Abstract
Understanding quantum tunneling in many-body systems is crucial for advancing quantum technologies and nanoscale device design. Despite extensive studies of quantum tunneling, the role of interactions in determining directional transport through asymmetric barriers in discrete quantum systems remains unclear. Here we show that noninteracting fermions exhibit symmetric tunneling probabilities regardless of barrier orientation, while inter-particle interactions break this symmetry and create pronounced asymmetric tunneling behavior. We explore the dependence of tunneling behavior on the initial spin configurations of two spin-1/2 fermions: spin-triplet states preserve tunneling symmetry, while spin-singlet states show strong asymmetry. We identify regimes where interactions mediate tunneling through under-barrier resonant trapping and enhance tunneling via many-body resonant tunneling – a phenomenon arising solely from inter-particle interactions and being fundamentally different from traditional single-particle resonant tunneling. Our results may be applied to the design of nanoscale devices with tailored transport properties, such as diodes and memristors.
Similar content being viewed by others
Introduction
Tunneling is a pivotal phenomenon in quantum physics, underpinning an exceptionally broad range of applications. It plays a major role in nuclear fusion1, facilitates ionization under the influence of strong laser fields in atomic and molecular physics2, and explains transport effects in condensed matter physics3. In semiconductor technology, tunneling is exploited to create components such as tunnel diodes4. It is also used in Josephson junctions5, which are key ingredients in superconducting electronics, and in scanning tunneling microscopy6 for atomic-scale surface imaging. Tunneling is crucial in black hole physics, particularly in the context of Hawking radiation7, as well as in theories describing the early universe8.
In particular, tunneling plays a critical role in many-body physics. However, the study of the quantum many-body systems becomes exceedingly difficult in the presence of strong correlations. For better understanding, an effective approach is to study few-body systems, which capture the microscopic mechanisms underlying physical phenomena, such as tunneling dynamics, correlation effects, and quantum entanglement.
There are many theoretical studies on few-body systems, reflecting their importance in simplifying and understanding the complex behaviors of many-body quantum systems. Depending on system parameters, different ground-state configurations of one-dimensional clusters of fermionic atoms were found in ref. 9. Within the fermionization limit, refs. 10,11 explored the phenomena of ferromagnetism and the Mott insulator, respectively. The dynamics of one-dimensional few-body systems was studied in refs. 12,13,14,15,16,17,18,19,20,21,22,23. In particular, for spin-polarized fermionic systems, the overall dynamics depending on the mass ratio and the height of a double well barrier was discussed in ref. 12. The study13 showed the role of degeneracy in a system with strong repulsive interactions, while others14,15,16 focused on the transition from uncorrelated to correlated pair tunneling.
Experimental realizations have demonstrated precise control over systems using ultracold atoms24,25,26,27,28,29, enabling the observation of interaction-induced shifts24,30 and the realization of Mott-insulating states31. In ref. 32, the authors observed pair tunneling in the strongly interacting regime in an experiment simulating the one-dimensional two-particle Hubbard model. Other experiments demonstrated intricate behaviors and correlation effects in few-body systems33,34. In ref. 35, the authors investigated the crossover from few- to many-body physics, providing insights into how interactions scale with particle number. Beyond atomic physics, the ability to control tunneling dynamics has far-reaching implications for next-generation technologies. From quantum computing to low-power electronics, precise manipulation of tunneling opens new frontiers in device engineering. The study of asymmetric tunneling could inspire the design of nanoscale devices where electron transport can be controlled by inter-particle interactions. For example, interaction-driven tunneling could play a pivotal role in next-generation transistor technologies, such as tunnel field-effect transistors36,37 and quantum field-effect transistors38,39, where precisely controlled tunneling could improve device efficiency and enable new functionalities in low-power electronics. In addition, memristors could exploit asymmetric tunneling effects for precise control over resistance through charge transport mechanisms40. Similarly, interaction-driven tunneling asymmetry may enhance the sensitivity of nanoscale sensors that rely on charge transport properties.
In this paper, we theoretically study tunneling dynamics of a few-body fermionic system in the presence of an external asymmetric potential. While it is well established that noninteracting particles in infinite continuous one-dimensional space undergo symmetric tunneling regardless of barrier shape41, Sec. 2542, we extend this understanding by proving that tunneling probability remains symmetric even in finite discrete systems. Significantly, we demonstrate that a conventional two-particle interaction induces the quantum phenomenon of asymmetric tunneling. While advancing our understanding of the left-right tunneling symmetry breaking43, we unexpectedly open a treasure chest of interaction-induced quantum effects such as the nontrivial dependence of tunneling probability on the spin configuration of the initial state, with the triplet (singlet) state yielding symmetric (asymmetric) tunneling; underbarrier resonant trapping (a related effect in bosons was studied in ref. 44); and many-body resonant tunneling. Note that the latter arises exclusively from inter-particle interactions and has nothing in common with the more widely known phenomenon of single-particle resonant tunneling45, which underpins the operation of resonant-tunneling diodes and even has classical analogues46.
