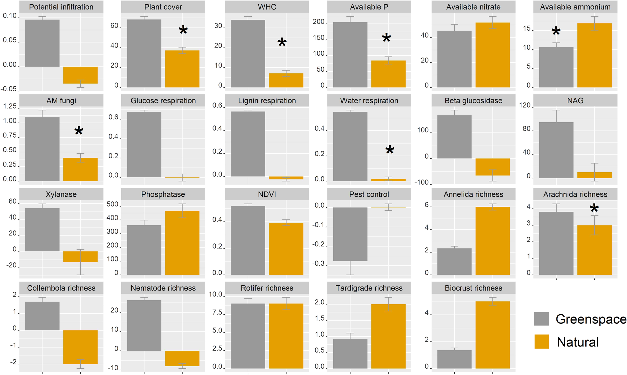
Fig. 3: Attribute values in greenspaces and natural environments.
From: Urban greenspaces and nearby natural areas support similar levels of soil ecosystem services

Mean (±SE) values of individual attributes in greenspaces and natural systems. Asterisks indicate a significant difference between greenspace and natural systems at P < 0.05. Units: Potential infiltration (ml water s−1), plant cover (%), water holding capacity (%), available P, available nitrate, available ammonium (mg kg−1 soil), AM fungal biomass (nmol g−1 soil), glucose, water and lignin respiration (μg CO2-C g−1 soil h−1), beta glucosidase, NAG, xylanase, phosphatase nmol activity g−1soil hr−1, NDVI (unitless), pest control (% x-1), and invertebrate and biocrust richness (number of ASVs).