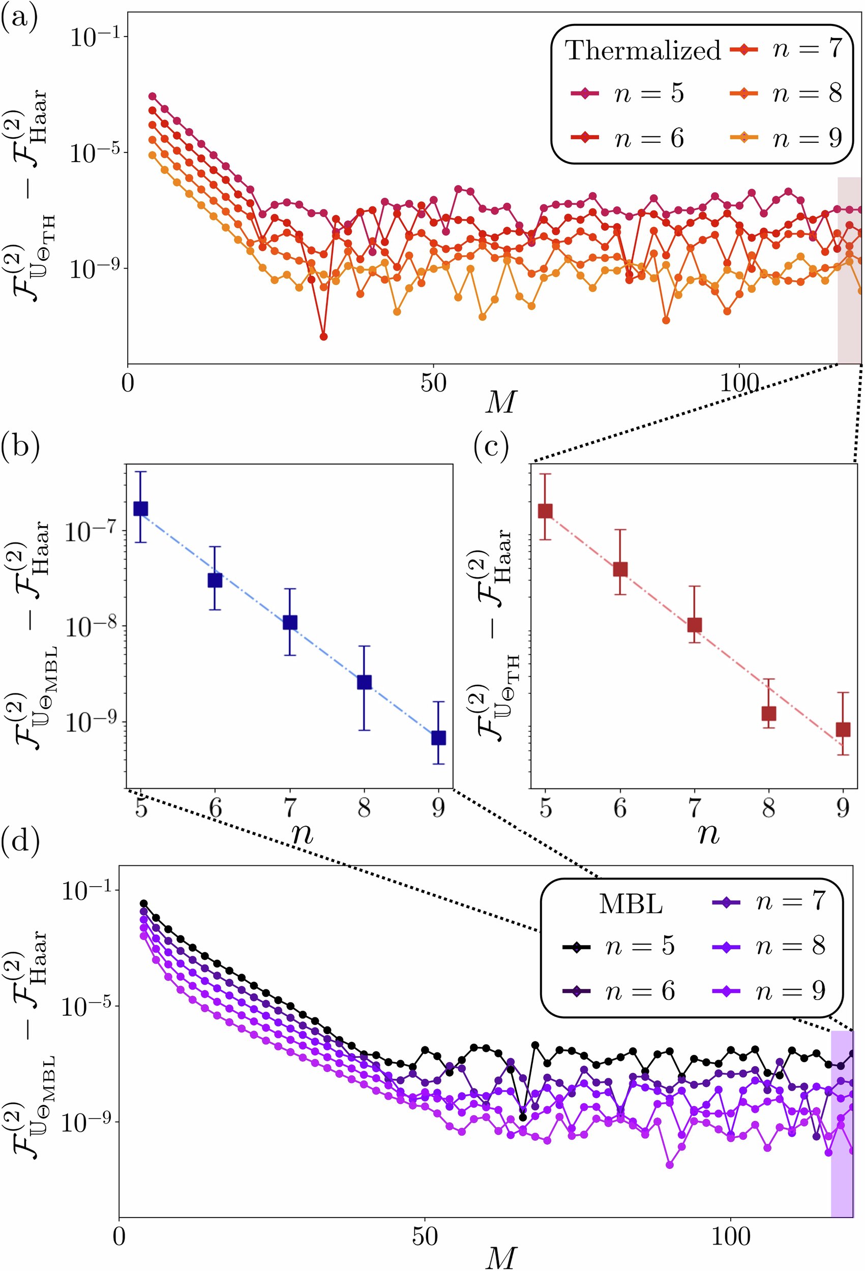
Fig. 3: Second-order frame potentials.

a The difference between the second-order frame potential of the ansätze ensemble and of the Haar distribution is plotted against the number of quenches M for the system size ranging from n = 5 to n = 9, under the thermalized initialization. The second-order frame potential is estimated by averaging the square of fidelity over N(N − 1)/2 independent pairs with N = 30,000. The saturated values of the second-order frame potential difference are plotted against the system size n for b the thermalized and c MBL initializations, with the error bars indicating the variance of the differences. d Same as (a), but under the MBL initialization.