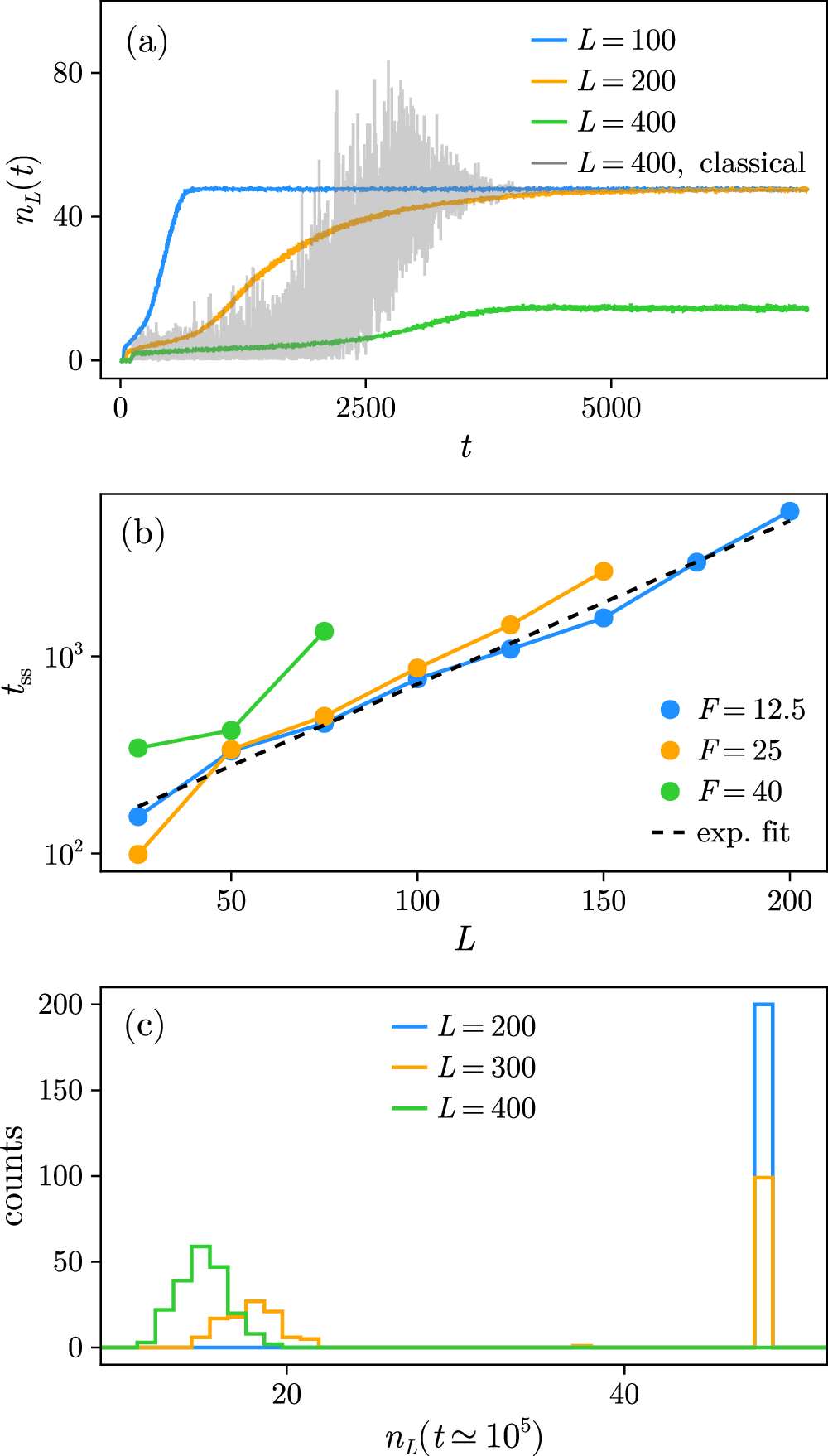
Fig. 7: RNW regime: destabilization by quantum fluctuations.
From: Chaotic and quantum dynamics in driven-dissipative bosonic chains

a Transient dynamics of the photon number at the last site of the chain, nL(t), plotted as a function of time t for system sizes L = 100, 200, and 400. The gray line is the classical Gross-Pitaevskii solution for L = 400. b Characteristic timescale tss to reach the RNW steady state as a function of system size L, for three different drive strengths. Each data series is truncated once the RNW regime fails to emerge within the accessible simulation time. The black dashed line is an exponential fit to the data for F = 12.5. c Evidence of metastability near the transition between the RNW and chaotic regimes. The photon number at the last site, \({n}_{L}({t}_{\max }\simeq 1{0}^{5})\), is computed from Ntraj = 200 Wigner trajectories and time-averaged over a window Δt = 103. The resulting histogram is shown for L = 200, 300, and 400. In a and c, the drive amplitude is fixed at F = 12.5. The other parameters are set as in Fig. 2.