Abstract
Cities are highly vulnerable to climate change, yet the interactions between urban and regional climate remain insufficiently understood, especially over climate changes timescales and when comparing cities globally. Therefore, this study assesses the capabilities of two CORDEX-CORE regional climate models (REMO and RegCM) in representing urban areas globally, focusing on land-surface characteristics and urban heat island (UHI) evaluation. Despite their relatively coarse resolution (~25 km), the two models can capture urban imprints of large cities. RegCM, with a single-layer urban canopy parameterization, represents the UHI, especially at night. REMO tends to underestimate nighttime UHI due to its simple bulk urban scheme. Across models, impervious surface areas are consistently underestimated, with notable geographic imbalances across the world. Going forward, regional climate model simulations for cities require both enhanced urban parameterizations and the integration of refined urban land-use data.
Similar content being viewed by others
Introduction
Understanding the urban climate under ongoing and future climate change is pivotal for planning adaptation actions to deal with and to minimize climate change impacts in cities. Cities are hotspots of climate change impacts due to high population density, modified land surfaces, and limited availability of vegetated areas1,2. Among these impacts, urban heat, intensified by the Urban Heat Island (UHI) effect, poses a major risk to health, infrastructure, and energy systems. The UHI effect, caused by increased impervious surfaces and reduced vegetation, amplifies the severity of heatwaves beyond what is expected from climate change alone1,3,4. In recognition of this critical role of urban areas in a changing climate, the Intergovernmental Panel on Climate Change (IPCC) has included in the seventh assessment cycle (AR7) a Special Report on Climate Change and Cities.
A large share of the urban climate change studies investigated the impacts of climate change on the urban climate3,5, while some analyzed the urban influence on temperature at the global scale6,7,8,9. Most of the previous urban climate change studies on the regional-to-global scales focus on one single city or a few cities at most, and/or commonly employ one climate model6,7,8,9. Often only shorter time periods are assessed, for instance, ranging from days to months, up to one or two decades10. In the short time-scale studies, urban climate models are typically forced with climate change data, or a specific rate of climate change (e.g., 2 °C) is added to a historic extreme event (e.g., PGW techniques10). In addition, higher-resolution urban climate models center on the city-scale and do not simulate interactions with global-to-regional climate change explicitly, particularly not in a dynamic manner over longer timescales. Taking into account changes in the global and regional climate is critical to understand the urban climate under climate change, as new weather phenomena may arise in or near a particular city, or regional land-use might change due to climatic changes around the city, which both can affect the urban climate3.
Regional climate models (RCMs) offer a promising tool to provide future projections of urban climates and their interactions with regional-to-global climate change, simultaneously allowing for a comparison across cities in a region or continent3,11,12. Recently, numerous studies showed that dynamically downscaled RCM projections can simulate cities under climate change, particularly on the 0.11⁰ spatial resolution13, as well as on higher km-scale spatial resolutions10,14. Nevertheless, these studies also point out that further improvements in the models would be required to improve the representation of cities within RCMs3,11, particularly incorporating more sophisticated urban schemes and underlying urban parameters to describe cities as input to the models. The Coordinated Regional Climate Downscaling Experiment (CORDEX) Flagship Pilot Study on the Urban environment and regional climate change (FPS URB-RCC, https://ms.hereon.de/cordex_fps_urban) initiative is a global endeavor which aims to understand the effect of urban areas on the regional climate, as well as the impact of regional climate change on cities. This is done through new coordinated experiments with urbanized RCMs, but also exploiting existing RCM output datasets15. One of the key goals is to assess multi-model uncertainty and understand the variability in the model representation of both urban processes and city extent and characteristics.
