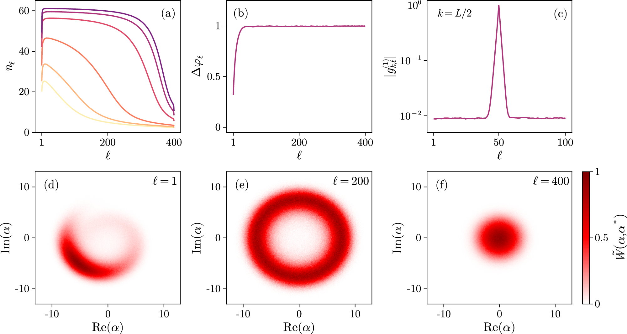
Fig. 3: Chaotic regime: two-stage relaxation in space.
From: Chaotic and quantum dynamics in driven-dissipative bosonic chains

Spatial profiles of equal-time photon statistics in the chaotic NESS. a Photon density nℓ = 〈∣αℓ∣2〉 − 1/2, showing a growing relaxation length scale with increasing drive strength F = 5.5, 6, 6.5, 7, 7.5, 8 (from yellow to purple), and a plateau across most of the chain at stronger drives. b Circular phase variance \(\Delta {\varphi }_{\ell }:= 1-| \langle {{{{\rm{e}}}}}^{{{{\rm{i}}}}{\varphi }_{\ell }}\rangle |\), which rapidly saturates to unity, indicating a uniform phase distribution. c First-order coherence function \(| {g}_{k,\ell }^{(1)}|\) defined in Eq. (7) showing exponential decay of phase correlations on microscopic length scales away from ℓ = k. d–f Normalized local Wigner functions, \({\tilde{W}}_{\ell }(\alpha ,{\alpha }^{* }):= {W}_{\ell }(\alpha ,{\alpha }^{* })/\max [{W}_{\ell }(\alpha ,{\alpha }^{* })]\) for representative sites in a chain of length L = 400. Results are computed by averaging over Ntraj = 102 independent Wigner trajectories and over a time window Δτ = 104 once the steady state is reached. The drive strength is set to F = 7.5 in b–f, and the other parameters are set as in Fig. 2.