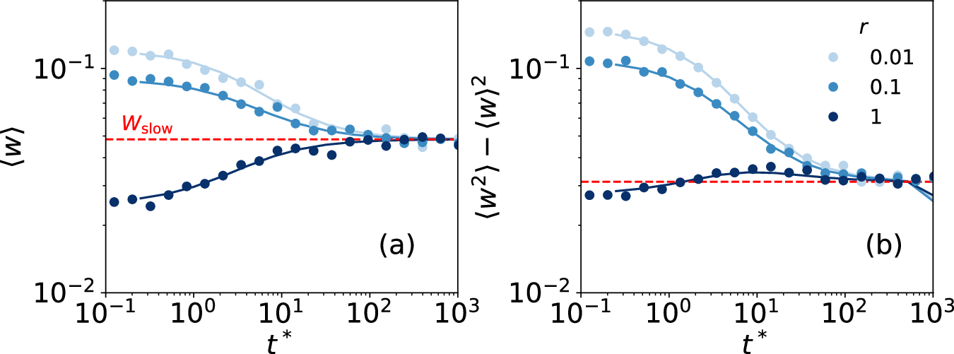
Fig. 2: Mean and variance of work.

Harmonic exploration and resetting potentials are used. Mean (〈W〉) and variance (〈W2〉 − 〈W〉2) as a function of time t* are plotted. Symbols: Numerical simulation. Lines: Analytical results using Eqs. (7) and (8) with f(t) = re−rt and the protocol in Eq. (11). a, b Red horizontal dashed lines indicate asymptotic values of mean work Wslow (14) and variance \({[D{t}_{V}({\lambda }_{V}-{\lambda }_{U})]}^{2}/2\) (see Supplementary Note S2 for more details). The color intensity increases with increasing resetting rate r. Here, we take the diffusion constant D = 0.5, γ = 1, λU = 0.125, λV = 0.25, and simulation time τ = 10t*. Number of resets: 105. a Error bars are one standard error of mean and are smaller than the symbol size.