gilli, M., Maringer, D. & Schumann, E. Numerical Methods and Optimization in Finance (Academic Press, 2019).
Cummins, J. S. & Berloff, N. A fully analog pipeline for portfolio optimization, in NeurIPS Workshop on Machine Learning with New Compute Paradigms (2024).
Pierce, N. A. & Winfree, E. Protein design is NP-hard. Protein Eng. 15, 779 (2002).
Dill, K. A., Ozkan, S. B., Shell, M. S. & Weikl, T. R. The protein folding problem. Annu. Rev. Biophys. 37, 289 (2008).
Johnson, M. W. et al. Quantum annealing with manufactured spins. Nature 473, 194 (2011).
Denchev, V. S. et al. What is the computational value of finite-range tunneling? Phys. Rev. X 6, 031015 (2016).
Arute, F. et al. Quantum supremacy using a programmable superconducting processor. Nature 574, 505 (2019).
Tsukamoto, S., Takatsu, M., Matsubara, S. & Tamura, H. An accelerator architecture for combinatorial optimization problems. Fujitsu Sci. Tech. J. 53, 8 (2017).
Struck, J. et al. Engineering ising-xy spin-models in a triangular lattice using tunable artificial gauge fields. Nat. Phys. 9, 738 (2013).
Anikeeva, G. et al. Number partitioning with Grover’s algorithm in central spin systems. PRX Quantum 2, 020319 (2021).
Kim, K. et al. Quantum simulation of frustrated Ising spins with trapped ions. Nature 465, 590 (2010).
Nishimori, H. Statistical Physics of Spin Glasses and Information Processing: An Introduction, 111 (Clarendon Press, 2001).
Dotsenko, V. An Introduction to the Theory of Spin Glasses and Neural Networks, Vol. 54 (World Scientific, 1995).
Goemans, M. X. & Williamson, D. P. Improved approximation algorithms for maximum cut and satisfiability problems using semidefinite programming. J. ACM 42, 1115 (1995).
Gunturu, N., Mabuchi, H., Ng, E., Wennberg, D. & Yanagimoto, R. Feedback and constraints in physical optimizers, in AI and Optical Data Sciences V, Vol. 12903 128–131 (SPIE, 2024).
Calvanese Strinati, M. & Conti, C. Multidimensional hyperspin machine. Nat. Commun. 13, 7248 (2022).
Strinati, M. C. & Conti, C. Hyperscaling in the coherent hyperspin machine. Phys. Rev. Lett. 132, 017301 (2024).
Kalinin, K. P. & Berloff, N. G. Networks of non-equilibrium condensates for global optimization. N. J. Phys. 20, 113023 (2018).
Rosenberg, I. G. Reduction of bivalent maximization to the quadratic case. Cah. Cent. Et. Rech. Oper. 17, 71 (1975).
Yin, X. et al. Efficient analog circuits for boolean satisfiability. IEEE Trans. Very Large Scale Integr. Syst. 26, 155 (2017).
Nikhar, S., Kannan, S., Aadit, N. A., Chowdhury, S. & Camsari, K. Y. All-to-all reconfigurability with sparse and higher-order Ising machines. Nat. Commun. 15, 8977 (2024).
Sakellariou, J., Askitopoulos, A., Pastras, G. & Tsintzos, S. I. Encoding arbitrary Ising Hamiltonians on spatial photonic Ising machines. Phys. Rev. Lett. 134, 203801 (2025).
Veraldi, D. et al. Fully programmable spatial photonic Ising machine by focal plane division. Phys. Rev. Lett. 134, 063802 (2025).
Stroev, N. & Berloff, N. G. Analog photonics computing for information processing, inference, and optimization. Adv. Quant. Technol. 6, 2300055 (2023).
Abreu, S. et al. A photonics perspective on computing with physical substrates. Rev. Phys. 12, 100093 (2024).
Stroev, N. & Berloff, N. G. Discrete polynomial optimization with coherent networks of condensates and complex coupling switching. Phys. Rev. Lett. 126, 050504 (2021).