Up to now, studies with RCMs focusing on urban areas are commonly centered around one city, or a specific region10,13,14,16. The CORDEX Coordinated Output for Regional Evaluation (CORDEX-CORE) activity offers a dataset covering almost all the land areas across the globe dynamically downscaled by two RCMs on the ~25 km (0.22⁰) spatial resolution17. In Europe EURO-CORDEX data at ~12 km (0.11°) will also be used18. Taking advantage of the evaluation simulations of this global dataset driven by ERA-Interim reanalysis data19, this work aims to understand the capabilities of the CORDEX-CORE models to represent urban areas across the globe, particularly focusing on the land-use descriptions and the UHI effect. The analysis of these evaluation simulations provides the groundwork for using the CMIP5-driven CORDEX-CORE ensemble for further urban climate change studies, and can inform future regional climate modeling activities, such as the CORDEX-CMIP6 simulations, aiming at a similar ~25 km horizontal resolution, and envisioned to provide new CORDEX-CORE global coordinated output20. An example of the impact of this study’s outcomes is the application of the proposed methodology in the urban layer of the C3S Atlas (https://atlas.climate.copernicus.eu), an evolution of the IPCC WGI Interactive Atlas (https://interactive-atlas.ipcc.ch), which provides climate change projections for a subset of the cities analyzed in this work.
We present the key results divided into three main topics: a global city selection for RCMs at ~25 km, an analysis of the land-use data, and an assessment of the UHI effect at 2 m across cities using evaluation simulations. Thereafter, the discussion follows. At the end, the data and methods used for this study are described, including an approach for a city selection on the global scale that, in principle, could be captured by the CORDEX-CORE horizontal resolution.
As a part of this study, the urban fraction data and the impervious fraction data of the CORDEX-CORE dataset are published openly21 (see data availability section). These variables are currently missing in public repositories and are key to enable further urban studies with the CORDEX-CORE data.
Results
Underestimated urban land surface in regional climate models
To evaluate the representation of urban land-surface in the CORDEX-CORE models, three recent global high-resolution (urban) land cover datasets are selected, respectively the 10 m Esri land cover22 (hereafter referred to as “ESRI”), the 10 m ESA WorldCover land cover dataset23 (hereafter referred to as “ESA”), and the 100 m global map of Local Climate Zones24 (hereafter referred to as “LCZ”). For all the land cover datasets, as well as for REMO and RegCM, the impervious surface area (ISA) is taken as the representation of urban areas, see Section “Urban land surface representation in models”.
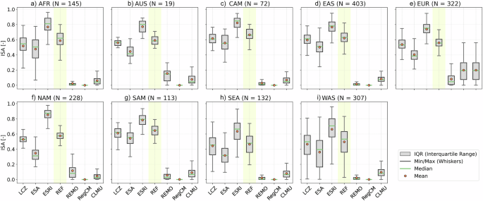
The analysis of urban land use shows, first of all, that there are large disagreements between global urban data products, confirming the findings of previous studies25. The ESRI product consistently provides higher urban land cover fractions compared to ESA WorldCover, for all CORDEX-CORE domains, with a maximum ISA fraction difference of 0.77 on the city-level (Fig. 1). The LCZ-based total ISA values are generally in between the ESRI and ESA estimates, and are in line with the average of all three reference datasets combined, which is hereafter named REF. As such, REF will serve as an ensemble estimate of ISA in forthcoming analyses and is assumed to average out the noise and uncertainties inherent to individual datasets.
For each domain (a–i), estimates from LCZ, ESA, ESRI, REF, REMO, RegCM, and CLMU are shown. N refers to the number of the GHS-UCDB cities within the domain. The yellow shaded area highlights the REF product against which the RCMs are ultimately benchmarked. Note that, for EUR, the 0.11° spatial resolution was used.
