Abstract
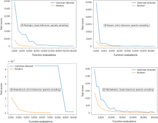
Machine learning methods are increasingly deployed to construct surrogate models for complex physical systems at a reduced computational cost. However, the predictive capability of these surrogates degrades in the presence of noisy, sparse or dynamic data. We introduce an online learning method empowered by optimizer-driven sampling that has two advantages over current approaches: it ensures that all local extrema (including endpoints) of the model response surface are included in the training data, and it employs a continuous validation and update process in which surrogates undergo retraining when their performance falls below a validity threshold. We find, using benchmark functions, that optimizer-directed sampling generally outperforms traditional sampling methods in terms of accuracy around local extrema even when the scoring metric is biased towards assessing overall accuracy. Finally, the application to dense nuclear matter demonstrates that highly accurate surrogates for a nuclear equation-of-state model can be reliably autogenerated from expensive calculations using few model evaluations.
This is a preview of subscription content, access via your institution
Access options
Access Nature and 54 other Nature Portfolio journals
Get Nature+, our best-value online-access subscription
$32.99 / 30 days
cancel any time
Subscribe to this journal
Receive 12 digital issues and online access to articles
$119.00 per year
only $9.92 per issue
Buy this article
- Purchase on SpringerLink
- Instant access to the full article PDF.
USD 39.95
Prices may be subject to local taxes which are calculated during checkout






Similar content being viewed by others
Data availability
The dataset to create the figure plots in the main text and Supplementary Information are available via Zenodo at https://doi.org/10.5281/zenodo.10908462 (ref. 50).
Code availability
The code, as well as the sampled data and learned surrogates, is available via Code Ocean at https://doi.org/10.24433/CO.1152070.v1 (ref. 51).
References
Barros, V. et al. (eds) Climate Change 2014 Impacts, Adaptation, and Vulnerability (Cambridge Univ. Press, 2014).
Wigley, P. et al. Fast machine-learning online optimization of ultra-cold-atom experiments. Sci. Rep. 6, 25890 (2016).
Scheinker, A. & Gessner, S. Adaptive method for electron bunch profile prediction. Phys. Rev. Accel. Beams 18, 102801 (2015).
Noack, M. et al. A kriging-based approach to autonomous experimentation with applications to x-ray scattering. Sci. Rep. 9, 11809 (2019).
Coveney, P. V., Boon, J. P. & Succi, S. Bridging the gaps at the physics–chemistry–biology interface. Philos. Trans. R. Soc. Lond. Ser. A 374, 20160335 (2016).
Hu, S. X. et al. First-principles thermal conductivity of warm-dense deuterium plasmas for inertial confinement fusion applications. Phys. Rev. E 89, 043105 (2014).
Stanton, L. G., Glosli, J. N. & Murillo, M. S. Multiscale molecular dynamics model for heterogeneous charged systems. Phys. Rev. X 8, 021044 (2018).
Brown, E. W., Clark, B. K., DuBois, J. L. & Ceperley, D. M. Path-integral monte carlo simulation of the warm dense homogeneous electron gas. Phys. Rev. Lett. 110, 146405 (2013).
Schmidt, J., Marques, M., Botti, S. & Marques, M. Recent advances and applications of machine learning in solid-state materials science. NPJ Comput. Mater. 5, 83 (2019).
Liu, Y., Zhao, T., Ju, W. & Shi, S. Materials discovery and design using machine learning. J. Materiomics 3, 159–177 (2017).
Lubbers, N. et al. Modeling and scale-bridging using machine learning: nanoconfinement effects in porous media. Sci. Rep. 10, 13312 (2020).
Diaw, A. et al. Multiscale simulation of plasma flows using active learning. Phys. Rev. E 102, 023310 (2020).
Roehm, D. et al. Distributed database kriging for adaptive sampling (D2 KAS). Comput. Phys. Commun. 192, 138–147 (2015).
Coulomb, J.-L., Kobetski, A., Caldora Costa, M., Maréchal, Y. & Jonsson, U. Comparison of radial basis function approximation techniques. COMPEL - Int. J. Comput. Math. Electric. Electron. Eng. 22, 616–629 (2003).
Wu, Y., Wang, H., Zhang, B. & Du, K.-L. Using radial basis function networks for function approximation and classification. ISRN Appl. Math. 2012, 324194 (2012).
Park, J. & Sandberg, I. W. Universal approximation using radial-basis-function networks. Neural Comput. 3, 246–257 (1991).
