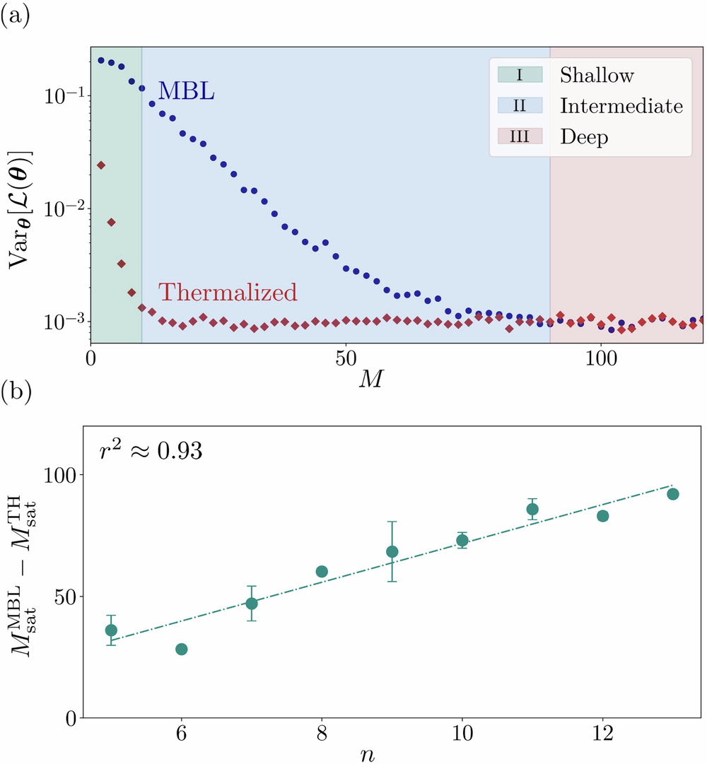
Fig. 6: Three initialization regimes.

a The variances of the local loss function for the thermalized (Diamond) and MBL (Circle) initializations are plotted against the number of quenches for a 10-qubit system. To categorize the initialization regimes, we divide them into three based on the differences in variance between the thermalized and MBL initializations: Regime I (Shallow) (Green) captures the range of quenches where both initializations are trainable and do not exhibit barren plateaus, Regime II (Intermediate) (Blue) defines the range of quenches where the MBL initialization remains trainable, while the thermalized counterpart already has suffered from the barren plateau, and Regime III (Deep) (Red) encapsulates the range of quenches where both phases exhibit barren plateaus, making the VQA untrainable. b The estimated difference in the number of quences between the MBL and the thermalized initialization when barren plateau onset is plotted against the number of qubits, with the error bars showing the variance of the estimations. This difference is the width of Regime II. As the number of qubits increases, the difference grows linearly with the number of qubits. This suggests the advantage of the MBL initialization over the thermalized initialization.