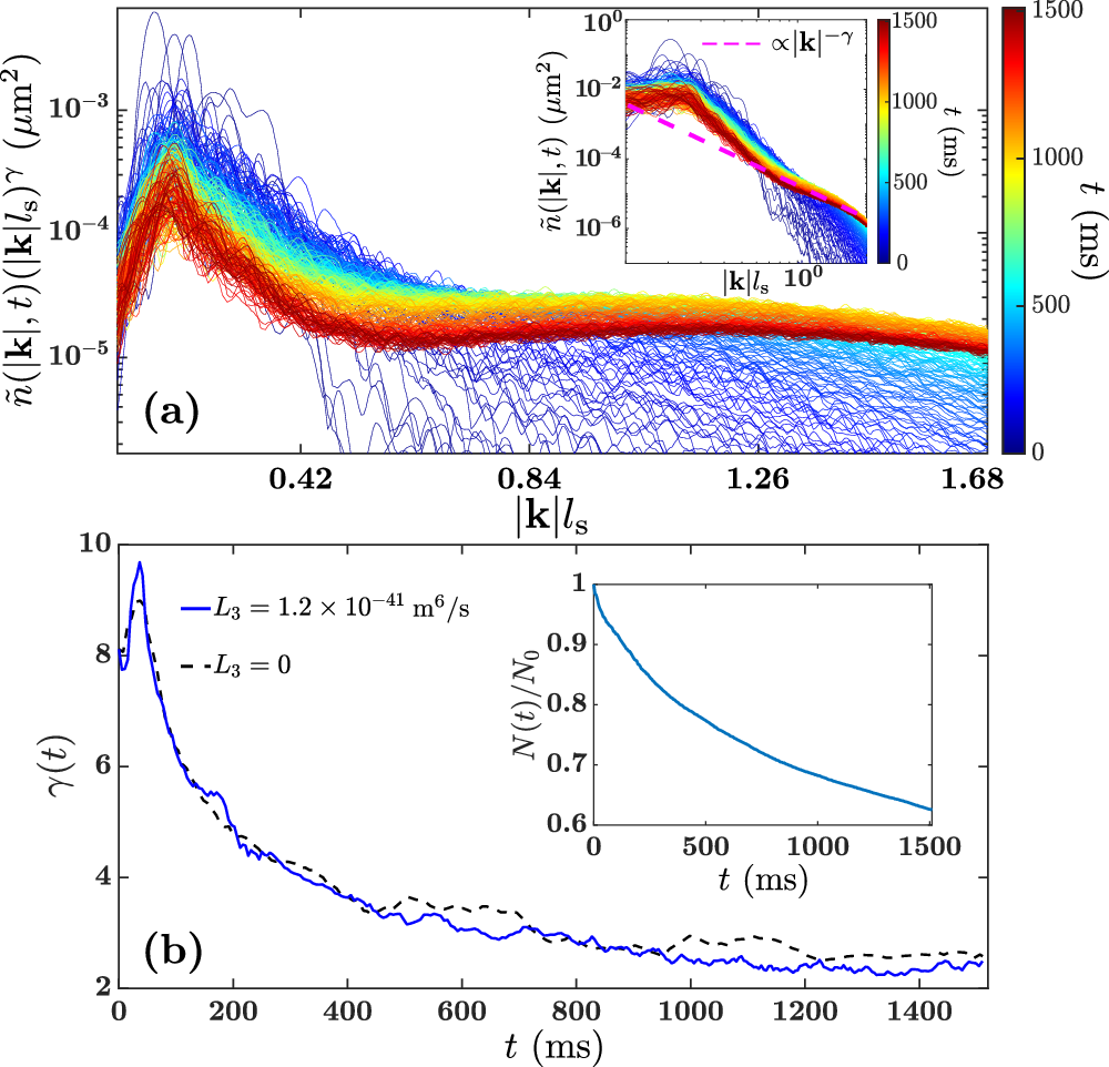
Fig. 5: Onset of wave turbulence in a driven SS in the presence of three-body recombination.
From: Generation of wave turbulence in dipolar gases driven across their phase transitions

a Compensated spectrum with the inclusion of three-body losses for ai = 89 a0, af = 98 a0 and ωd = 2π × 127 Hz as in Fig. 2a. Saturation of the spectrum at t > 500 ms takes place manifesting the approach to turbulent behavior. The inset presents the \({\left|{{\bf{k}}}\right|}^{-\gamma }\) power-law fitting of the momentum distribution in the range \(\left|{{\bf{k}}}\right|{l}_{{{\rm{s}}}}\simeq 1\). b Comparison between the exponent dynamics at large momenta with finite and zero three-body recombination (see legend). As it can be seen, there are no appreciable deviations imprinted in the exponent between the finite L3 and L3 = 0 scenario, while in both cases the exponent saturates close to ≈ 2.51. The inset presents the particle number during the time evolution, normalized to the initial number N0 = 8 × 104. Even for the ~40% atom losses occurring at long evolution times a SS structure persists.