Results
Model
In classical physics, a particle cannot penetrate a potential barrier if its energy is lower than the barrier’s potential energy. However, quantum mechanics introduces the concept of tunneling, allowing a particle to pass through the barrier with non-zero probability. Moreover, as shown by Landau41, Sec. 25 (see also ref. 42), in a one-dimensional system, described by the time-independent Schrödinger equation, the probability of tunneling remains the same regardless of which side of the barrier the particle meets first. The theorem, however, is derived for continuous systems in infinite space and its applicability to discrete finite systems requires significant modifications. Moreover, the above also does not work for complex systems. In particular, many-body interactions lead to breaking of the tunneling symmetry43,47,48.
In our theoretical approach, we examine tunneling dynamics in a one-dimensional discrete lattice system, focusing on the evolution generated by the paradigmatic Fermi–Hubbard Hamiltonian
Here σ = ↑, ↓ denotes the spin, and the operator \({\hat{c}}_{j,\sigma }^{{{\dagger}} }({\hat{c}}_{j,\sigma })\) creates (annihilates) a fermion in the state \(| {\sigma }_{j}\left.\right\rangle\) at site j. The number operator is defined as \({\hat{n}}_{j,\sigma }={\hat{c}}_{j,\sigma }^{{{\dagger}} }{\hat{c}}_{j,\sigma }\) and \({\hat{n}}_{j}={\hat{n}}_{j,\uparrow }+{\hat{n}}_{j,\downarrow }\). The first term in Eq. (1) describes the kinetic energy with J representing the hopping amplitude, while the second term accounts for the onsite interaction with strength U and the site-dependent asymmetric external potential \({V}_{j}^{{{{\rm{ex}}}}}\). Namely, \({V}_{j}^{{{{\rm{ex}}}}}\) is defined as
It is worth mentioning that the external potential, hopping, and interaction terms are spin-independent. Expressing the components of operator \(\hat{{{{\bf{S}}}}}=({\hat{S}}_{x},{\hat{S}}_{y},{\hat{S}}_{z})\) in terms of spin-1/2 Pauli matrices σr as \({\hat{S}}_{r}=\frac{1}{2}\mathop{\sum }_{j = 1}^{L}{\hat{c}}_{j\alpha }^{{{\dagger}} }{\sigma }_{\alpha \beta }^{r}{\hat{c}}_{j\beta }\) for r = (x, y, z), one can ensure that the total spin operator \({\hat{S}}^{2}={\hat{S}}_{x}^{2}+{\hat{S}}_{y}^{2}+{\hat{S}}_{z}^{2}\) commutes with \(\hat{{{{\mathcal{H}}}}}\), i.e., \([\hat{{{{\mathcal{H}}}}},{\hat{S}}^{2}]=0\) (here and below we set the Planck constant ℏ = 1). Hence, the system preserves the total spin, as it remains invariant under global SU(2) spin rotations.
The smallest nontrivial system size is L = 4. As shown in Fig. 1, two middle sites experience an asymmetric “triangular” (or a single reduced element of a “sawtooth”) potential with maximum height h. This configuration allows us to create two different initial states, since the Pauli exclusion principle allows for a maximum of two fermions on one side of the barrier. In the first case, see Fig. 1a, two particles with opposite spins (a doublon) are positioned before the steep side of the barrier. Respectively, Fig. 1b demonstrates the second possible initial state with the two particles residing in front of the gradually increasing potential. The quantity under study is the expectation value of the number operator at the site after the barrier.
Schematic representation of two possible initial configurations of the interacting four-site system in the presence of an asymmetric external potential defined in Eq. (2). While tunneling, particles first face (a) the barrier of height h; or (b) a gradual increase of the potential. Gray circles indicate the lattice sites. Dashed lines correspond to the actual shape of the barrier simulated in the numerical calculations, whereas solid lines are used to illustrate the triangular barrier shape.
As previously mentioned, ultracold atom experiments provide a highly controllable platform for realizing this system24,25,26,27,28,29, enabling precise tuning of the tunneling amplitude31,49,50 and interaction strength51,52,53,54.
