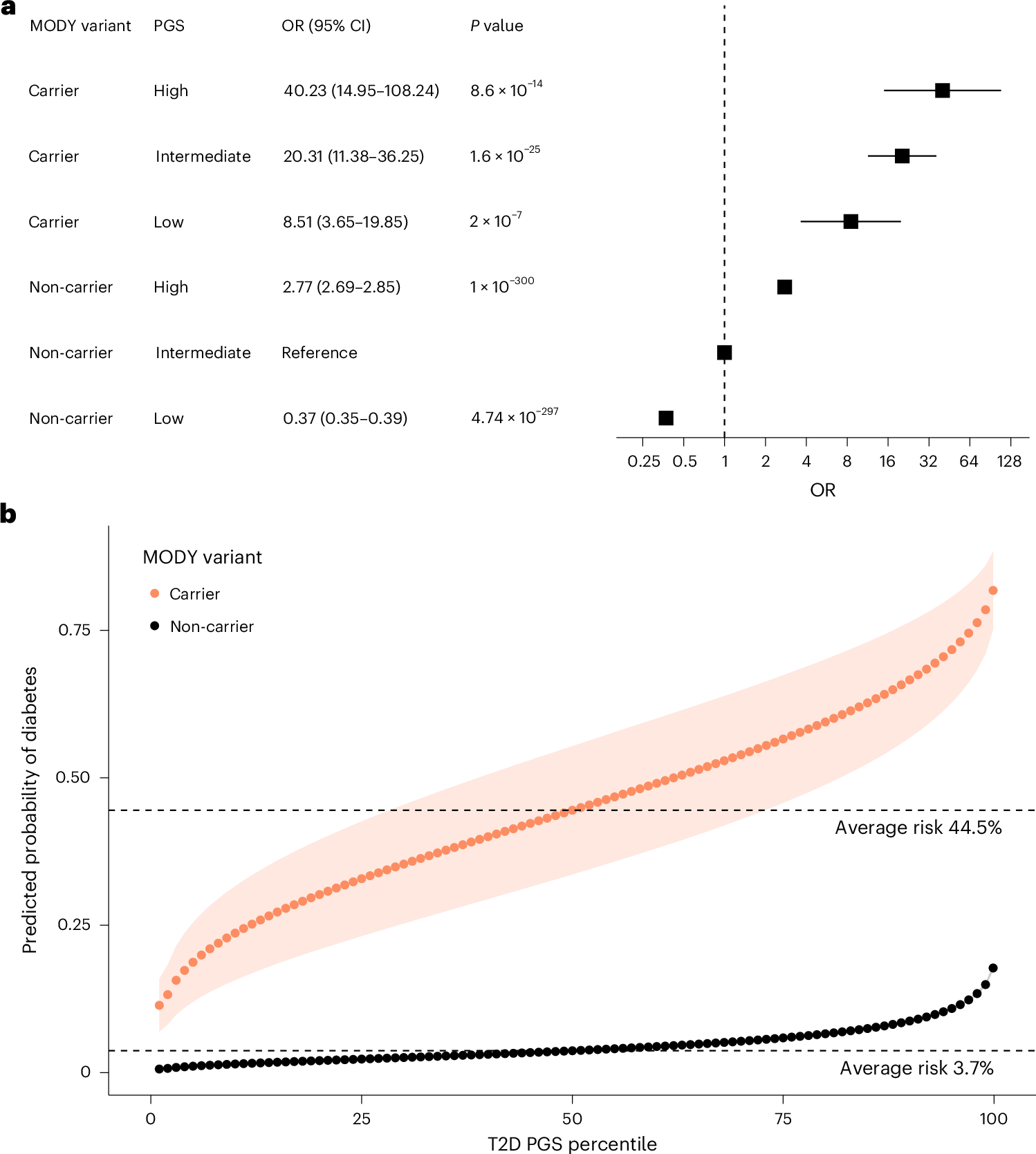
Fig. 3: Polygenic background modifies diabetes risk in clinically unselected HNF-MODY carriers.
From: Common genetic variants modify disease risk and clinical presentation in monogenic diabetes

a, ORs for diabetes risk in HNF-MODY carriers and non-carriers, stratified by T2D polygenic risk levels. Points represent ORs with error bars representing 95% CIs. Low risk is defined as the bottom 20% of T2D polygenic scores, high risk as the top 20% and intermediate risk as the remaining 60%. n = 88,905, 265,079 and 70,469 for non-carriers and n = 28, 55 and 17 for carriers, for low, intermediate and high T2D PGS risk, respectively. Diabetes risk was estimated using a two-sided logistic regression model adjusted for sex, age, family history of diabetes, the first ten ancestry principal components and BMI. b, Predicted probability of diabetes at baseline across each percentile of T2D polygenic risk, assessed using a logistic model with T2D polygenic score as a continuous variable and the same covariates as in a. Points represent predicted mean probability per percentile, and shaded regions represent 95% CIs. Dashed lines indicate the baseline diabetes risk at the 50th percentile of T2D polygenic scores for HNF-MODY carriers and non-carriers.