A comparison between RCMs’ ISA and REF for a total of 1741 cities within the Global Human Settlement Urban Center Database26 (GHS-UCDB), reveals an overall strong underestimation of the ISA in all models (Fig. 1 and Supplementary Fig. 1, and Supplementary Table 1). On average, out of the 435.357 km² of surface area considered by the 1741 GHS-UCDB cities, 58% (252.990 km²) is impervious according to REF. For REMO and RegCM, this is only 17% (44009 km²) and 6.8% (17356 km²), respectively. These biases are not geographically uniform, but vary across CORDEX-CORE domains. For REMO, the largest domain-average relative biases vary between −80 and −100% and can be found in CORDEX-CORE domains at the ~25 km spatial resolution for Africa (AFR), Central America (CAM), South America (SAM), East Asia (EAS), Southeast Asia (SEA), and South Asia (WAS). The cities in Australasia (AUS), Europe (EUR), and North America (NAM) are slightly better represented, with domain-average relative biases reduced to −60% (for EUR). RegCM applied a cut-off value of 40% for its urban fraction data at the ~25 km spatial resolution (see Section “CORDEX-CORE dataset”). Therefore, all domains except EUR-11 have close to 0% urban fraction. For EUR-11 (~12 km), the RegCM model has on average twice the amount of ISA compared to REMO, with maximum values up to 60%, a value close to the REF average for this domain. The original RegCM urban land-use component, so-called Community Land Model Urban9,27 (CLMU) (see Section “CORDEX-CORE dataset”), without a cut-off value, consistently provides higher ISA values that are higher than REMO for all domains except AUS and NAM. Nevertheless, also this “what if” scenario, without the cut-off value, CLMU falls short compared to the REF estimates.
Besides the common ISA underestimation in the RCMs, also the intensity and size of the urban representation differs: REMO has the highest maximum ISA values in domains AUS, EUR, and NAM, whilst most other domains have average maximum values below 0.1 (Supplementary Fig. 2), surprisingly where some of the largest metropolitan areas exist. The AUS, EUR, and NAM domains are characterized by cities spanning up to six model grid cells, whilst for the other domains, modeled cities are smaller with a maximum of 3 grid cells with ISA greater than 0. Interestingly, when counting the number of pixels with ISA values greater than 0.1, most cities disappear in REMO domains AFR, CAM, EAS, SAM, SEA, and WAS, confirming that, if REMO presents impervious surface areas, they are rare and with very low ISA values. CLMU generally shows higher maximum ISA values and a greater number of urban pixels compared to RegCM. Unlike RegCM, CLMU is capable of assigning non-zero ISA values across all CORDEX-CORE domains, including in underrepresented regions such as AFR, CAM, SEA, and WAS.
Using the IPCC AR6 reference regions28, the relative ISA bias is visualized in greater detail across global regions (Fig. 2). In REMO, regions such as Northwestern North America (NWM), Northern Europe (NEU), Southern (SAU), and Eastern Australia (EAU) show the lowest relative biases (e.g., around −65 to −75%), while the majority of regions, particularly in South and Central America, Sub-Saharan Africa, South and East Asia, and the Middle East, exhibit very high negative biases (typically < −90%). RegCM displays uniformly high negative biases across almost all regions, with many reaching −100%, indicating a near-complete omission of urban land due to the use of the urban fraction cut-off. The CORDEX-CORE EUR domain performs noticeably better, likely due to the use of the 0.11° (~12 km) model output instead of the 0.22° (~25 km) resolution used for other domains. This finer resolution reduces the number of cities excluded by the minimum urban fraction threshold, leading to a more complete representation of impervious surfaces. CLMU shows a modestly improved performance compared to REMO and RegCM, particularly in the European domains MED, NEU, and WCE, in the African Sahara (SAH), and in parts of South and Southeast Asia (e.g., SAS, SEA, TIB), where relative biases range from approximately −57 to −75%. However, large regions such as South America, Africa, and Oceania still show relative biases below −80%, indicating persistent underrepresentation of impervious surfaces in those areas. Overall, CLMU provides a relatively better urban land representation than REMO and RegCM, but still underestimates urban ISA in most domains.
Results (%) are shown for REMO (a), RegCM (b), and CLMU (c). Data can be missing due to a lack of GHS-UCDB cities after selection or due to missing CORDEX-CORE simulations (e.g., Central-Asia domain). Please note that for EUR, the 0.11° spatial resolution was used.
Global city selection for regional climate modeling
A selection of cities was made for the evaluation of the UHI effect, based on a set of criteria and associated methods suitable for RCM output datasets on the global scale, as described in Section “Global city selection approach”. This city selection approach could be a blueprint for upcoming global analyses on cities, particularly when using regional and potentially global climate model output data. Given the relatively coarse resolution of CORDEX-CORE RCMs, it is anticipated that the models will only represent larger urban areas.
