Fig. 1: Renormalization of the Quantum Rabi Model.
From: Renormalization and low-energy effective models in cavity and circuit quantum electrodynamics

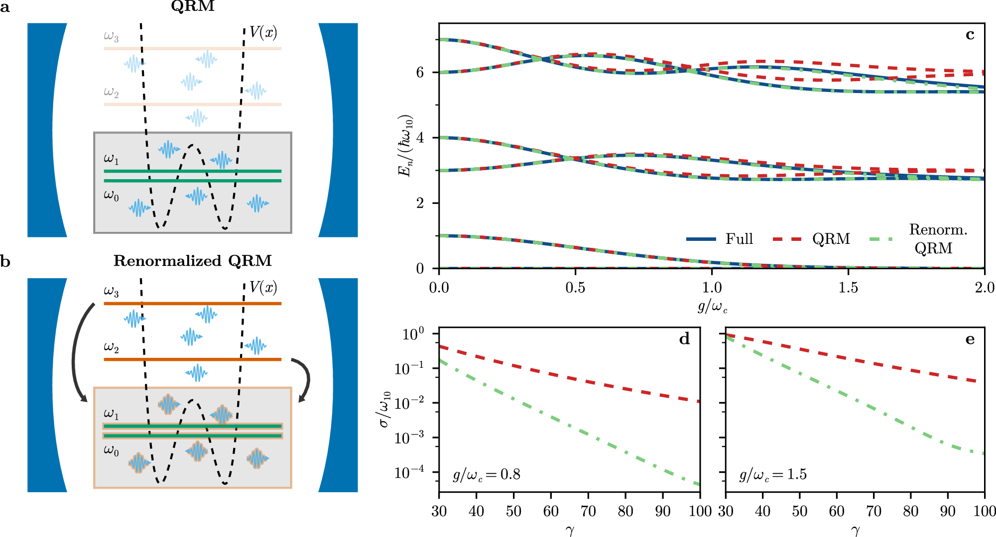
We consider a single electron in a one-dimensional double-well potential, interacting with a cavity mode. a Standard procedure for obtaining the QRM from the full Hamiltonian, which consists of simply projecting in the low-energy subspace of the atomic eigenstates. b Renormalization of the QRM, which takes into account the interaction of photons with the higher-energy atomic levels. The renormalization procedure leads to the presence of new terms in the effective low-energy Hamiltonian, providing more accurate results, still treating the system as a two-level system. c Comparison of the eigenvalues in the full model (blue solid), the standard QRM (red dashed), and the RQRM (green dash-dotted). The RQRM provides more accurate results, even for strong coupling strengths. Parameters used: m = 1, γ = 60, and ωc = 3ω10. Mean square error of the eigenvalues of the first 5 excited states with respect to the full model, as a function of the anharmonicity parameter γ, for g/ωc = 0.8 (d) and g/ωc = 1.5 (e).