Abstract
Recently, the hybrid skin-topological effect (HSTE), in which the topological modes localize at corners, has attracted significant research interest. While most relevant studies are carried out in ordered systems, the interplay between disorder and the HSTE remains unexplored. Here we investigate a type of HSTE induced by the topological Anderson transition, termed as the hybrid skin-topological-Anderson effect (HSTAE). The HSTAE modes maintain localization characteristics as the model size increases and the localized position can be modulated by the on-site gain/loss. Furthermore, our analysis reveals that disorder not only extends the range of topologically non-trivial phases, but also causes the deformation of gapless phase regions. This work explores the interplay between topological Anderson insulators and non-Hermitian effects, opening up potential applications in non-Hermitian topological devices.
Similar content being viewed by others
Introduction
Non-Hermitian physics exhibits distinctive capabilities in modeling non-conservative systems1,2,3,4,5,6,7,8. Among its unique phenomena, the most notable is the non-Hermitian skin effect (NHSE), which breaks the traditional bulk-edge correspondence and exhibits skin modes9,10,11,12,13,14. In subsequent studies, researchers have found that the interplay between the NHSE and topological properties can lead to a second-order NHSE, called the hybrid skin-topological effect (HSTE), in which the topological modes localize at specific corners while the bulk modes remain extended15,16,17,18,19,20,21,22,23,24,25,26,27,28,29. It can be understood that the NHSE only acts on the first-order topological modes without changing the intrinsic topology. The physical origin of hybrid skin-topological modes arises from the point gap of particular types of lattice configuration, i.e., the topological edge mode spectrum encircles a point gap with open boundary conditions (OBCs) in one direction and periodic boundary conditions (PBCs) in another. It indicates that topological edge modes will collapse into corner modes when both directions are with OBCs. The HSTE is initially found in lattices with non-reciprocal coupling15, and later in lattices with dissipation16,17,18 and non-Euclidean geometry19. In addition, theoretical advances on the HSTE include higher-order NHSE20, intrinsic HSTE through PT engineering21, and non-Hermitian chiral skin effects22. Relevant experimental implementations of the HSTE have been successfully demonstrated in multiple platforms, such as electronic circuits23,24,25,26, photonic crystals27, and active matters28, offering potential applications in multi-body physics, robust energy transfer, and wave-matter interactions.
On the other hand, disorder is a significant topic in physics research30,31,32. In 1958, the theory of Anderson localization was proposed, which suggests that wave functions exhibit localization characteristics under sufficiently strong disorder33. The advances in topological insulators (TIs) have reignited research interest in the role of disorder, since the competition between Anderson localization and topological effects leads to rich physical phase transition mechanisms34,35,36,37,38. Intuitively, disorder leads to the failure of topological properties of the system, while recent studies have revealed that disorder can drive the system from a trivial phase into a topologically non-trivial phase and induce topological Anderson insulators (TAIs)39,40,41,42,43,44,45. This phenomenon of topological Anderson transition has recently been experimentally demonstrated in laser-written waveguide arrays41, cold atom lattices42 and electric circuits45. Recently, researchers have become interested in the interplay of disorder and NHSE46,47,48, which opens a compelling research gap in exploring the interplay between disorder and the HSTE.
Here, we study the interplay between disorder and the HSTE and discover a type of HSTE induced by the topological Anderson transition, termed as the hybrid skin-topological-Anderson effect (HSTAE). By employing the non-Hermitian Haldane model, we compute the topological phase diagrams using the local Chern number. In the disorder-induced topologically non-trivial phases, there are HSTAE modes near zero energy, which are located around specific corners determined by the artificial dissipation configuration. By tracking the evolution of these topological eigenstates under on-site gain/loss modulation, we demonstrate the competition between the HATAE and the Anderson localization. Furthermore, the precise phase boundary is obtained from the geometric definition of the Chern number, which reveals deformation of gapless phases induced by disorder. Our research provides insights into the interplay between TAIs and the HSTE.
Results
Local Chern number in non-Hermitian Haldane model with disorder
We start with the Haldane model, which describes spinless fermions hopping on a two-dimensional honeycomb lattice, characterized by nearest coupling \({t}_{1}\) and next-nearest-neighbor coupling t2 eiφ. In the non-Hermitian Haldane model, as illustrated in Fig. 1a, gain and loss are introduced for the two sites in each cell, whose complex on-site energy can be expressed as \(m+i\gamma\) and −m−iγ, respectively. The Hamiltonian \({H}_{0}\) is given by
where \({c}_{i}^{{{\dagger}} }\) and \({c}_{i}\) are the creation and annihilation operators at the ith site. In this study, we always set \({t}_{1}=1\), \({t}_{2}=0.2\) and \(\varphi =\pi /2\). Disorder is introduced into the model by varying the on-site mass at each lattice site, described by
where \({v}_{i}\) is a random variable drawn from \({v}_{i}\in [-W/2,W/2]\) and \(W\) is the disorder strength. The topological properties of the ordered model can be described by the Chern number and the previous work has provided analytical solutions for the topological phase diagram of the non-Hermitian Haldane model17, as demonstrated by the black lines in Fig. 1b. The Chern number is typically obtained from the integral of the Berry curvature over the first Brillouin zone, but in systems with disorder, the translational symmetry of the lattice is broken, preventing the Fourier transform of real-space lattice into the momentum space Brillouin zone. Therefore, the local Chern number is used to calculate the topological invariants of finite-size models in real space49,50,51,52. The local Chern number is defined by the Kitaev formula and can be written as
where \(P={\sum }_{f\le {f}_{c}}\left|{u}_{R}\right\rangle \left\langle \left.{u}_{L}\right|\right.\) is the projection operator summing all eigenstates below a cutoff frequency fc, |uR〉 and 〈uL| represent the right and left eigenstates of the non-Hermitian Hamiltonian, satisfying H|uR〉 = E|uR〉 and H†|uL〉 = E*|uL〉, Pjk = 〈xj|P|xk〉 describes the spatial relation between sites \({x}_{j}\) and \({x}_{k}\). As shown in Fig. 1a, we divide the bulk region of the model into three parts, abbreviated as R1, R2 and R3 (colored red, yellow, and blue), respectively. The lattice points in these regions serve as the computational domains for the local Chern number. A detailed discussion of the local Chern number calculation is provided in the Methods.