Noninteracting fermions
We begin by considering noninteracting fermions. In the case U = 0, the many-body problem under study reduces to a single-particle problem. Hence, one can expect the tunneling rate to remain unchanged regardless of the barrier orientation. To show this, we calculate the expectation value of the number operator on the last site \({\hat{n}}_{L}\), i.e., on the fourth site for the L = 4 system. The blue curve and the orange dashed line in Fig. 2 correspond to the case of the system initially prepared in the state illustrated in Fig. 1a and Fig. 1b, respectively. Although the tunneling particles face barrier sides of different height in these configurations, the two curves overlap perfectly. The primary contribution to the observable \(\langle {\hat{n}}_{L}\rangle\) comes from the tunneling of the single particle after doublon dissociation, and not from the tunneling of a doublon as a whole (the corresponding two-body contributions are negligibly small). Note that timescales considered in our simulations are within the experimentally accessible range in cold-atom lattice systems55,56,57.
For the L = 4 system with a noninteracting (U = 0) doublon as an initial state, the expectation value of (a) \(\langle {\hat{n}}_{L}\rangle\), and (b) \(\langle {\hat{n}}_{j}\rangle\) (with values color-coded on a logarithmic scale) are shown as a function of time. The height of the barrier is h = 10J.
The observation of the symmetric tunneling turns out to be an illustration of the theorem, rigorously proven in Supplementary Note 2, whose simplified formulation reads as
For a one-dimensional discrete system of noninteracting particles in the presence of an asymmetric external potential, the probability of finding a particle on the other side of the barrier is independent of the side on which the initial wave function is localized.
Unlike the case considered by Landau [ref. 41, Sec. 25] (see ref. 42), who analyzed one-dimensional time-independent Schrödinger equation for a single particle – which is a second-order ordinary differential equation – our proof involves a finite discrete system, therefore relying on entirely different mathematical techniques. The key idea behind our derivation is that for every possible Feynman quantum path that a particle can take while tunneling in one direction, there exists a corresponding “twin” path for tunneling in the opposite direction that has exactly the same amplitude. Since our theorem considers a single-particle system, its validity is independent of the particle statistics.
Despite the symmetric behavior of \(\langle {\hat{n}}_{L}\rangle\), the full dynamics of the system is nontrivial, as seen when we calculate the expectation value of the number operator as a function of time for each site individually [see Fig. 2b, where the values of \(\langle {\hat{n}}_{j}\rangle\) are color-coded]. We see that although the tunneling probability is symmetric, the dynamics of the entire system is asymmetric even in the absence of interaction.
Symmetry considerations
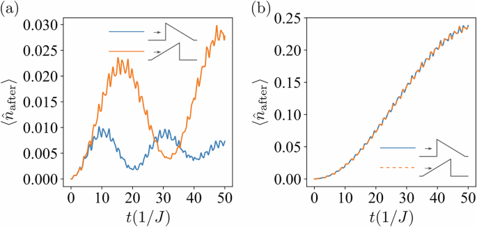
Let us discuss the dynamics of the interacting system. As stated in Introduction, the interaction between particles induces the asymmetric tunneling effect (see also Supplementary Note 1). To demonstrate this, let us consider a L = 6 system with two fermions prepared in the spin singlet initial state, \(| {\Psi }_{{{{\rm{s}}}}}(0)\left.\right\rangle =\frac{1}{\sqrt{2}}(| {\uparrow }_{1}{\downarrow }_{2}\left.\right\rangle -| {\downarrow }_{1}{\uparrow }_{2}\left.\right\rangle)\). One should bear in mind that regardless of the system size, we set the potential to act on the two central sites of the lattice, i.e., on the third and the fourth sites for L = 6. Figure 3a depicts the evolution of \(\langle {\hat{n}}_{{{{\rm{after}}}}}\rangle\), where \({\hat{n}}_{{{{\rm{after}}}}}\) represents the sum of the number operators acting on the sites after the barrier, i.e., \(\langle {\hat{n}}_{{{{\rm{after}}}}}\rangle =\mathop{\sum }_{j = L/2+2}^{L}\langle {\hat{n}}_{j}\rangle\). The clear difference between two curves indicates that the tunneling probability for the spin singlet configuration is asymmetric. Alternatively, we can consider the system initially localized in the spin triplet state, \(| {\Psi }_{{{{\rm{t}}}}}(0)\left.\right\rangle =\frac{1}{\sqrt{2}}(| {\uparrow }_{1}{\downarrow }_{2}\left.\right\rangle +| {\downarrow }_{1}{\uparrow }_{2}\left.\right\rangle)\). Figure 3b demonstrates the evolution of \(\langle {\hat{n}}_{{{{\rm{after}}}}}\rangle\). Since two curves fully align throughout the entire time range, the initial triplet state reveals symmetric tunneling probability, as in the noninteracting system. The system size for this part of the discussion is chosen based on the smallest possible configuration that allows for the positioning of particles in the triplet state. Note that when employing a numerical package for simulating quantum dynamics (see Methods below), one should carefully check whether the numerical method employs a spinor or pseudo-spinor basis in order to correctly attribute the singlet and triplet character to the states. For the reader’s convenience, we define the spin-singlet (spin-triplet) state within the spinor basis.