Hizzani, M. et al. Memristor-based hardware and algorithms for higher-order Hopfield optimization solver outperforming quadratic Ising machines. In Proc. 2024 IEEE International Symposium on Circuits and Systems (ISCAS) 1–5 (IEEE, 2024).
Bhattacharya, T. et al. Computing high-degree polynomial gradients in memory. Nat. Commun. 15, 8211 (2024).
Yamamura, A., Mabuchi, H. & Ganguli, S. Geometric landscape annealing as an optimization principle underlying the coherent Ising machine. Phys. Rev. X 14, 031054 (2024).
Marandi, A., Wang, Z., Takata, K., Byer, R. L. & Yamamoto, Y. Network of time-multiplexed optical parametric oscillators as a coherent ising machine. Nat. Photon. 8, 937 (2014).
Kalinin, K. P. & Berloff, N. G. Simulating Ising and n-state planar Potts models and external fields with nonequilibrium condensates. Phys. Rev. Lett. 121, 235302 (2018).
Böhm, F. et al. Understanding dynamics of coherent Ising machines through simulation of large-scale 2d Ising models. Nat. Commun. 9, 5020 (2018).
Leleu, T., Yamamoto, Y., Utsunomiya, S. & Aihara, K. Combinatorial optimization using dynamical phase transitions in driven-dissipative systems. Phys. Rev. E 95, 022118 (2017).
Yamamoto, Y., Leleu, T., Ganguli, S. & Mabuchi, H. Coherent Ising machines—quantum optics and neural network perspectives. Appl. Phys. Lett. 117, 160501 (2020).
Hamerly, R. et al. Experimental investigation of performance differences between coherent Ising machines and a quantum annealer. Sci. Adv. 5, eaau0823 (2019).
Kalinin, K. P. & Berloff, N. G. Computational complexity continuum within Ising formulation of np problems. Commun. Phys. 5, 20 (2022).
Hopfield, J. J. Neural networks and physical systems with emergent collective computational abilities. Proc. Natl. Acad. Sci. USA 79, 2554 (1982).
Hopfield, J. J. & Tank, D. W. "Neural” computation of decisions in optimization problems. Biol. Cybern. 52, 141 (1985).
Orvieto, A. & Lucchi, A. Shadowing properties of optimization algorithms, in 33rd Conference on Neural Information Processing Systems (2019). https://proceedings.neurips.cc/paper_files/paper/2019/file/8471bda5e6201d30893c3582ee131d4d-Paper.pdf.
Saab Jr, S., Phoha, S., Zhu, M. & Ray, A. An adaptive Polyak heavy-ball method. Mach. Learn. 111, 3245 (2022).
Wang, Z., Marandi, A., Wen, K., Byer, R. L. & Yamamoto, Y. Coherent ising machine based on degenerate optical parametric oscillators. Phys. Rev. A 88, 063853 (2013).
Calvanese Strinati, M., Bello, L., Dalla Torre, E. G. & Pe’er, A. Can nonlinear parametric oscillators solve random Ising models? Phys. Rev. Lett. 126, 143901 (2021).
Böhm, F., Vaerenbergh, T. V., Verschaffelt, G. & Van der Sande, G. Order-of-magnitude differences in computational performance of analog ising machines induced by the choice of nonlinearity. Commun. Phys. 4, 149 (2021).
Verstraelen, W., Deuar, P., Matuszewski, M. & Liew, T. C. H. Analog spin simulators: How to keep the amplitude homogeneous. Phys. Rev. Appl. 21, 024057 (2024).
Leleu, T., Yamamoto, Y., McMahon, P. L. & Aihara, K. Destabilization of local minima in analog spin systems by correction of amplitude heterogeneity. Phys. Rev. Lett. 122, 040607 (2019).
Leleu, T. et al. Chaotic amplitude control for neuromorphic Ising machine in silico. arXiv preprint arXiv:2009.04084 (2020).
Reifenstein, S., Kako, S., Khoyratee, F., Leleu, T. & Yamamoto, Y. Coherent Ising machines with optical error correction circuits. Adv. Quant. Technol. 4, 2100077 (2021).