McKerns, M., Hung, P. & Aivazis, M. mystic: highly-constrained non-convex optimization and UQ. PyPI http://pypi.python.org/pypi/mystic (2009).
McKerns, M., Strand, L., Sullivan, T. J., Fang, A. & Aivazis, M. Building a framework for predictive science. In Proc. 10th Python in Science Conference (eds van der Walt, S. & Millman, J.) 67–78 (SciPy, 2011).
Rastrigin, L. A. Systems of External Control (Mir, 1974) [in Russian].
Rosenbrock, H. An automatic method for finding the greatest or least value of a function. Comput. J. 3, 175–184 (1960).
Dixon, L. & Szego, G. in Towards Global Optimisation 2 (eds Dixon, L. C. & Szegö, G. P.) 1–15 (North-Holland, 1978).
Michalewicz, Z. Genetic Algorithms + Data Structures = Evolution Programs (Springer-Verlag, 1992).
Easom, E. A Survey of Global Optimization Techniques. M. Eng. Thesis, Univ. of Louisville (1990).
Lonardoni, D., Tews, I., Gandolfi, S. & Carlson, J. Nuclear and neutron-star matter from local chiral interactions. Phys. Rev. Res. 2, 022033 (2020).
Annala, E., Gorda, T., Kurkela, A., Nättilä, J. & Vuorinen, A. Evidence for quark-matter cores in massive neutron stars. Nat. Phys. 16, 907–910 (2020).
Baym, G. et al. From hadrons to quarks in neutron stars: a review. Rep. Prog. Phys. 81, 056902 (2018).
Adam, J. et al. Nonmonotonic energy dependence of net-proton number fluctuations. Phys. Rev. Lett. 126, 092301 (2021).
Busza, W., Rajagopal, K. & van der Schee, W. Heavy ion collisions: the big picture and the big questions. Annu. Rev. Nucl. Part. Sci. 68, 339–376 (2018).
Braun-Munzinger, P., Koch, V., Schäfer, T. & Stachel, J. Properties of hot and dense matter from relativistic heavy ion collisions. Phys. Rep. 621, 76–126 (2016).
Raaijmakers, G. et al. Constraints on the dense matter equation of state and neutron star properties from nicer’s mass-radius estimate of psr j0740+6620 and multimessenger observations. Astrophys. J. Lett. 918, L29 (2021).
Capano, C. D. et al. Stringent constraints on neutron-star radii from multimessenger observations and nuclear theory. Nat. Astron. 4, 625–632 (2020).
Dietrich, T. et al. Multimessenger constraints on the neutron-star equation of state and the Hubble constant. Science 370, 1450–1453 (2020).
Riley, T. E. et al. A nicer view of psr j0030+0451: millisecond pulsar parameter estimation. Astrophys. J. 887, L21 (2019).
Miller, M. C. et al. Psr j0030+0451 mass and radius from nicer data and implications for the properties of neutron star matter. Astrophys. J. 887, L24 (2019).
Dexheimer, V. Tabulated neutron star equations of state modelled within the chiral mean field model. Publ. Astron. Soc. Aust. https://doi.org/10.1017/pasa.2017.61 (2017).
Abbott, B. et al. Gw170817: Observation of gravitational waves from a binary neutron star inspiral. Phys. Rev. Lett. 119, 161101 (2017).
Typel, S., Oertel, M. & Klähn, T. CompOSE CompStar online supernova equations of state harmonising the concert of nuclear physics and astrophysics compose.obspm.fr. Phys. Part. Nucl. 46, 633–664 (2015).
Schneider, A. S., Constantinou, C., Muccioli, B. & Prakash, M. Akmal–Pandharipande–Ravenhall equation of state for simulations of supernovae, neutron stars and binary mergers. Phys. Rev. C 100, 025803 (2019).
Raithel, C. A., Özel, F. & Psaltis, D. Finite-temperature extension for cold neutron star equations of state. Astrophys. J. 875, 12 (2019).
Glendenning, N. K. Compact Stars: Nuclear Physics, Particle Physics and General Relativity (Springer, 1997).
Hempel, M., Pagliara, G. & Schaffner-Bielich, J. Conditions for phase equilibrium in supernovae, protoneutron and neutron stars. Phys. Rev. D 80, 125014 (2009).
Fischer, T. et al. Core-collapse supernova explosions triggered by a quark-hadron phase transition during the early post-bounce phase. Astrophys. J. Suppl. Ser. 194, 39 (2011).