For the L = 6 system, the expectation value \(\langle {\hat{n}}_{{{{\rm{after}}}}}\rangle\) as a function of time is shown for (a) an initial singlet state, and (b) an initial triplet state. In both cases, the amplitude of the on-site interaction is U = 0.5 J, and the height of the barrier is h = 10 J.
To understand the dynamics described above, one can consider the action of the time evolution operator on the initial state,
Writing down explicitly the first two terms of the expansion, the action on the singlet state reads
We see that the linear term (\(-i\hat{{{{\mathcal{H}}}}}t\)) in Eq. (3) creates states with two particles occupying the same site. Hence, the action of \(\frac{1}{2}{(-i\hat{{{{\mathcal{H}}}}}t)}^{2}\) produces terms involving the on-site interaction with strength U. At the same time, for a triplet initial state, the terms describing doubly occupied sites cancel:
Moreover, such cancellation of the interaction-dependent terms also takes place in the higher-order terms in the expansion (3). Hence, by prohibiting formation of doublons (with \({\hat{S}}^{2}\left\vert {\uparrow }_{1}{\downarrow }_{1}\right\rangle =0\)), a triplet state preserves the symmetry of tunneling probability. This also agrees with the arguments based on the preservation of the total spin in the system, as pointed out in the Model section.
Nontrivial dynamics in asymmetric potentials
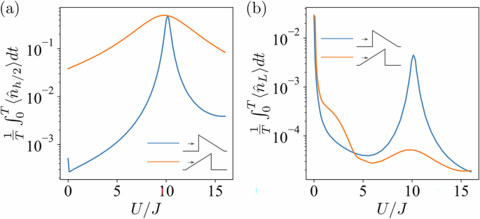
Let j* denote the lattice site j with external potential \({V}_{j}^{{{{\rm{ex}}}}}=h/2\) and \({\hat{n}}_{h/2}\) denote the number operator acting on j*. For h = 20J, the time-averaged (over the interval T = 100/J) expectation values of \({\hat{n}}_{h/2}\) and \({\hat{n}}_{L}\) are depicted in Fig. 4. The initial state is represented by a doublon positioned at the first site. As one can see from Fig. 4a, \(\langle {\hat{n}}_{h/2}\rangle\) is larger in the case of tunneling from the angled side of the barrier. This can be explained by the fact that particles placed on this side require fewer evolution steps to reach the lattice site j*. The results shown in Fig. 4b agree with the discussion of the noninteracting case, since the two \({\hat{n}}_{L}\) curves meet at U = 0. However, as U increases, the time-averaged values of \(\hat{n}\) depend on the initial state. At U ≈ 10J, both \(\langle {\hat{n}}_{L}\rangle\) and \(\langle {\hat{n}}_{h/2}\rangle\) show noticeable growth. The behavior in this parameter regime is discussed below and is largely unaffected by increasing the final time T.
For the L = 4 system, the time-averaged expectation value of (a) \(\langle {\hat{n}}_{h/2}\rangle\), and (b) \(\langle {\hat{n}}_{L}\rangle\) as a function of the interaction amplitude U (in units of J). The initial state is a doublon positioned at the first site. The barrier height is h = 20J and T = 100/J. For U = 10J, the interaction strength coincides with the external potential strength at the site j*.
Underbarrier resonant trapping
In the following, let us fix the interaction strength U to be half of the barrier height h, i.e., U = h/2. Figure 5 illustrates the evolution of the particle density \(\langle {\hat{n}}_{j}\rangle\) for lattice systems with L = 4 (a) and L = 20 (b). As shown, there is a significant increase in \(\langle {\hat{n}}_{h/2}\rangle\), i.e., the occupation of the site j*. We refer to this phenomenon as underbarrier resonant trapping. Note that the populations on the other side of the barrier are extremely small, indicating a suppression of tunneling. This trapping results from the conservation of total energy. The energy of the initial doublon state is U. To conserve this energy, one particle can remain before the barrier with negligible kinetic energy, while the other is trapped at the site j* with the potential energy h/2 = U. It is worth mentioning that the phenomenon of the underbarrier resonant trapping is robust with respect to the increase in the system size. However, larger systems introduce more degrees of freedom and require more evolution steps to reach the site j*. As the result, the increased complexity requires a longer time to observe the underbarrier resonant trapping (see Supplementary Note 3).