An overview of the identified cities and their alignment with the selection criteria (see Section “Global city selection approach”) is shown in Fig. 3, and supplementary Tables 2 and 3, as well as supplementary Fig. 3. The 41 selected cities, include 36 cities across the globe at the 0.22° spatial resolution, which offer a balanced set of cities, in terms of: size (area and population); climate zone; geographic characteristics (mountain, in-land, coastal); and distributions across the globe. The approximate number of grid points at 0.22° resolution (gp022) shows the potential of the city to be represented by the relatively coarser spatial resolution of the CORDEX-CORE models (see Section “Global city selection approach”). Cities with a gp022 below 0.9 were automatically excluded, as there would be little chance that the RCMs would cover such cities with a minimum of one gridbox. For analysing the added value of the 0.11° spatial resolution compared to 0.22° spatial resolution, five additional cities were selected for Europe (Berlin, Naples, Athens, Barcelona, Prague). A subset of 29 out of the total of 41 selected cities is also used in the urban layer of the C3S Atlas (https://atlas.climate.copernicus.eu).
All cities with size above 0.9 grid points at 0.22° resolution (gp022) are shown as dots. Selected cities are highlighted in red. The size of the dots represents the relative population. Background colors represent the different Köppen-Geiger climate classification. Gray polygons delineate the boundaries of the CORDEX domains.
To complete the selection of cities for the UHI analysis, the identified cities are assessed for actual representation within the CORDEX-CORE models. Figure 4 shows the number of grid points for each of the 41 selected cities using five ISA thresholds: 10, 20, 30, 40, and 50% for both RegCM and REMO. The figure illustrates that using the higher ISA thresholds, between 30 and 40% of the selected cities are not represented in either model. Using the 20% threshold, 75% of cities are represented, but in some cases, a single grid cell is remaining to represent the city. This is especially evident with REMO, in which 16 of the selected cities are represented by a single grid cell at the 20% threshold (e.g., Cairo, Johannesburg, Mexico City, Beijing). It is worth noting that the cities of Luanda, Khartoum, Lagos, Chengdu, Manila, Barcelona, and Dhaka disappear in both models at any threshold, while the cities of Istanbul, Athens, Lima, and Shanghai are only detected by REMO at the 10% threshold.
Thresholds 50, 40, 30, 20, and 10% are shown for RegCM (green shades) and REMO (brown shades). a Corresponds to CORDEX-CORE (0.22°, ~25 km) and b corresponds to EUR-11 (0.11°, ~ 12 km). Black bars show the number of grid cells from the GHS-UCDB dataset.
The sensitivity analysis conducted for different ISA thresholds supports the determination of the appropriate value for the ISA threshold for the CORDEX-CORE models at the 0.22° spatial resolution (Fig. 4). For ISA thresholds above 10%, most cities either disappeared or were represented by only a single gridbox. Consequently, an ISA threshold of 10% was selected for CORDEX-CORE, and this allows 80% of the initially selected cities to be distinguished at least by REMO, as most of the cities are not captured by RegCM due to its 40% cut-off value. For EUR-11, however, an ISA threshold of 40% was adopted, consistent with its higher horizontal resolution. The selected thresholds are in line with previous studies, which typically use urban fraction thresholds between 10 and 30%13,29.
Regional climate models can capture the urban heat island
The UHI effect, as represented by both CORDEX-CORE models, is assessed for the selected cities, using the algorithm defined in Section “Differentiating urban areas and its surroundings” to classify urban and surrounding areas. We consider the nocturnal UHI at 2 m above the canopy, as represented by the daily minimum 2 m temperature (Fig. 5), as well as the diurnal UHI at 2 m above the canopy, relying on maximum 2 m temperature (Fig. 6). Additionally, we include the results for the diurnal temperature range (DTR) in Supplementary information (Supplementary Fig. 4). In all cases, we use as a reference the average temperature of the urban surroundings and compute anomalies with respect to this reference for all grid cells. Thus, the anomaly in the city surroundings averages to zero, and in the urban area averages to the mean UHI. That is, a proxy of the mean temperature increase due to the presence of the city. Spatial maps depict annual mean anomalies, while time series show the seasonal cycle of the UHI on a monthly basis. We present New Delhi, Jakarta, Buenos Aires, and Paris to show the variety in the model results to depict the UHI effect.