Reifenstein, S. et al. Coherent SAT solvers: a tutorial. Adv. Opt. Photon. 15, 385 (2023).
Kim, K., Kumagai, M. & Yamamoto, Y. Combinatorial clustering with a coherent xy machine. Opt. Express 32, 33737 (2024).
Subires, D., Gómez-Ruiz, F. J., Ruiz-García, A., Alonso, D. & Del Campo, A. Benchmarking quantum annealing dynamics: the spin-vector Langevin model. Phys. Rev. Res. 4, 023104 (2022).
Jiang, J.-R. & Chu, C.-W. Solving NP-hard problems with quantum annealing, In Proc. 2022 IEEE 4th ECICE 406–411 (IEEE, 2022).
Gancio, J. & Rubido, N. Critical parameters of the synchronisation’s stability for coupled maps in regular graphs. Chaos Solitons Fractals 158, 112001 (2022).
Haribara, Y., Ishikawa, H., Utsunomiya, S., Aihara, K. & Yamamoto, Y. Performance evaluation of coherent ising machines against classical neural networks. Quant. Sci. Technol. 2, 044002 (2017).
Harrigan, M. P. et al. Quantum approximate optimization of non-planar graph problems on a planar superconducting processor. Nat. Phys. 17, 332 (2021).
Böhm, F., Verschaffelt, G. & Van der Sande, G. A poor man’s coherent ising machine based on opto-electronic feedback systems for solving optimization problems. Nat. Commun. 10, 1 (2019).
Arora, S., Berger, E., Elad, H., Kindler, G. & Safra, M. On non-approximability for quadratic programs. In Proc. 46th Annual IEEE FOCS Symposium 206–215 (IEEE, 2005).
Gurobi Optimization, LLC, Gurobi Optimizer Reference Manual https://www.gurobi.com (2023).
Acknowledgements
J.S.C. acknowledges the PhD support from the EPSRC grant EP/T517847/1, N.G.B. acknowledges the support from the HORIZON EIC-2022-PATHFINDERCHALLENGES-01 HEISINGBERG project 101114978 and Weizmann-UK Make Connection grant 142568.
Author information
Authors and Affiliations
Contributions
J.S.C. performed the numerical simulations and conducted the mathematical analysis. N.G.B. conceived the idea and supervised the study. Both authors contributed to writing the manuscript.
Corresponding author
Ethics declarations
Competing interests
G.B. is a Guest Editor for Communications Physics, but was not involved in the editorial review of, or the decision to publish this article. The authors declare no other competing interests.
Peer review
Peer review information
Communications Physics thanks Kerem Camsari and the other, anonymous, reviewer(s) for their contribution to the peer review of this work.
Additional information
Publisher’s note Springer Nature remains neutral with regard to jurisdictional claims in published maps and institutional affiliations.
Rights and permissions
Open Access This article is licensed under a Creative Commons Attribution 4.0 International License, which permits use, sharing, adaptation, distribution and reproduction in any medium or format, as long as you give appropriate credit to the original author(s) and the source, provide a link to the Creative Commons licence, and indicate if changes were made. The images or other third party material in this article are included in the article’s Creative Commons licence, unless indicated otherwise in a credit line to the material. If material is not included in the article’s Creative Commons licence and your intended use is not permitted by statutory regulation or exceeds the permitted use, you will need to obtain permission directly from the copyright holder. To view a copy of this licence, visit http://creativecommons.org/licenses/by/4.0/.
About this article
Cite this article
Cummins, J.S., Berloff, N.G. Vector Ising spin annealer for minimizing Ising Hamiltonians. Commun Phys 8, 225 (2025). https://doi.org/10.1038/s42005-025-02145-7
Received:
Accepted:
Published:
Version of record:
DOI: https://doi.org/10.1038/s42005-025-02145-7
This article is cited by
-
Configuring oscillator Ising machines as P-bit engines
Communications Physics (2026)