For different system sizes, L = 4 (a) and L = 20 (b), the evolution of \(\langle {\hat{n}}_{j}\rangle\) is shown color-coded on a logarithmic scale. The initial state is a doublon positioned at the first site. The interaction strength is U = 10J. The small schematic illustrations above each panel represent the potential barrier with circles indicating the site j* where the potential barrier satisfies the resonant condition h/2 = U.
Highly-asymmetric resonant tunneling
Another effect taking place when U = h/2 is the phenomenon of many-body resonant tunneling. As an example, consider the L = 4 system with three particles: a doublon and a spin-up particle on opposite edges of the one-dimensional lattice, separated by the two-site asymmetric barrier in the center, see Fig. 6a. We expect that the presence of one additional particle after the barrier can cause an enhancement of tunneling. Namely, during the evolution for U = h/2, energy conservation can be achieved not only by trapping the fermion at the site j*, but also by a doublon formation after the barrier. Figure 6b shows the time evolution of \(\langle {\hat{n}}_{L,\downarrow }\rangle\). As one can see, in the case where the doublon faces the angled side of the barrier, the respective density values beyond the barrier are negligibly small. In fact, it is clear from Fig. 6c that the spin-↓ particle barely penetrates the barrier. The behavior changes drastically when the doublon is facing the steep side of the potential. As depicted in Fig. 6b, the values of \(\langle {\hat{n}}_{L,\downarrow }\rangle\) are an order magnitude higher when the spin-↓ fermion tunnels from the steep side. This illustrates that the presence of the additional spin-↑ particle after the barrier does enhance the tunneling [see the order of magnitude of the average tunneling probability in Fig. 6d and the corresponding values in Fig. 4b].
For the L = 4 system with h = 20J, (a) a doublon initially placed on the site before the barrier and a spin-↑ fermion placed after it. We show the expectation values of (b) \(\langle {\hat{n}}_{L,\downarrow }\rangle\), and (c) \(\langle {\hat{n}}_{j,\downarrow }\rangle\) (with values color-coded on a logarithmic scale) as a function of time. d The time-averaged expectation value of \(\langle {\hat{n}}_{L,\downarrow }\rangle\) (with T = 100/J) as a function of the interaction amplitude U. The circle in the schematic barrier in (c) illustration indicates the site j* where the potential is h/2 = U.
The stark contrast in tunneling probabilities shown in Fig. 6b is explained as follows: Due to conservation of energy, the tunneling fermion can exit the barrier only as part of a doublon. It is very easy for such a doublon to form when the tunneling particle faces the sharp edge of the potential because underbarrier trapping brings the tunneling fermion into close proximity to the fermion initially located after the barrier. However, when initially facing the smooth ramp, underbarrier trapping leaves a gap between the tunneling fermion and its potential partner after the barrier. Hence, an extra tunneling step is required for them to approach each other and form the doublon.
In conclusion, we reiterate that the phenomenon of many-body quantum tunneling has no single-particle analogue. In the single-particle case, the resonant tunneling cannot occur for a single barrier, requiring two or more barriers45. In contrast, our many-body resonant tunneling occurs in a single barrier and arises from the interplay between inter-particle interactions and the external potential.
Conclusion
We have investigated tunneling dynamics in a discrete few-fermion system under the influence of an asymmetric external potential. Our analysis shows that, for noninteracting particles, the tunneling probability remains symmetric regardless of the barrier’s orientation. However, the symmetry breaks down in the presence of inter-particle interactions, and the system evolution depends on the initial configuration.
For slightly larger systems that provide more ways to distribute fermions in the initial state, we showed that the tunneling behavior reveals a dependence on the initial spin configurations. The spin-triplet state formed by two spin-1/2 fermions occupying nearest-neighbor sites preserves the symmetry of tunneling probability (aligning with the noninteracting behavior), whereas the spin-singlet state exhibits notable interaction-induced asymmetry in the tunneling probability.
