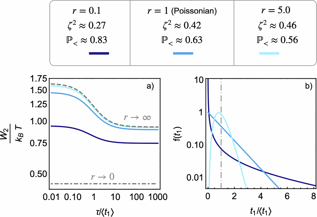
Fig. 6: Gamma-distributed exploration durations.

a Mean work W2 as a function of resetting duration τ. Here the exploration durations t1 are drawn from a Gamma distribution f(t1) with different shape parameter r〈t1〉. The value of r, ζ2 as well as the sub-mean probability mass \({{\mathbb{P}}}_{ < }\) is reported. The dashed line shows the bound when r → ∞ (small fluctuations around mean), and the dot-dashed line r → 0 (small fluctuations around zero). b Corresponding probability density f(t1) for durations of the exploration phase. Vertical grey dashed-dotted line marks t1 = 〈t1〉. Parameters are set to tU = 4, tV = 0.5 and 〈t1〉 = 1.