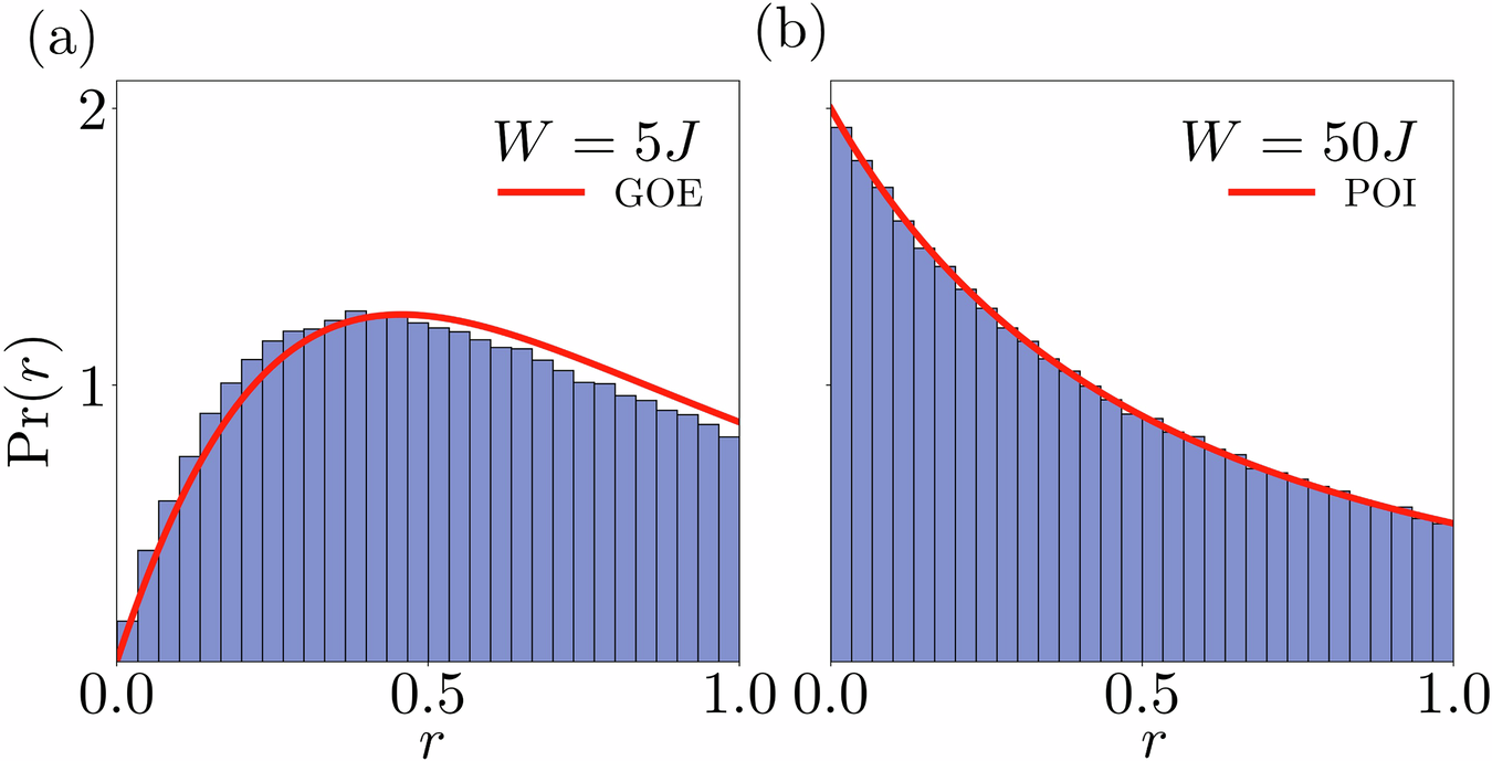
Fig. 9: Level statistics of the disordered Ising model.

The histograms display the level statistics of 500 instances of 9-qubit systems governed by the Hamiltonian in Eq. (16) for two different disorder strengths. a With W = 5J, the histogram follows the GOE distribution, indicating that the system is in the thermalized phase characterized by level repulsion and correlated eigenvalues. b With W = 50J, the histogram follows the Poisson distribution, indicating that the system is in the MBL phase where eigenvalues are uncorrelated and level crossings are allowed. These different disorder strengths are used to initialize the parameters in our ansätze for the thermalized and MBL initializations.