a Schematic of the non-Hermitian Haldane model and the computational domains for the local Chern number. The red and blue circles denote sites with opposite on-site energy terms \(m+i\gamma\) and −m−iγ. The bulk region is divided into three parts, abbreviated as R1, R2, and R3 (colored red, yellow, and blue), respectively. The lattice points in these regions serve as the computational domains for the local Chern number. b Mechanism for the HSTAE. The color bar, spanning from blue to red, represents the local Chern number, which ranges from 0 to 1. The black line represents the analytical phase boundary. Region Ⅰ, Ⅱ and Ⅲ represent the topologically non-trivial phase, the gapless phase and the topologically trivial phase, respectively. c Topological phase diagram evolution with disorder strength. The yellow star represents the on-site energy parameter with \(m=1.05\) and \(\gamma =+0.35\). The black dashed line represents the analytical phase boundary with \(W=0\). d The local Chern number evolution of the yellow star in (c) with varying disorder strength. The colored points represent the real part of the local Chern number and the color bar is the same as that in (b). The crosses represent the imaginary part of the local Chern number. The region with a gradient red (blue) background represents the topologically non-trivial (trivial or gapless) phase.
Hybrid skin-topological-Anderson effect
Initially, we calculate the topological phase diagram for the non-Hermitian Haldane model without disorder (\(W=0\)) using the local Chern Number, depicted in the colored section of Fig. 1b. Our results align well with the analytical solutions17, delineating three regions: region Ⅰ (\(\nu =1\)), region Ⅱ (gapless phase, where \(\nu\) is ill-defined), and region Ⅲ (\(\nu =0\)). The topologically non-trivial and trivial phases can be identified by the real part of the local Chern number, while the gapless phase can be distinguished by the imaginary part (see Methods). Our idea is illustrated by the parameter evolution process in Fig. 1b. Firstly, the introduction of gain and loss into the Haldane model induces the HSTE (from step 1 to step 2). The topological chiral edge modes near zero energy transform into hybrid skin-topological modes, which localize at specific corners. Then we increase the on-site mass term \(m\) to break the parity symmetry (P-symmetry), resulting in a gradual loss of topological properties (from step 2 to step 3). The hybrid skin-topological modes transform into topologically trivial modes. Then, the introduction of disorder weakens the effects of P-symmetry breaking (from step 3 to step 4). The HSTAE modes appear near zero energy, which are located around the same specific corners as in the HSTE.
To illustrate our idea more clearly, we plot the evolution of the topological phase diagram with increasing disorder strength as shown in Fig. 1c. The topologically non-trivial phase (red region) expands when the disorder strength \(W\) ranges from 0 to 4, exceeding the analytical boundary in the ordered case, and gradually disappears for \(W > 4\). To detail this process, we select a fixed point on the phase diagram with \(m=1.05\) and \(\gamma =+0.35\) (marked by the yellow stars in Fig. 1c) and calculate the changes in the local Chern number with disorder strength, as shown in Fig. 1d. The system belongs to the topologically non-trivial phase with the sufficient large \({{\mathrm{Re}}}(\nu )\) and the sufficient small \({{{\rm{Im}}}}(\nu )\), shown by the red gradient region. So far, we have confirmed the occurrence of the topological Anderson transition through the expanding of the topologically non-trivial phase. Then, we focus on the eigenstates near zero energy to further demonstrate the impact of disorder. Under ordered conditions (\(W=0\)), the system is topologically trivial, which means there are no topological modes. While in the presence of particular disorder strength, the system recovers the topological properties and the zero-energy eigenstate transforms into the HSTAE mode, as shown in Fig. 2a, b, e, f. Compared to typical Anderson localization, this disorder-induced localization mechanism supports predictable localized position due to the interplay between TAIs and the HSTE (see Supplementary Note 1 for more details).