Temperature anomalies in urban areas (maroon polygon areas) are compared with their vicinity (olive green polygonal areas) for New Delhi (a–d), Jakarta (e–h), Buenos Aires (i–l), and Paris (m–r). The last row shows Paris at the ~12 km grid spacing used in EUR-11 simulations. Left panels correspond to the REMO model and right panels to RegCM. Spatial maps correspond to annual means, while the time series depict the monthly annual cycle of the urban grid-cells (enclosed in maroon polygons in the maps, shown as maroon time series; thick line representing the urban mean) and the surrounding areas (as olive green time series). Observational data at individual stations (only available over Paris) are shown as a reference on the maps and as a time series (urban stations in black and rural stations in green). For the observations, the urban/rural classification is done according to the GHS-UCDB polygons delimiting urban areas (in pink over the maps).
As Fig. 5, but for maximum temperature.
New Delhi (Fig. 5, top row) is represented by two REMO model grid cells (leftmost panel, enclosed in red polygon) and by a single grid cell in RegCM (rightmost panel). The nocturnal UHI effect for New Delhi cannot be discerned, neither in the annual mean map, nor in the annual cycle (second panel) by REMO, where the urban minimum temperature anomalies fall within the envelope of the surrounding rural grid cells. A completely different picture emerges from the RegCM simulation, which shows a strong urban signal, discernible both in the annual mean and in the annual cycle (third panel), with UHI intensities above 2 °C in March and April, and about 0.8 °C in July/August. This anomaly is clearly above the envelope of that of the rural surrounding grid cells. Overall, the models seemingly underestimate the UHI intensity, as observational studies for New Delhi show UHI intensities ranging between 0.8 and 6 °C30. The differing performance of the models in simulating the nocturnal UHI effect is likely attributable to their different urban parameterization schemes. RegCM represents urban canyons, which facilitate the retention of longwave radiation during nighttime. The simplified rock surface in REMO has a lower thermal inertia and higher nocturnal radiative cooling, leading to a more rapid dissipation of the heat accumulated during the daytime.
Figure 5 shows examples for several other cities. Jakarta (second row) is a coastal city and shows a largely different extent across models (1 grid cell in REMO vs 4 in RegCM). The city lies in the transition between the ocean grid cells with positive anomalies with respect to the inland rural surroundings reference. This marine influence likely moderates the UHI effect. Both models do show a UHI effect of 0.2 – 0.8 °C, with RegCM depicting higher UHI intensities than REMO. The UHI results from the RegCM model align better with previous observational studies31, which found UHI intensities between 1 °C and 2.5 °C for Jakarta. Buenos Aires (third row, Fig. 5) is also located by the large water body of the La Plata River. However, in this case, RegCM shows a discernible nocturnal UHI, reaching about 1 °C in August. All RCMs underestimated the UHI, and only REMO is capable of reproducing the maximum during summer32. Finally, we show an example of an inland city, Paris, at ~25 km resolution (fourth row) and ~12 km resolution (fifth row). There is no RegCM simulation available at ~25 km resolution, but, in this case, the city shows a discernible nocturnal UHI also for REMO, which is more profound at ~12 km resolution. The UHI effect is clearly noticeable for RegCM at ~12 km resolution, reaching about 2.4 °C during the summer (June-August).
Unfortunately, observations are only available for Paris (Section “Global in-situ observations for UHI evaluation”), but, in any case, point observations cannot be straightforwardly compared to the model grid cell averages. The observed nocturnal UHI loosely resembles the model behavior, with stronger summer UHI, reaching a value of about 2 °C, at least for the station closer to the city center.
