Fig. 4: Chaotic regime: hydrodynamic description.
From: Chaotic and quantum dynamics in driven-dissipative bosonic chains

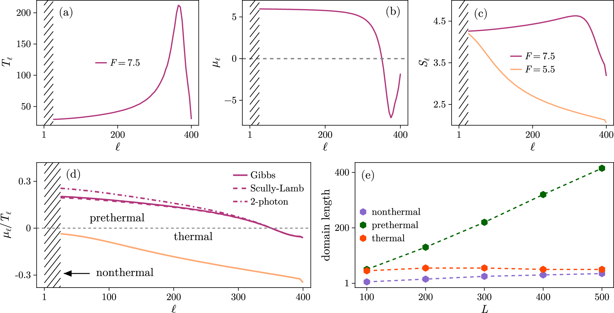
Spatial profile of the local (a) effective temperature Tℓ, b effective chemical potential μℓ, and c entropy density \({S}_{\ell }:= -{{{\rm{Tr}}}}[{\hat{\rho }}_{\ell }\log {\hat{\rho }}_{\ell }]\) across a chain of length L = 400. The results are obtained by mapping the local steady-state physics at site ℓ to the Gibbs ansatz defined in Eq. (8). d Spatial profile of the dimensionless ratio μℓ/Tℓ for the same system. The results are obtained by mapping the local physics at site ℓ to the Gibbs ansatz, to the 2-photon impurity ansatz defined in Eqs. (9) and (10), and to the generalized Scully-Lamb ansatz. Three distinct spatial domains are discussed in the text: 1) nonsymmetric nonthermal domain where all the ansätze fail; 2) prethermal domain where μℓ/Tℓ > 0; 3) thermal domain with μℓ/Tℓ≤0. e Respective sizes of the three domains versus the total chain length L. The dashed lines are guides for the eye. The drive strength is set to F = 7.5 and the other parameters are set as in Fig. 2.