a,e Energy spectrums of non-Hermitian Haldane model in the sample with rhombic (\(m=1.05\), \(\gamma =+0.35\) and \(W=4\)) and hexagonal shapes (\(m=1.05\), \(\gamma =+0.35\) and \(W=3.5\)). Different colors of eigenenergy are used to distinguish two bands. The highlighted points correspond to the complex energy of eigenstate shown in (b) and (f). b, f The distribution of the HSTAE modes. The solid (dashed) arrows represent the chiral edge current along (opposite to) the localized direction determined by the HSTAE. The color bar represents the amplitude of eigenstates, which is normalized by \({{\mathrm{ln}}}({|u|}/|{u}_{\max }|)\) where \(|{u}_{\max }|\) represents the maximum amplitude in \({|u|}\). c, g The average distribution of HSTAE modes from 200 samples in the sample with rhombic (800 sites) and hexagonal shapes (600 sites). The amplitude of the wave function is used as the averaging element. d,h Inverse participation ratio (IPR) of HSTAE modes (red solid line) and bulk modes (blue solid line) for different sample sizes. \(W\) represents the disorder strength. The parameter configuration for bulk mode calculation is \(m=1.05\), \(\gamma =+0.35\) and \(W=0\). The parameter configuration for HSTAE mode calculation is \(m=1.05\), \(\gamma =+0.35\) and \(W=4\) (in rhombic samples) and \(m=1.05\), \(\gamma =+0.35\) and \(W=3.5\) (in hexagonal samples). The gray dashed lines represent fitting curve for the IPR of bulk modes, with the function given on the left. In the statistical analysis, the L/2th eigenstate is considered as the HSTAE mode (or bulk mode) in the presence (or absence) of disorder.
To demonstrate the localization characteristic of the HSTAE mode, we calculate the rhombic sample with 200 different disorder configurations and draw the average distribution of zero-energy eigenstates in Fig. 2c, which is given by \({\sum }_{n=1}^{200}\left|{u}_{n}\right|/200\). The average distribution indicates a clear tendency for these eigenstates to localize around the specific corner determined by the HSTAE. We further calculate the inverse participation ratio (IPR) of the HSTAE modes for different sample sizes and compare these results to the bulk modes near zero energy in the absence of disorder. For an eigenstate \(u\), the IPR is defined as
where i denotes the lattice site index. For bulk modes, the IPR is inversely proportional to the sample size, expressed as \({{{\rm{IPR}}}} \sim 1{{{\rm{ / }}}}L\), where \(L\) is the number of lattice sites. As the sample size increases, the IPR of bulk modes approaches zero. Conversely, for localized modes, the IPR remains at a finite value reflecting that the wave function does not spread to additional lattice sites53. As depicted in Fig. 2d, the IPR of bulk modes (blue line) almost follows the inverse function trend, while the average IPR of HSTAE modes (red line) consistently remains above \({10}^{-2}\). This analysis confirms the localization characteristics of HSTAE modes. Additional analysis for hexagonal samples is provided in Fig. 2g, h, which also corroborates our idea.
Competition between HSTAE and Anderson localization
As mentioned above, disorder can weaken the effects of P-symmetry breaking and recovers the topological properties of the system. Thus, the artificial dissipation configurations transform the chiral edge modes into corner modes. However, disorder is also thought to be the cause of Anderson localization, in which the wave functions are localized randomly around several sites forming the localized hot spots38. Such localized hot spots can even lead to suboptimal topological eigenstate distributions. It is natural to ask whether there is a competition between topological effects and the Anderson localization, especially for these two different localization manners. To study this, we modulate the dissipation strength and then compare the energy spectra and representative topological eigenstates, as shown in Fig. 3b–f. For the Hermitian case (\(\gamma =0\)) in Fig. 3d, the sample is a TAI in which the topological edge modes and localized hot spots simultaneously occur, indicating a competition between topological effects and the Anderson localization. With the increasing dissipation strength \(|\gamma |\), the HSTAE becomes dominating and localized hot spots gradually disappear as shown in Fig. 3b, c, e, f. The results suggest that the dissipation can transforms suboptimal TAI chiral edge modes into HSTAE corner modes.
a,g The phase diagrams and evolution paths in topological Anderson insulators (TAIs with \(W=4\)) and topological insulators (TIs with \(W=0\)). The black line represents the phase boundary in the ordered case. The color bar, spanning from blue to red, represents the local Chern number, which ranges from 0 to 1. bf The energy spectrums of the rhombic TAI sample (\(m=1.05\), \(W=4\) and \(\gamma =-0.350,-0.175,0,+0.175,+0.350\)) are presented in the first row. The eigenvalues of representative topological eigenstates are indicated by red arrows. The distributions of topological eigenstates are presented in the second row. h–l The energy spectrums of the rhombic TI sample (\(m=0.80\), \(W=0\) and \(\gamma =-0.350,-0.087,0,+0.087,+0.350\)) are presented in the first row. The eigenvalues of topological eigenstates are indicated by cyan arrows. The mode distributions are presented in the second row. The solid (dashed) arrows represent the chiral edge current along (opposite to) the localized direction determined by the HSTAE. The stars denote the centers of mass. The cyan lines represent the movement trajectories of the center of mass with continuous adjustment in dissipation. The color bar range is set between 0 and \(-2\) in order to facilitate a more detailed observation of the eigenstates.
