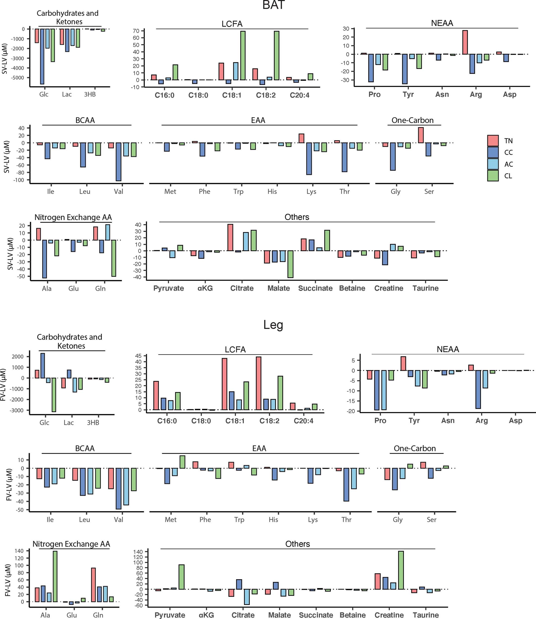
Extended Data Fig. 3: AV concentration gradients of the 35 primary fuel metabolites.
From: Quantitative analysis of metabolic fluxes in brown fat and skeletal muscle during thermogenesis
From: Quantitative analysis of metabolic fluxes in brown fat and skeletal muscle during thermogenesis