The situation for the diurnal UHI (Fig. 6) differs notably, with the REMO model showing stronger intensities as compared to RegCM. During the day, the sea and urban anomalies have opposite signs, especially during the summer in extratropical areas, e.g., in Buenos Aires, where the urban area is now clearly discerned in REMO, reaching a 2 °C intensity in summer (December–February) and missing its negative UHI in winter32. The stronger diurnal UHI intensity simulated by REMO is also evident in Paris, particularly during summer and at ~12 km resolution. However, the magnitude of this UHI appears to be overestimated relative to observations. This bias is primarily attributable to the simplified bulk urban parameterization used in REMO, which tends to warm excessively the surface during daytime hours due to its limited representation of the city (no canyons or shadowing).
The UHI intensity for all selected cities is summarized in Fig. 7. If available in the Global Historical Climatology Network daily (GHCNd) observational dataset, the observed UHI is shown (see Section “Global in-situ observations for UHI evaluation”). The summary figure shows, generally, the behavior that we have illustrated in the examples in Figs. 5 and 6. RegCM, with a single-layer urban canopy parameterization, represents the UHI stronger at night. REMO tends to underestimate nighttime UHI due to its simple bulk urban scheme and shows stronger UHI during the daytime. These differences, attributable to the distinct urban parameterization schemes, are clearly manifested in the DTR patterns (Supplementary Fig. 4). In RegCM, the DTR is greater over rural areas than over urban regions; consequently, when expressed relative to the rural range, the DTR anomaly shows negative values. Conversely, REMO exhibits the opposite behavior. Coastal cities tend to show stronger nocturnal UHI intensities in REMO, but this is likely mixed with the marine influence over coastal grid cells in general, as compared to the reference rural grid cells, which lie further inland. A notable reversal in this behavior is shown in Los Angeles, with cooler summer (June–August) temperatures in the city than in the inland surroundings. This could be due to the summer upwelling in the area. This qualitative behavior also appears in the observations. REMO tends to show milder nocturnal UHI than RegCM, but stronger diurnal UHIs, especially in summer. Cities at high elevation or in complex terrain show different behavior as the selection of surrounding areas becomes more challenging; typically, many surrounding grid cells need to be excluded by the height difference, and the city lies above the surroundings in the model (e.g., Mexico City), partly compensating for the UHI effect. Cities in deserted areas also show different behavior. As the surrounding areas of these cities are barren and barely vegetated, the land is heated up very quickly during the daytime. As there is more green infrastructure, cities tend to have lower temperatures than the surroundings during the daytime33. The higher resolution (EUR-11 vs EUR-22) leads to stronger UHI intensities, especially in summer. The only exception is Athens, where the surrounding sea mask leads to largely different reference rural grid cell areas (not shown).
Shown for minimum (a) and maximum (b) temperatures for selected cities (rows), as simulated by CORDEX-CORE models (REMO, RegCM) and compared with available observations. Cities are grouped alphabetically by geographic setting: coastal cities are shown in the top rows and inland cities in the bottom rows. Within each group, cities located in complex terrain appear first. For cities with simulations available at multiple resolutions (EUR-11, EUR-22), results are presented in contiguous rows for comparison.
We also looked into the potential impact of urban areas in the 3-dimensional atmospheric circulation. Such impacts could make CORDEX-CORE models also relevant for studies such as: impact to land-sea breezes, storm propagation, thermal inversions, and air-quality assessments. However, the results (not shown) did not show any significant impact in the atmosphere. The limited vertical resolution in the available CORDEX-CORE output data made the analysis challenging. A higher spatial resolution and more complex urban schemes could lead to such effects, especially through the interaction of convection and the urban plume34,35.
Discussion
The CORDEX-CORE dataset provides RCM simulations with a relatively high spatial resolution of ~25 km (0.22°), which will become standard in the upcoming CORDEX-CMIP6 dataset. The CORDEX-CORE dataset consists of two models in which cities are represented via a bulk approach (REMO) or an urban parameterization (RegCM, for most domains). Unfortunately, two of the domains with the largest megacities (NAM and EAS) did not include a city representation in RegCM. In the rest of the domains, only a few megacities are represented in this model, due to a cut-off value of 40% used for the ISA fraction. Despite these clear limitations of the existing CORDEX-CORE data set, we show which megacities are actually represented in the models and how the cities affect minimum and maximum temperatures for the urban areas and its surroundings. Assessing the evaluation simulations for the UHI we find that the bulk approach used in REMO leads to stronger daytime UHI, while the single-layer urban parameterization in RegCM develops a stronger and somewhat more realistic nighttime UHI, as well as more realistic UHI intensity for those cities for which observations or literature were available However, due to the lack of suitable observations and their inherent limitations –since many urban stations are typically located in green or open areas36– it is difficult to draw robust conclusions. Over Europe, we show how the increased spatial resolution leads to more realistic UHI effects.