Moreover, to assess the dissipation-driven modulation of localization, we also track the center of masses of the topological eigenstates indicated by the cyan trajectories. The method of tracking eigenstates can be seen in the Supplementary Note 2. The center of mass \(({x}_{m},{y}_{m})\) of an eigenstate \(u\) is defined as
where i denotes the index of the lattice site, \({x}_{i}\) and \({y}_{i}\) representing the coordinates of the ith site in the x and y directions, respectively. When \(|\gamma |\le 0.175\), as shown in Fig. 3c–e, the center of mass follows an approximately linear trajectory. For \(|\gamma | > 0.175\), as illustrated in Fig. 3b, f, the HSTAE modes demonstrate a similar distribution of PT-asymmetric corner modes, causing a shift in the center of mass towards one side. This behavior resembles previously documented PT phase transitions17. For comparison, we did the same calculations for the ordinary TIs as shown in Fig. 3h–l. The trajectories display consistent movement patterns with TAI cases. Such consistency suggests that evolution paths in phase diagrams, shown in Fig. 3a, g, have similar topological properties. In other words, we further show that the introduction of disorder makes the parameters outside the initial topologically non-trivial phase also have topological properties.
Deformation of gapless phase induced by disorder
Besides the topologically non-trivial phase, the gapless phase is also an interesting feature of HSTAE. It can be understood from the geometric definition of the Chern number17, i.e., the first Brillouin zone of the non-Hermitian Haldane model can be mapped into a surface \({\mathbb{S}}\) in the 3D parameter space consisting of the Pauli matrices \({\sigma }_{x,y,z}\) and the relationship between the surface \({\mathbb{S}}\) and the degenerate point (circle) gives the system’s topological property. In the momentum space, the Hamiltonian \(H({{{\bf{k}}}})\) is given by
where \(I\) is the identity matrix, \({{{\bf{k}}}}\) is the wave vector and lattice vectors \({{{{\boldsymbol{c}}}}}_{{{{\boldsymbol{1}}}},{{{\boldsymbol{2}}}},{{{\boldsymbol{3}}}}}\) are \(\left(\sqrt{3},0\right)\), \(\left(-\sqrt{3}/2,-3/2\right)\) and \(\left(-\sqrt{3}/2,3/2\right)\), respectively. The Hamiltonian \({H}_{k}\) degenerates when \({h}_{1}^{2}+{h}_{2}^{2}+{h}_{3}^{2}=0\). In the Hermitian case (\({h}_{1},{h}_{2},{h}_{3}{\mathbb{\in }}{\mathbb{R}}\)), if the surface \({\mathbb{S}}\) encloses the point (\({h}_{1}={h}_{2}={h}_{3}=0\)), the system is topologically non-trivial. In the non-Hermitian case (\({h}_{1},{h}_{2}{\mathbb{\in }}{\mathbb{R}}{\mathbb{,}} \; {h}_{3}{\mathbb{\in }}{\mathbb{C}}\)), the degeneracy condition turns into a circle (\({h}_{1}^{2}+{h}_{2}^{2}={{Im}\left({h}_{3}\right)}^{2}\), \({{\mathrm{Re}}}\left({h}_{3}\right)=0\)). The topology of the system is determined by whether the surface \({\mathbb{S}}\) encloses the circle, while the gapless phase corresponds to the case in which the surface \({\mathbb{S}}\) intersects the circle. To conduct such analysis in our discussion, we use self-energy \(\sum (\omega )\) to represent the influence of disorder in the momentum space54,55,56,57. In the self-consistent Born approximation, the self-energy for on-site random disorder is given by
where \(\omega\) is the energy, \(S=3\sqrt{3}{a}^{2}/2\) is the size of a unit cell and \(a\) is the distance between nearest sites. The self-energy \(\sum \left(\omega \right)\) is a \(2\times 2\) matrix, which can be represented in the form \(\sum \left(\omega \right)={\sum }_{0}I+{\sum }_{x}{\sigma }_{x}+{\sum }_{y}{\sigma }_{y}+{\sum }_{z}{\sigma }_{z}\). Here we always set \(\omega =0\) in order to analyze the system property near zero energy. Through numerical integration, we find that the self-energy mainly contributes to \({\sum }_{x}\) and \({\sum }_{z}\), which are both complex numbers for most cases in the phase diagram. Then we take self-energy into account in the above analysis. In the disordered non-Hermitian case (\({h}_{2}{\mathbb{\in }}{\mathbb{R}}{\mathbb{,}}{h}_{1},{h}_{3}{\mathbb{\in }}{\mathbb{C}}\)), the degeneracy condition becomes a sloping circle in the parameter space, given by \({{\mathrm{Re}}}\left({h}_{1}\right){Im}\left({h}_{1}\right)+{{\mathrm{Re}}}\left({h}_{3}\right){Im}\left({h}_{3}\right)=0\) and \({h}_{2}^{2}+{{{\mathrm{Re}}}({h}_{1})}^{2}+{{{\mathrm{Re}}}({h}_{3})}^{2}={{{Im}\left({h}_{1}\right)}^{2}+{Im}\left({h}_{3}\right)}^{2}\). Therefore, we can calculate the phase boundary of the HSTAE as shown in Fig. 4a–d. These results are consistent with those from the local Chern number. \({{\mathrm{Re}}}({\sum }_{z})\) has an opposite small value relative to the on-site mass \(m\), proving that disorder indeed weakens the P-symmetry breaking and leading to the expansion of topologically non-trivial phase. Due to \({Im}\left({\sum }_{x}\right)\), the sloping circle has more chances intersecting the surface \({\mathbb{S}}\), which leads to the deformation of the gapless phase. To clearly demonstrate this mechanism, Fig. 4f displays the 3D parameter space for the case on the phase boundary (\(m=1.64\), \(W=4\) and \(\gamma =0.56\)). The surface \({\mathbb{S}}\) is tangent to the sloping circle. Moreover, we calculate the energy spectrum near the yellow star in Fig. 4c to elucidate the effectiveness of the phase boundary. Figure 4e shows the case above the yellow star (\(m=1.75\), \(W=4\) and \(\gamma =0.56\)), which belongs to the topologically trivial phase and exhibits an imaginary gap in the spectrum. Figure 4(g) shows the case beneath the yellow star (\(m=1.55\), \(W=4\) and \(\gamma =0.56\)), which belongs to the gapless phase and has no gap in the spectrum.
