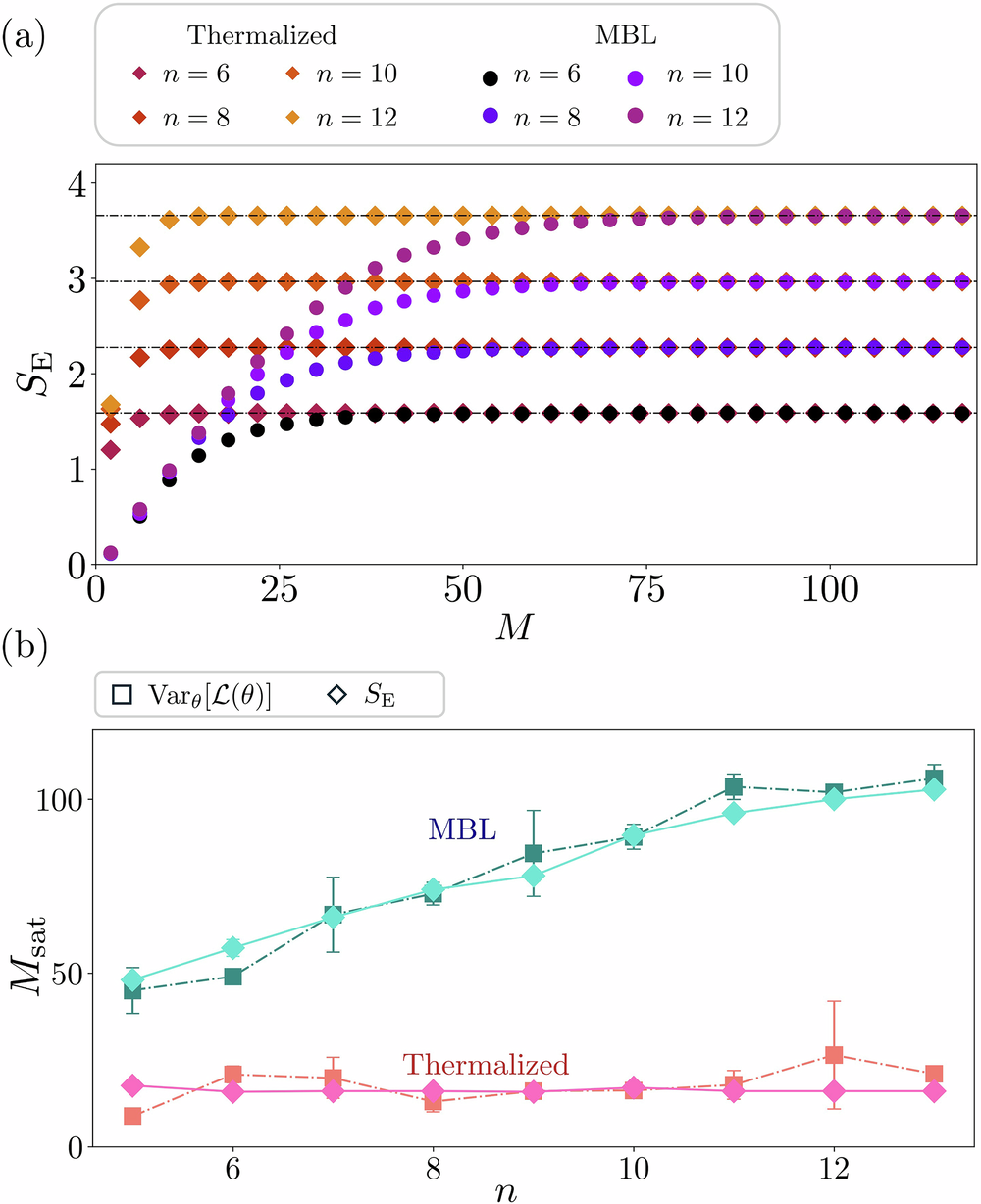
Fig. 5: Entanglement-trainability correspondence for thermalized and MBL initialization.

a Bipartite von Neumann entanglement entropy SE, averaged over 400 realizations, is plotted against the number of quenches M for a bipartition made at the middle of the chain. Results are shown for the thermalized phase (Diamond) and MBL phase (Circle). The horizontal dotted lines indicate the average bipartite entanglement entropy for Haar-random states. The faster convergence of the thermalized initialization compared to the MBL initialization is attributed to the differences in entanglement growth characteristics of each phase. b The estimated numbers of quenches required for the convergence, Msat, of the variance of \({\langle {Z}_{1}{Z}_{2}\rangle }_{{{\boldsymbol{\theta }}}}\) (Square) and the entanglement entropy (Diamond) are plotted against the number of qubits for both the thermalized and the MBL initializations, with the error bars showing the variance of estimation. The consistent trend between entanglement and the onset of barren plateaus in both phases highlights the role of quantum phases in shaping the untrainability of the analog VQA ansätze.