Also, we explored the system for a specific ratio between the interaction strength U and the potential strength \({V}_{j}^{{{{\rm{ex}}}}}\), i.e., \({V}_{j}^{{{{\rm{ex}}}}}=U=h/2\). We identified conditions under which the interaction causes underbarrier resonant trapping and conditions under which interaction enhances tunneling (the highly-asymmetric resonant tunneling regime). These phenomena underscore the complex interplay between interaction strength, barrier height, and initial state configuration in determining tunneling dynamics. Our study highlights the richness and tunable behavior of few-fermion systems in the presence of an asymmetric barrier and points toward possible applications in quantum control where interaction-driven and symmetry-breaking effects are essential.
Methods
All our calculations are performed using the QuSpin package58,59. The latter is an open-source Python package designed for simulating the quantum dynamics of many-body systems. In particular, it provides the exact diagonalization (ED) method and employs a truncated Taylor series expansion to compute the action of the Hamiltonian’s matrix exponential for time evolution. Note that QuSpin utilizes pseudo-spinors.
Data availability
The data that support the findings of this study are available from the corresponding author upon reasonable request.
Code availability
The code is available on GitHub.
References
Balantekin, A. B. & Takigawa, N. Quantum tunneling in nuclear fusion. Rev. Mod. Phys. 70, 77–100 (1998).
Amini, K. et al. Symphony on strong field approximation. Rep. Prog. Phys. 82, 116001 (2019).
Liang, S.-D. Quantum Tunneling and Field Electron Emission Theories. https://www.worldscientific.com/doi/abs/10.1142/8663 (World Scientific, Singapore, 2014).
Guzun, D. et al. Effect of resonant tunneling on exciton dynamics in coupled dot-well nanostructures. J. Appl. Phys. 113, 154304 (2013).
Albiez, M. et al. Direct observation of tunneling and nonlinear self-trapping in a single bosonic Josephson junction. Phys. Rev. Lett. 95, 010402 (2005).
Bai, C. Scanning Tunneling Microscopy and Its Application. Springer Series in Surface Sciences. https://link.springer.com/book/9783540657156 (Springer, Heidelberg, 2000).
Arzano, M., Medved, A. J. M. & Vagenas, E. C. Hawking radiation as tunneling through the quantum horizon. J. High. Energy Phys. 2005, 037 (2005).
Atkatz, D. Quantum cosmology for pedestrians. Am. J. Phys. 62, 619–627 (1994).
Gordillo, M. C. Paramagnetism in few-fermion clusters with repulsive interactions. J. Phys. B:. Mol. Opt. Phys. 51, 155301 (2018).
Lindgren, E. J., Rotureau, J., Forssén, C., Volosniev, A. G. & Zinner, N. T. Fermionization of two-component few-fermion systems in a one-dimensional harmonic trap. N. J. Phys. 16, 063003 (2014).
Gordillo, M. C. & De Soto, F. Fermionization and Mott-insulator formation in fermion trimers loaded in one-dimensional optical lattices. Phys. Rev. A 96, 013614 (2017).
Erdmann, J., Mistakidis, S. I. & Schmelcher, P. Correlated tunneling dynamics of an ultracold Fermi-Fermi mixture confined in a double well. Phys. Rev. A 98, 053614 (2018).
Sowiński, T., Grass, T., Dutta, O. & Lewenstein, M. Few interacting fermions in a one-dimensional harmonic trap. Phys. Rev. A 88, 033607 (2013).
Ishmukhamedov, I. & Ishmukhamedov, A. Tunneling of two interacting atoms from excited states. Phys. E: Low.-dimensional Syst. Nanostruct. 109, 24–29 (2019).
Zöllner, S., Meyer, H.-D. & Schmelcher, P. Few-boson dynamics in double wells: From single-atom to correlated pair tunneling. Phys. Rev. Lett. 100, 040401 (2008).
Zöllner, S., Meyer, H.-D. & Schmelcher, P. Tunneling dynamics of a few bosons in a double well. Phys. Rev. A 78, 013621 (2008).
Nandy, D. K. & Sowiński, T. Sudden quench of harmonically trapped mass-imbalanced fermions. Sci. Rep. 12, 19710 (2022).
Koutentakis, G. M., Mistakidis, S. I. & Schmelcher, P. Interplay of phase separation and itinerant magnetism for correlated few fermions in a double-well. N. J. Phys. 22, 063058 (2020).
Włodzyński, D. & Sowiński, T. Few strongly interacting fermions of different mass driven in the vicinity of a critical point. Phys. Rev. A 104, 053317 (2021).
Moritz, H., Stöferle, T., Günter, K., Köhl, M. & Esslinger, T. Confinement induced molecules in a 1d fermi gas. Phys. Rev. Lett. 94, 210401 (2005).