a,c The phase boundary and the real part of local Chern number phase diagram with disorder strength W = 2, 4. The color bar represents the real part of local Chern number. b,d The phase boundary and the imaginary part of local Chern number phase diagram with disorder strength W = 2, 4. The color bar represents the imaginary part of local Chern number. The black line represents the phase boundary. Region Ⅰ, Ⅱ and Ⅲ represent the topologically non-trivial phase, the gapless phase and the topologically trivial phase, respectively. e Energy spectrums of non-Hermitian Haldane model in the sample with hexagonal shapes (\(m=1.75\), \(W=4\) and \(\gamma =0.56\)). The system has an imaginary gap and belongs to the topologically trivial phase. f 3D parameter space for the case exactly on the phase boundary (\(m=1.64\), \(W=4\) and \(\gamma =0.56\)). g Energy spectrums of non-Hermitian Haldane model in the sample with hexagonal shapes (\(m=1.55\), \(W=4\) and \(\gamma =0.56\)). The system has no gap and belongs to the gapless phase.
Conclusion
In this study, we investigate the effects of the interaction between TAIs and the HSTE, which we refer to as the HSTAE. In the TAI, disorder is introduced into the P-symmetry-broken Haldane model, transitioning the system from a topologically trivial phase to a non-trivial phase, and resulting in the emergence of topological edge modes. In the HSTE, specially designed non-Hermitian configurations localize the topological edge modes at specific corners. By combining these two effects, we calculate the topological phase diagrams associated with disorder and dissipation strength, and identify the HSTAE corner modes and the deformation of the gapless phase. Through the calculation of the IPR and its relationship with sample size, we confirm that these HSTAE modes are localized states. Based on this physical mechanism, we point out that introducing specific dissipation configurations into a TAI sample can localize the chiral edge modes to particular corners. The dissipation-driven modulation of localization promises potential applications in non-Hermitian topological devices.
Methods
Additional explanation for the calculation of local Chern number
For the equation below:
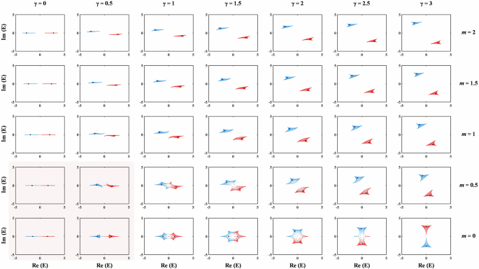
where \(P={\sum }_{f\le {fc}}\left|{u}_{R}\right\rangle \left\langle \left.{u}_{L}\right|\right.\) is the projection operator summing all eigenstates below a cutoff frequency \({f}_{c}\). In this process, the order of eigenstates is crucial. They must be divided into two groups corresponding to the two bands in the system. In the Hermitian Haldane model, eigenstates can be easily ordered by the real part of their eigenvalues, and integrating of P over the lower band yields the system’s local Chern number. However, for the non-Hermitian Haldane model, the ordering becomes more complex. First, for topologically non-trivial regions (\(\gamma\) is small), the energy spectra in these regions are closer to those of the Hermitian cases. The local Chern number calculated from eigenstates ordering by the real part of eigenenergy yields expected results (\({{{\rm{\nu }}}}=1\)). For topologically trivial regions in the phase diagram, e.g., at \(m=0\) and \(\gamma =3\), the system experiences the gapless phase with exceptional points17, forming an imaginary gap in the spectrum. The local Chern number calculated from eigenstates ordering by the real part is wrong. Thus, it is necessary to sort the eigenstates by the imaginary part under certain parameters. We solve this problem using data clustering, a general approach for dividing eigenstates into two groups.
To illustrate the ordering result, we color the first half of the ordered eigenstates in blue and the other half in red, as shown in Fig. 5. This ordering rule works well for topologically non-trivial regions, as shown in the pink background section of Fig. 6. For gapless regions, where there is no bandgap, the local Chern number is ill-defined and always has an imaginary part. For topologically trivial regions, the ordering results and the Chern number also match our expectations. Given the complexity of eigenstate order in the non-Hermitian Haldane model, we aim to establish a physically justified ordering rule for sorting eigenstates in the future research.
By data clustering, we divide eigenstates into two groups. The first half of the ordered eigenstates is colored in blue and the other half is colored in red. The black points represent the cluster centroids. The pink background represents the topologically non-trivial region.
The real part of the Chern number is colored in red and the imaginary part is colored in black. The pink background represents the topologically non-trivial region.
