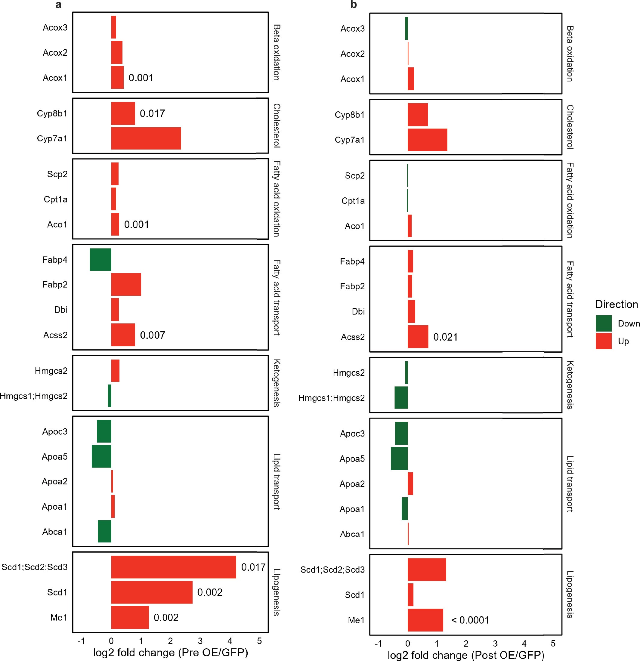
Extended Data Fig. 4: SLC25A51 overexpression affects expression of PPARα targets involved in lipid metabolism.
From: Hepatocyte mitochondrial NAD+ content is limiting for liver regeneration

Proteomic profiling of liver tissue from SLC25A51-overexpressing and eGFP control mice showing protein expression of PPARα targets. a-b, Effects of SLC25A51 overexpression pre (a) and 48 h post (b) partial hepatectomy. Statistical analysis was performed by an unpaired two-tailed Student’s t-test (n = 3 mice for eGFP control and n = 6 for A51 OE mice). Individual P values are shown where significant (P < 0.05).