McLerran, L. & Reddy, S. Quarkyonic matter and neutron stars. Phys. Rev. Lett. 122, 122701 (2019).
Chodos, A., Jaffe, R. L., Johnson, K., Thorn, C. B. & Weisskopf, V. F. New extended model of hadrons. Phys. Rev. D 9, 3471–3495 (1974).
Schertler, K., Greiner, C., Schaffner-Bielich, J. & Thoma, M. H. Quark phases in neutron stars and a third family of compact stars as signature for phase transitions. Nucl. Phys. A 677, 463–490 (2000).
Rocha, H. On the selection of the most adequate radial basis function. Appl. Math. Model. 33, 1573–1583 (2009).
Rumelhart, D. E., Hinton, G. E., & Williams, R. J. in Parallel Distributed Processing: Explorations in the Microstructure of Cognition (eds Rumelhart, D. E., McClelland, J. L. & the PDP Research Group) (MIT Press, 1987).
Schaback, R. & Wendland, H. Adaptive greedy techniques for approximate solution of large RBF systems. Numer. Algorithms 24, 239–254 (2000).
Dorvlo, A. S., Jervase, J. A. & Al-Lawati, A. Solar radiation estimation using artificial neural networks. Appl. Energy 71, 307–319 (2002).
Diaw, A., McKerns, M., Sagert, I., Stanton, L. G. & Murillo, M. S. Directed sampling datasets. Zenodo https://doi.org/10.5281/zenodo.10908462 (2024).
Diaw, A., McKerns, M., Sagert, I., Stanton, L. G. & Murillo, M. S. Efficient learning of accurate surrogates for simulations of complex systems. Code Ocean https://doi.org/10.24433/CO.1152070.v1 (2024).
Acknowledgements
Research supported by Los Alamos National Laboratory under the Laboratory Directed Research and Development programme (project nos. 20190005DR, 20200410DI and 20210116DR), by the Department of Energy Advanced Simulation and Computing under the Beyond Moore’s Law Program and by the Uncertainty Quantification Foundation under the Statistical Learning programme. Triad National Security, LLC operates the Los Alamos National Laboratory for the National Nuclear Security Administration of the US Department of Energy (contract no. 89233218CNA000001). M.S.M. acknowledges support from the National Science Foundation through award PHY-2108505. We thank J. Haack for insightful feedback on the paper. This document is LA-UR-20-24947.
Author information
Authors and Affiliations
Contributions
A.D., M.M. and M.S.M. conceived the project. M.M. developed the software. A.D., I.S. and M.M. performed simulations and prepared figures. All authors were responsible for the formal analysis.
Corresponding authors
Ethics declarations
Competing interests
The authors declare no competing interests.
Peer review
Peer review information
Nature Machine Intelligence thanks Martin Buhmann, André da Silva Schneider and the other, anonymous, reviewer(s) for their contribution to the peer review of this work.
Additional information
Publisher’s note Springer Nature remains neutral with regard to jurisdictional claims in published maps and institutional affiliations.
Extended data
Supplementary information
Supplementary Information
Supplementary tests cases, molecular dynamics tests and method implementation.
Rights and permissions
Springer Nature or its licensor (e.g. a society or other partner) holds exclusive rights to this article under a publishing agreement with the author(s) or other rightsholder(s); author self-archiving of the accepted manuscript version of this article is solely governed by the terms of such publishing agreement and applicable law.
About this article
Cite this article
Diaw, A., McKerns, M., Sagert, I. et al. Efficient learning of accurate surrogates for simulations of complex systems. Nat Mach Intell 6, 568–577 (2024). https://doi.org/10.1038/s42256-024-00839-1
Received:
Accepted:
Published:
Version of record:
Issue date:
DOI: https://doi.org/10.1038/s42256-024-00839-1
This article is cited by
-
Bayesian inference of numerical modeling-based morphodynamics: Application to a dam-break over a mobile bed experiment
Computational Geosciences (2026)
-
Advances in surrogate modeling for biological agent-based simulations: trends, challenges, and future prospects
Journal of Mathematical Biology (2026)
-
Efficient online quantum circuit learning with no upfront training
Communications Physics (2025)
-
Physics-consistent machine learning with output projection onto physical manifolds
Communications Physics (2025)
-
An artificial neural network-based automated identification system for selection of appropriate turbulence model for numerical simulation of tube thermal enhancement using nanofluids
Neural Computing and Applications (2025)