Following the methodology mentioned above, we calculated the phase diagram for the non-Hermitian Haldane model. The parameters m and γ varied within the ranges [−2, 2] and [−3.5, 3.5] respectively, with 101 points sampled for each. To reduce the randomness from individual disorder configuration, we consider 80 different disorder configurations and average the local Chern numbers out.
Physical meaning of the complex local Chern number
The topological property of the non-Hermitian Haldane model is determined by the Chern number. However, an additional gapless phase is introduced by the artificial dissipation configuration, compared to the Hermitian case. For the gapless phase, the Chern number is ill-defined because there is no gap. Therefore, when we calculate the local Chern number for the gapless phase, the result is a complex number instead of 0 or 1. This means that the local Chern number fails to indicate whether the system is topologically non-trivial in the traditional sense. Our calculation shows that regions with large \({{{\rm{Im}}}}(\nu )\) in the phase diagram usually correspond to the gapless phase. This provides a way to identify the gapless phase. To prove this, we consider three representative points (\(W={{\mathrm{0,1.5,4}}}\)) in Fig. 1d and plot them in a detailed version, as shown in Fig. 7a, b. For the first point (\(W=0\)), the local Chern number has a small real part and small imaginary part. Figure 7c shows that the degenerate circle is outside the surface \({\mathbb{S}}\), indicating that the first point belongs to the topologically trivial phase. For the second point (\(W=1.5\)), the local Chern number has a small real part and large imaginary part. Figure 7d shows that the degenerate circle intersects the surface \({\mathbb{S}}\), indicating that the second point belongs to the gapless phase. For the third point (\(W=4\)), the local Chern number has a large real part and small imaginary part. Figure 7e shows that the degenerate circle is inside the surface \({\mathbb{S}}\), indicating that the third point belongs to the topologically non-trivial phase. Consequently, we can identify the topological property of the non-Hermitian Haldane model using \({{\mathrm{Re}}}(\nu )\) and \({{{\rm{Im}}}}(\nu )\).
a The real part of local Chern number evolution of the yellow star in Fig. 1c with varying disorder strength. b The imaginary part of local Chern number evolution of the yellow star in Fig. 1c with varying disorder strength. c–e 3D parameter space for the three representative points (\(W={{\mathrm{0,1.5,4}}}\)) in (a) and (b). The panels below are zooms-in on the panels above.
Disorder mediated shift of the phase boundaries
To provide a comprehensive perspective on the disorder-induced topological phase transition, the disorder mediated shift of the phase boundaries is demonstrated in this part. Based on the geometric definition of the Chern number, we can identify three kinds of phase in the phase diagram. As shown in Fig. 8, with the increasing disorder strength, topologically non-trivial phase (red region) expands along the y-axis of the phase diagram, corresponding to the topological Anderson transition. In addition, the gapless phase (gray region) gradually deforms.
a–i Topological phase diagrams with disorder strength \(W=0,0.5,1,1.5,2,2.5,3,3.5,4\). The red region represents the topologically non-trivial phase. The gray region represents the gapless phase. The blue region represents the topologically trivial phase. The black line represents the phase boundary.
Moreover, we calculate the shift of the phase boundary under continuous disorder strength changes. Here, \(m=1.2\) is selected as a representative parameter, corresponding to six on the y-axis of the phase diagrams. As shown in Fig. 9, in Hermitian cases (\({{{\rm{\gamma }}}}=0\)), the disorder turns the topologically trivial phase into the topologically non-trivial phase directly and there are no gapless phases in this process. In non-Hermitian cases (\({{{\rm{\gamma }}}}\ne 0\)), as the disorder strength increases, part of the topologically trivial phase turns gapless and then may further turns topologically non-trivial.
The red region represents the topologically non-trivial phase. The gray region represents the gapless phase. The blue region represents the topologically trivial phase. The black line represents the phase boundary. The parameter configuration for the calculation is \(m=1.2\). Disorder strength \(W\) ranges from 0 to 4 and on-site gain/loss \(\gamma\) ranges from −3.5 to +3.5.
Data availability
All key data that support the findings of this study are included in the article and its Supplementary Information. Additional datasets are available from the corresponding authors upon reasonable request.
References
Shu, X. et al. Chiral transmission by an open evolution trajectory in a non-Hermitian system. Light Sci. Appl. 13, 65 (2024).
Li, A. et al. Exceptional points and non-Hermitian photonics at the nanoscale. Nat. Nanotechnol. 18, 706–720 (2023).
Parto, M., Liu, Y. G. N., Bahari, B., Khajavikhan, M. & Christodoulides, D. N. Non-Hermitian and topological photonics: optics at an exceptional point. Nanophotonics 10, 403–423 (2020).
Borgnia, D. S., Kruchkov, A. J. & Slager, R. J. Non-Hermitian boundary modes and topology. Phys. Rev. Lett. 124, 056802 (2020).
Yokomizo, K. & Murakami, S. Non-Bloch band theory of non-Hermitian systems. Phys. Rev. Lett. 123, 066404 (2019).
Kawabata, K., Shiozaki, K., Ueda, M. & Sato, M. Symmetry and topology in Non-Hermitian Physics. Phys. Rev. X. 9, 041015 (2019).
Yao, S. & Wang, Z. Edge states and topological invariants of Non-Hermitian Systems. Phys. Rev. Lett. 121, 086803 (2018).