Rontani, M. Tunneling theory of two interacting atoms in a trap. Phys. Rev. Lett. 108, 115302 (2012).
Brugger, J., Dittel, C. & Buchleitner, A. Two-particle tunneling and the impact of interaction. Phys. Rev. A 111, 033308 (2025).
Becker, J. M., Koutentakis, G. M. & Schmelcher, P. Spin-charge correlations in finite one-dimensional multiband fermi systems. Phys. Rev. Res. 5, 043039 (2023).
Fölling, S. et al. Direct observation of second-order atom tunnelling. Nature 448, 1029–1032 (2007).
Trotzky, S. et al. Time-resolved observation and control of superexchange interactions with ultracold atoms in optical lattices. Science 319, 295–299 (2008).
Spielman, I. B., Phillips, W. D. & Porto, J. V. Mott-insulator transition in a two-dimensional atomic Bose gas. Phys. Rev. Lett. 98, 080404 (2007).
Zwierlein, M. W. et al. Condensation of pairs of fermionic atoms near a Feshbach resonance. Phys. Rev. Lett. 92, 120403 (2004).
Partridge, G. B. et al. Deformation of a trapped Fermi gas with unequal spin populations. Phys. Rev. Lett. 97, 190407 (2006).
Shin, Y., Zwierlein, M. W., Schunck, C. H., Schirotzek, A. & Ketterle, W. Observation of phase separation in a strongly interacting imbalanced Fermi gas. Phys. Rev. Lett. 97, 030401 (2006).
Serwane, F. et al. Deterministic preparation of a tunable few-fermion system. Science 332, 336–338 (2011).
Murmann, S. et al. Two fermions in a double well: Exploring a fundamental building block of the Hubbard model. Phys. Rev. Lett. 114, 080402 (2015).
Mukherjee, S. et al. Observation of pair tunneling and coherent destruction of tunneling in arrays of optical waveguides. Phys. Rev. A 94, 053853 (2016).
Zürn, G. et al. Fermionization of two distinguishable fermions. Phys. Rev. Lett. 108, 075303 (2012).
Zürn, G. et al. Pairing in few-fermion systems with attractive interactions. Phys. Rev. Lett. 111, 175302 (2013).
Wenz, A. N. et al. From few to many: Observing the formation of a Fermi sea one atom at a time. Science 342, 457–460 (2013).
Zhang, W.-H., Li, Z.-C., Guan, Y.-H. & Zhang, Y.-F. Double-gate-all-around tunnel field-effect transistor. Chin. Phys. B 26, 078502 (2017).
Liu, H. et al. A high-performance capacitorless 1T-DRAM based on Z-shaped electron-hole bilayer TFET and SiGe memory window. Phys. Scr. 100, 015023 (2024).
Nadeem, M., Di Bernardo, I., Wang, X., Fuhrer, M. S. & Culcer, D. Overcoming Boltzmann’s tyranny in a transistor via the topological quantum field effect. Nano Lett. 21, 3155–3161 (2021).
Chuang, P. et al. All-electric all-semiconductor spin field-effect transistors. Nat. Nanotech. 10, 35–39 (2015).
Lin, R., Shi, G., Qiao, F., Wang, C. & Wu, S. Research progress and applications of memristor emulator circuits. Microelectron. J. 133, 105702 (2023).
Landau, L. D. & Lifshitz, E. M. Quantum mechanics: non-relativistic theory, vol. 3 (Elsevier, 1981).
Shegelski, M. R. A. & Sample, C. Equal reflection and transmission probabilities. Eur. J. Phys. 41, 035405 (2020).
Lindberg, D. et al. Asymmetric tunneling of Bose-Einstein condensates. J. Phys. B: At. Mol. Opt. Phys. 56 (2023).
Kolovsky, A. R., Link, J. & Wimberger, S. Energetically constrained co-tunneling of cold atoms. N. J. Phys. 14, 075002 (2012).
Razavy, M. Generalization of the Bohr-Sommerfeld quantization rule and its application to quantum tunneling. In Quantum Theory of Tunneling. Chapter 6, pp. 110–119 (World Scientific, Singapore, 2013).
Dragoman, D. & Dragoman, M. Quantum-classical analogies. The frontiers collection (Springer, Berlin, 2010).
Amirkhanov, I. & Zakhariev, B. N. Violation of barrier penetration symmetry for composite particles. Sov. Phys. JETP 22, 764 (1966).
Bondar, D. I., Liu, W.-K. & Ivanov, M. Y. Enhancement and suppression of tunneling by controlling symmetries of a potential barrier. Phys. Rev. A 82, 052112 (2010).
