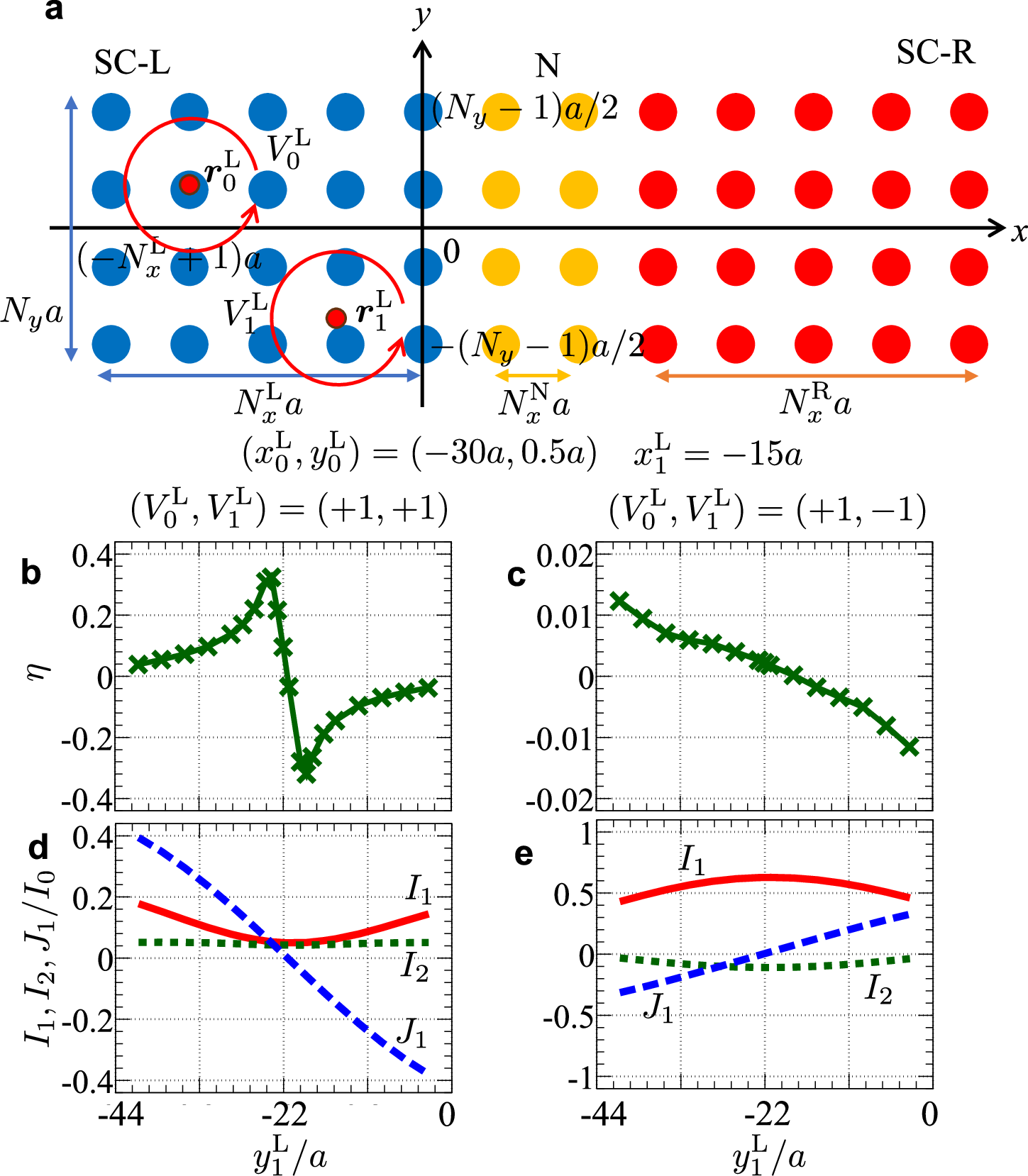
Fig. 4: Space dependence of rectifications with two vortices.

a Schematic illustration of two vortices in the left-side superconductor. SC-L, N, and SC-R mean the Left-side superconductor (SC), the Normal metal, and the Right-side SC. \({{{{\boldsymbol{r}}}}}_{m}^{{{{\rm{L}}}}}=({x}_{m}^{{{{\rm{L}}}}},{y}_{l}^{{{{\rm{L}}}}})\) with m = 1, 2 indicate core position for each vortex. \({V}_{0,1}^{{{{\rm{L}}}}}\) mean the winding number of each phase vortex. \({N}_{x}^{{{{\rm{L}}}}}\), \({N}_{x}^{{{{\rm{R}}}}}\), \({N}_{x}^{{{{\rm{N}}}}}\), Ny, and a denote the number of sites in the left and right-side SCs, and in the normal metal along the x-direction, and number of sites along the y-direction, and lattice constant. b, c Rectification η and (d, e) I1, I2, J1 as a function of the literal direction \({y}_{1}^{{{{\rm{L}}}}}\) for each (b, d) \(({V}_{0}^{{{{\rm{L}}}}},{V}_{1}^{{{{\rm{L}}}}})=(+1,+1)\) and (c, e) \(({V}_{0}^{{{{\rm{L}}}}},{V}_{1}^{{{{\rm{L}}}}})=(+1,-1)\). We set the core positions as \(({x}_{0}^{{{{\rm{L}}}}},{y}_{0}^{{{{\rm{L}}}}})=(-30,0.5)\) and \({x}_{1}^{{{{\rm{L}}}}}=-15\). I0 = 0.122∣Δ0∣(2e/ℏ) stands for the maximum Josephson current without any phase vortices in superconductors. We select the parameters: ∣Δ0∣ = 0.02t (superconducting energy gap amplitude), tint = 0.90 (transparency at the interface), \({N}_{x}^{{{{\rm{L}}}}}={N}_{x}^{{{{\rm{R}}}}}=45\), \({N}_{x}^{{{{\rm{N}}}}}=10\), Ny = 30, and \({z}_{0}^{{{{\rm{L}}}}}={z}_{1}^{{{{\rm{L}}}}}=10a\) (each vortex size).