Gong, Z. et al. Topological phases of Non-Hermitian systems. Phys. Rev. X. 8, 031079 (2018).
Li, L., Lee, C. H., Mu, S. & Gong, J. Critical non-Hermitian skin effect. Nat. Commun. 11, 5491 (2020).
Zhang, X., Zhang, T., Lu, M.-H. & Chen, Y.-F. A review on non-Hermitian skin effect. ADV PHYS-X 7, 2109431 (2022).
Lin, R., Tai, T., Li, L. & Lee, C. H. Topological non-Hermitian skin effect. Front. Phys. 18, 53605 (2023).
Li, Z. et al. Observation of dynamic non-Hermitian skin effects. Nat. Commun. 15, 6544 (2024).
Lin, Z. et al. Observation of topological transition in Floquet non-hermitian skin effects in silicon photonics. Phys. Rev. Lett. 133, 073803 (2024).
Liu, G. G. et al. Localization of chiral edge states by the non-hermitian skin effect. Phys. Rev. Lett. 132, 113802 (2024).
Lee, C. H., Li, L. & Gong, J. Hybrid higher-order skin-topological modes in nonreciprocal systems. Phys. Rev. Lett. 123, 016805 (2019).
Zhu, W. & Gong, J. Hybrid skin-topological modes without asymmetric couplings. Phys. Rev. B 106, 035425 (2022).
Li, Y., Liang, C., Wang, C., Lu, C. & Liu, Y.-C. Gain-loss-induced hybrid skin-topological effect. Phys. Rev. Lett. 128, 223903 (2022).
Li, L., Lee, C. H. & Gong, J. Topological switch for Non-Hermitian skin effect in cold-atom systems with loss. Phys. Rev. Lett. 124, 250402 (2020).
Sun, J., Li, C.-A., Feng, S. & Guo, H. Hybrid higher-order skin-topological effect in hyperbolic lattices. Phys. Rev. B 108, 075122 (2023).
Kawabata, K., Sato, M. & Shiozaki, K. Higher-order non-Hermitian skin effect. Phys. Rev. B. 102, 205118 (2020).
Lei, Z., Lee, C. H. & Li, L. Activating non-Hermitian skin modes by parity-time symmetry breaking. Commun. Phys. 7, 100 (2024).
Ma, X.-R. et al. Non-Hermitian chiral skin effect. Phys. Rev. Res. 6, 013213 (2024).
Zhang, H., Chen, T., Li, L., Lee, C. H. & Zhang, X. Electrical circuit realization of topological switching for the non-Hermitian skin effect. Phys. Rev. B 107, 085426 (2023).
Shang, C. et al. Experimental identification of the second‐order non‐hermitian skin effect with physics‐graph‐informed machine learning. Adv. Sci. 9, 2202922 (2022).
Zou, D. et al. Observation of hybrid higher-order skin-topological effect in non-Hermitian topolectrical circuits. Nat. Commun. 12, 7201 (2021).
Jiang, T. et al. Observation of non-Hermitian boundary induced hybrid skin-topological effect excited by synthetic complex frequencies. Nat. Commun. 15, 10863 (2024).
Sun, Y. et al. Photonic Floquet skin-topological effect. Phys. Rev. Lett. 132, 063804 (2024).
Palacios, L. S. et al. Guided accumulation of active particles by topological design of a second-order skin effect. Nat. Commun. 12, 4691 (2021).
Zhu, W. & Li, L. A brief review of hybrid skin-topological effect. J. Phys. Condens. Matter 36, 253003 (2024).
Yu, S., Qiu, C.-W., Chong, Y., Torquato, S. & Park, N. Engineered disorder in photonics. Nat. Rev. Mater. 6, 226–243 (2020).
Rhodes, D., Chae, S. H., Ribeiro-Palau, R. & Hone, J. Disorder in van der Waals heterostructures of 2D materials. Nat. Mater. 18, 541–549 (2019).
Smith, J. et al. Many-body localization in a quantum simulator with programmable random disorder. Nat. Phys. 12, 907–911 (2016).
Anderson, P. W. Absence of diffusion in certain random lattices. Phys. Rev. 109, 1492–1505 (1958).
Fu, L., Kane, C. L. & Mele, E. J. Topological insulators in three dimensions. Phys. Rev. Lett. 98, 106803 (2007).
Nomura, K. & Nagaosa, N. Surface-quantized anomalous Hall current and the magnetoelectric effect in magnetically disordered topological insulators. Phys. Rev. Lett. 106, 166802 (2011).
Kobayashi, K., Ohtsuki, T. & Imura, K. Disordered weak and strong topological insulators. Phys. Rev. Lett. 110, 236803 (2013).
Garcia, J. H., Covaci, L. & Rappoport, T. G. Real-space calculation of the conductivity tensor for disordered topological matter. Phys. Rev. Lett. 114, 116602 (2015).
Liu, C., Gao, W., Yang, B. & Zhang, S. Disorder-induced topological state transition in photonic metamaterials. Phys. Rev. Lett. 119, 183901 (2017).
Liu, H., Zhou, J.-K., Wu, B.-L., Zhang, Z.-Q. & Jiang, H. Real-space topological invariant and higher-order topological Anderson insulator in two-dimensional non-Hermitian systems. Phys. Rev. B 103, 224203 (2021).