Jotzu, G. et al. Creating state-dependent lattices for ultracold fermions by magnetic gradient modulation. Phys. Rev. Lett. 115, 073002 (2015).
Jiménez-García, K. et al. Peierls substitution in an engineered lattice potential. Phys. Rev. Lett. 108, 225303 (2012).
Chin, C., Grimm, R., Julienne, P. & Tiesinga, E. Feshbach resonances in ultracold gases. Rev. Mod. Phys. 82, 1225–1286 (2010).
Schunck, C. H. et al. Feshbach resonances in fermionic 6Li. Phys. Rev. A 71, 045601 (2005).
Tiecke, T. G. et al. Broad Feshbach resonance in the 6Li−40K mixture. Phys. Rev. Lett. 104, 053202 (2010).
Soave, E. et al. Optically trapped Feshbach molecules of fermionic 161Dy and 40K. Phys. Rev. Res. 5, 033117 (2023).
Parsons, M. F. et al. Site-resolved measurement of the spin-correlation function in the Fermi-Hubbard model. Science 353, 1253–1256 (2016).
Brown, P. T. et al. Bad metallic transport in a cold atom Fermi-Hubbard system. Science 363, 379–382 (2019).
Nichols, M. A. et al. Spin transport in a Mott insulator of ultracold fermions. Science 363, 383–387 (2019).
Weinberg, P. & Bukov, M. QuSpin: a Python package for dynamics and exact diagonalisation of quantum many body systems. Part I: spin chains. Sci Post Phys. 2, 003 (2017).
Weinberg, P. & Bukov, M. QuSpin: a Python package for dynamics and exact diagonalisation of quantum many body systems. Part II: bosons, fermions and higher spins. Sci Post Phys. 7, 020 (2019).
Acknowledgements
We sincerely thank the referees for their valuable comments and suggestions, which have significantly improved the clarity and quality of our manuscript. We are grateful to Prof. Immanuel Bloch and Prof. Artem Volosniev for inspiring discussions. We also thank Stanislava Litvinova for thorough verification of numerical results. This work was supported by the National Science Foundation (NSF) IMPRESS-U Grant No. 2403609. D.R.L. is supported by NASA EPSCoR and/or the Board of Regents Support Fund. A.S. acknowledges support by the National Research Foundation of Ukraine, project No. 0124U004372. D.I.B. is also supported by Army Research Office (ARO) (grant W911NF-23-1-0288; program manager Dr. James Joseph). The views and conclusions contained in this document are those of the authors and should not be interpreted as representing the official policies, either expressed or implied, of ARO, NSF, or the U.S. Government. The U.S. Government is authorized to reproduce and distribute reprints for Government purposes notwithstanding any copyright notation herein.
Author information
Authors and Affiliations
Contributions
E.B. and V.B. contributed equally to this work. They performed simulations, interpreted results, and wrote the first draft of the manuscript. D.R.L. assisted with simulations. A.S. co-supervised the project and analyzed findings. L.K. proved the theorem and secured funding. D.I.B. conceived the initial idea, supervised the project, and secured funding. All authors edited the manuscript.
Corresponding authors
Ethics declarations
Competing interests
The authors declare no competing interests.
Peer review
Peer review information
Communications Physics thanks Georgios Koutentakis and the other, anonymous, reviewer(s) for their contribution to the peer review of this work. A peer review file is available.
Additional information
Publisher’s note Springer Nature remains neutral with regard to jurisdictional claims in published maps and institutional affiliations.
Supplementary information
Rights and permissions
Open Access This article is licensed under a Creative Commons Attribution 4.0 International License, which permits use, sharing, adaptation, distribution and reproduction in any medium or format, as long as you give appropriate credit to the original author(s) and the source, provide a link to the Creative Commons licence, and indicate if changes were made. The images or other third party material in this article are included in the article’s Creative Commons licence, unless indicated otherwise in a credit line to the material. If material is not included in the article’s Creative Commons licence and your intended use is not permitted by statutory regulation or exceeds the permitted use, you will need to obtain permission directly from the copyright holder. To view a copy of this licence, visit http://creativecommons.org/licenses/by/4.0/.
About this article
Cite this article
Bilokon, E., Bilokon, V., Lindberg, D.R. et al. Few-fermion resonant tunneling and underbarrier trapping in asymmetric potentials. Commun Phys 8, 259 (2025). https://doi.org/10.1038/s42005-025-02189-9
Received:
Accepted:
Published:
Version of record:
DOI: https://doi.org/10.1038/s42005-025-02189-9








