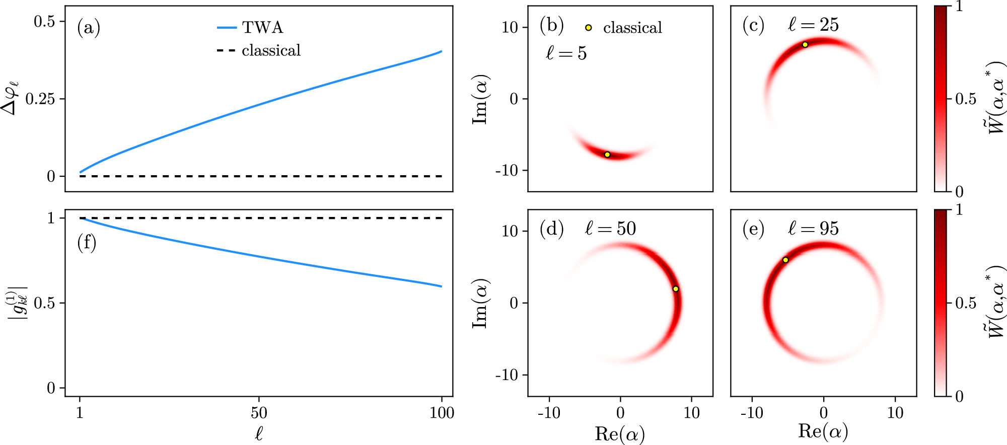
Fig. 6: RNW regime: phase decoherence from quantum fluctuations.
From: Chaotic and quantum dynamics in driven-dissipative bosonic chains

a Phase fluctuations along the chain, quantified by the circular variance \(\Delta {\varphi }_{\ell }:= 1-| \langle {{{{\rm{e}}}}}^{{{{\rm{i}}}}{\varphi }_{\ell }}\rangle |\), plotted as a function of site index ℓ for a chain of length L = 100 in the RNW regime. The solid blue line corresponds to the TWA results, while the dashed black line shows the classical Gross-Pitaevskii solution. b–e Local Wigner functions Wℓ(α, α*) at representative sites throughout the chain. We show the normalized distribution \(\tilde{W}(\alpha ,{\alpha }^{* }):= {W}_{\ell }(\alpha ,{\alpha }^{* })/\max [{W}_{\ell }(\alpha ,{\alpha }^{* })]\). Yellow markers denote the classical Gross-Pitaevskii solutions. f Same as in a, but for the first-order coherence function \(| {g}_{k\ell }^{(1)}|\) with k = 1. Results are computed by averaging over Ntraj = 5 × 103 independent Wigner trajectories and over a time window Δτ = 103 once the steady state is reached. The drive amplitude is fixed to F = 12.5. The other parameters are set as in Fig. 2.