Liu, G. G. et al. Topological Anderson Insulator in disordered photonic crystals. Phys. Rev. Lett. 125, 133603 (2020).
Stutzer, S. et al. Photonic topological Anderson insulators. Nature 560, 461–465 (2018).
Meier, E. J. et al. Observation of the topological Anderson insulator in disordered atomic wires. Science 362, 929–933 (2018).
Li, J., Chu, R. L., Jain, J. K. & Shen, S. Q. Topological Anderson insulator. Phys. Rev. Lett. 102, 136806 (2009).
Groth, C. W., Wimmer, M., Akhmerov, A. R., Tworzydlo, J. & Beenakker, C. W. J. Theory of the topological Anderson insulator. Phys. Rev. Lett. 103, 196805 (2009).
Zhang, W. et al. Experimental observation of higher-order topological Anderson insulators. Phys. Rev. Lett. 126, 146802 (2021).
Claes, J. & Hughes, T. L. Skin effect and winding number in disordered non-Hermitian systems. Phys. Rev. B 103, L140201 (2021).
Sarkar, R., Hegde, S. S. & Narayan, A. Interplay of disorder and point-gap topology: Chiral modes, localization, and non-Hermitian Anderson skin effect in one dimension. Phys. Rev. B 106, 014207 (2022).
Wang, B.-B. et al. Observation of disorder-induced boundary localization. Proc. Natl. Acad. Sci. 122, e2422154122 (2025).
Wang, L.-W., Lin, Z.-K. & Jiang, J.-H. Non-Hermitian topological phases and skin effects in kagome lattices. Phys. Rev. B 108, 195126 (2023).
Song, F., Yao, S. & Wang, Z. Non-Hermitian topological invariants in real space. Phys. Rev. Lett. 123, 246801 (2019).
Jiang, T. et al. Experimental demonstration of angular momentum-dependent topological transport using a transmission line network. Nat. Commun. 10, 434 (2019).
Kitaev, A. Anyons in an exactly solved model and beyond. Ann. Phys. (N.Y.) 321, 2–111 (2006).
Liu, J.-L., Pang, T.-F., Yang, X.-S. & Wang, Z.-L. Skin effect in disordered non-Hermitian Su-Schrieffer-Heeger. Acta Phys. Sin. 71, 227402 (2022).
Song, J., Liu, H., Jiang, H., Sun, Q.-F. & Xie, X. C. Dependence of topological Anderson insulator on the type of disorder. Phys. Rev. B 85, 195125 (2012).
Papaj, M., Isobe, H. & Fu, L. Nodal arc of disordered Dirac fermions and non-Hermitian band theory. Phys. Rev. B 99, 201107(R) (2019).
Okugawa, T., Tang, P., Rubio, A. & Kennes, D. M. Topological phase transitions induced by disorder in magnetically doped (Bi,Sb)2Te3 thin films. Phys. Rev. B 102, 201405(R) (2020).
Okugawa, T., Nag, T. & Kennes, D. M. Correlated disorder induced anomalous transport in magnetically doped topological insulators. Phys. Rev. B 106, 045417 (2022).
Acknowledgements
This work was supported by the National Key Research and Development Program of China (Grant No. 2022YFF0604802), the National Natural Science Foundation of China (62192770, 12304345, 62192772, 61621001, 61925504, 62020106009, 6201101335) and Shanghai Municipal Science and Technology Major Project.
Author information
Authors and Affiliations
Contributions
T.J. conceived the idea and developed the theory. S.L. performed numerical simulations and developed the theory. All authors were involved in the discussion and analysis. S.L., L.D., C.Z., T.J., and Z. Wei prepared the manuscript. T.J., Z.W., Z.W., and X.C. coordinated all the work.
Corresponding authors
Ethics declarations
Competing interests
The authors declare no competing interests.
Peer review
Peer review information
Communications Physics thanks Tanay Nag and the other, anonymous, reviewer(s) for their contribution to the peer review of this work. [A peer review file is available].
Additional information
Publisher’s note Springer Nature remains neutral with regard to jurisdictional claims in published maps and institutional affiliations.
Supplementary information
Rights and permissions
Open Access This article is licensed under a Creative Commons Attribution-NonCommercial-NoDerivatives 4.0 International License, which permits any non-commercial use, sharing, distribution and reproduction in any medium or format, as long as you give appropriate credit to the original author(s) and the source, provide a link to the Creative Commons licence, and indicate if you modified the licensed material. You do not have permission under this licence to share adapted material derived from this article or parts of it. The images or other third party material in this article are included in the article’s Creative Commons licence, unless indicated otherwise in a credit line to the material. If material is not included in the article’s Creative Commons licence and your intended use is not permitted by statutory regulation or exceeds the permitted use, you will need to obtain permission directly from the copyright holder. To view a copy of this licence, visit http://creativecommons.org/licenses/by-nc-nd/4.0/.
About this article
Cite this article
Li, S., Dou, L., Zhang, C. et al. Hybrid skin-topological-Anderson effect in systems with gain and loss. Commun Phys 8, 431 (2025). https://doi.org/10.1038/s42005-025-02327-3
Received:
Accepted:
Published:
Version of record:
DOI: https://doi.org/10.1038/s42005-025-02327-3











