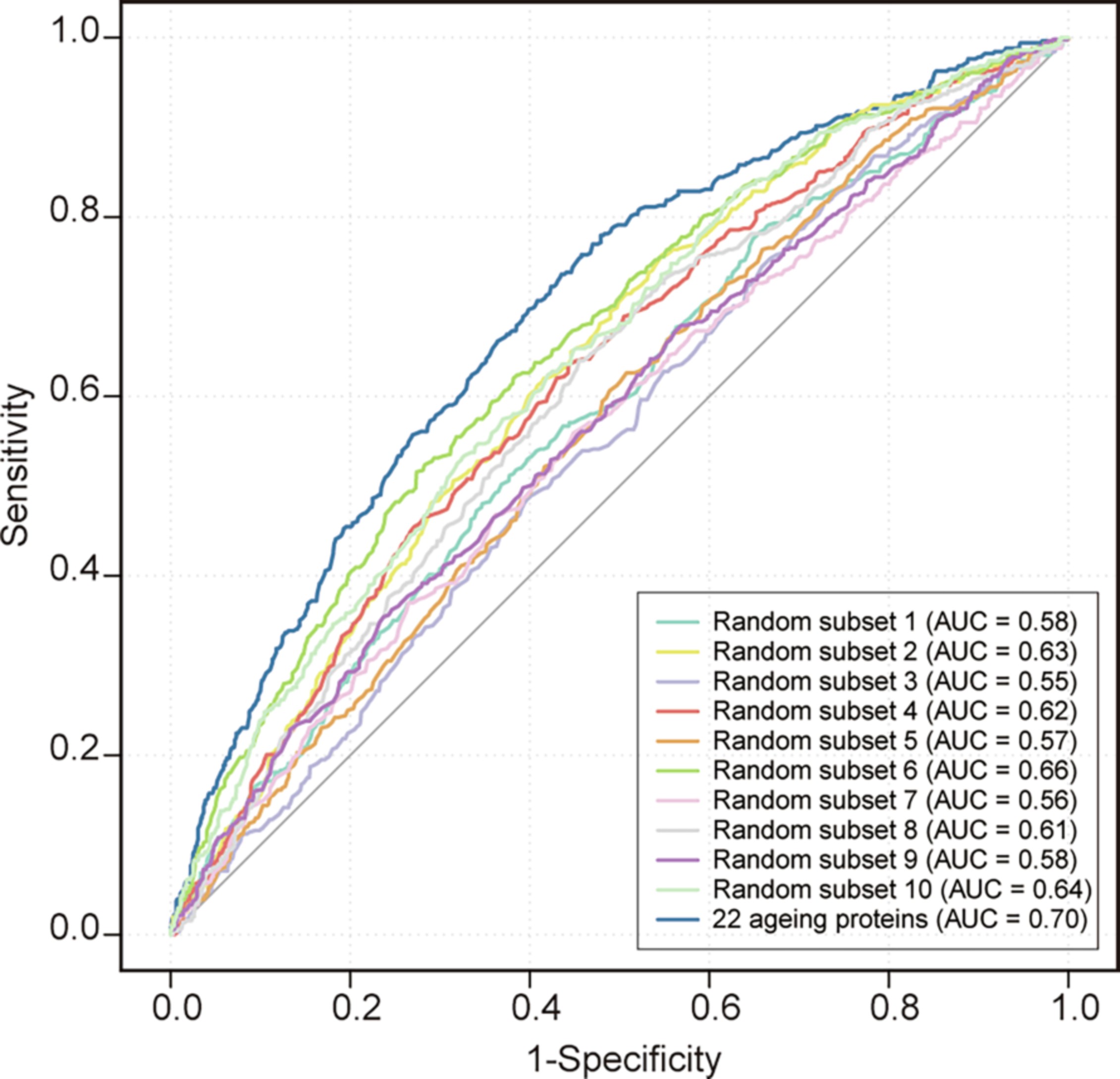
Extended Data Fig. 6: Performance of random forest models trained by random subsets of 22 proteins.

We trained 10 random forest models, each utilizing a random subset of 22 proteins selected from the common pool of 408 proteins. The performances of these random forest models were evaluated by calculating the area under the receiver operating characteristic curve (AUC). Differences in performance between the random forest models were tested by DeLong test. The P values comparing the model using the top 22 ageing-related proteins to those using random subsets 1 to 10 were 8.38×10−11, 1.44×10−4, 2.10×10−14, 1.32×10−5, 1.55×10−12, 1.42×10−2, 2.61×10−12, 3.25×10−7, 2.06×10−10, and 2.02×10−5, respectively.