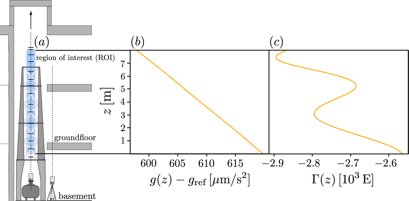
Fig. 2: Gravitational environment at the VLBAI facility Hannover.
From: Local measurement scheme of gravitational curvature using atom interferometers

a Vertical profile of the VLBAI Hannover within the HITec building. Cross-section taken from ref. 38 and adapted. b Gravitational acceleration g(z) and c gravitational gradient Γ(z) as functions of height in the region of interest (ROI) (0–8 m) of VLBAI. g(z) is interpolated by a polynomial fit, Γ(z) is the spatial derivative of this fit. Reference acceleration gref = 9.812 m/s2.