In addition, our results show that the urban land cover is strongly underestimated in both REMO and RegCM compared to other reference land surface datasets, and these biases vary across geographic regions. While the contemporary land cover products (2018–2020) may represent slightly more urbanized conditions than the 1979–2017 model period, they clearly reveal that model representations are outdated and substantially underestimated. In addition, the nature of the urban description tends to be different, with the overall highest ISA values and more urbanized pixels in REMO compared to RegCM, which applied a cut-off threshold for ISA that removed most urban areas; however, using CLMU’s native database without such a threshold—as in the CLMU scenario- would significantly improve the representation of cities in RegCM.
All these results are promising regarding the upcoming CORDEX-CMIP6 dataset20, where many of the RCMs are urbanized and will produce simulations at the horizontal resolutions considered in this work (~25 and ~12 km). A straightforward extension of this work will be possible when the CORDEX-CMIP6 evaluation simulations become available, as these will likely cover more of our mega-cities selection and in a more realistic way. In a follow-up study, further use of local observations could improve the evaluation of the UHI, as well as a more in-depth comparison between cities across domains, climate zones, and geographic characteristics could be made. To enable further studies, we publish openly the missing urban fraction-related datasets corresponding to the existing CORDEX-CORE simulations, which were collected for this work. The urban layer of the C3S Atlas (https://atlas.climate.copernicus.eu) builds on these results by providing future climate projections for several temperature-related indices and is expected to expand its coverage to include more cities and indices using the upcoming CORDEX-CMIP6 models.
Aside from the improvements related to higher resolution, there are two critical areas for further improvements resulting from our study that could greatly benefit the representation of cities in RCMs, and therefore the accurate simulation of cities and their interactions with regional climate change. Firstly, RCMs need to incorporate or improve their urban parameterizations, and secondly, these urban parameterizations require accurate urban land cover datasets as input.
With respect to improving urban parameterizations in RCMs, large-scale international urban model comparison experiments indicate that dozens of urban parameterizations exist37,38,39,40,41. These schemes differ widely in complexity, the physical processes they represent, and the quality of their outputs, a diversity that is considered a strength, not a weakness. As shown in the Urban-PLUMBER project41, even relatively simple models can produce skillful energy flux estimates, particularly when coupled with robust hydrological and vegetation schemes. More complex schemes, while theoretically offering greater process realism, do not consistently outperform simpler ones, often because their representation of hydrology and vegetation is less developed, diminishing their overall effectiveness41. Crucially, the point is not to choose the “best” scheme, but to recognize that urban parameterizations are becoming essential, and no longer negligible at higher spatial resolutions3,15,42. Modeling centers must therefore commit to explicitly representing cities in their systems.
The explicit representation of urban land cover in RCMs to accurately simulate the complex interactions between cities and the regional climate depends on accurate urban land cover data and associated physical and morphological parameters. As pointed out by different works6,24,43, cities are often underrepresented in climate models due to an underutilization of recent and emerging global datasets describing their form and function—factors critical for modeling, e.g., energy fluxes, heat retention, and pollutant dispersion. Responding to this gap, Ching et al.44 and collaborators established the World Urban Database and Access Portal Tools (WUDAPT) initiative and produced a global map of Local Climate Zones24 that provides a standardized global urban typology, linked to meaningful urban canopy parameters, in a language most urban parameterizations understand. This approach was adopted by a range of (regional) modeling systems: for example, the Weather Research and Forecasting model (WRF)45,46, the ICON and COSMO-CLM model systems47,48, and ALARO-SURFEX49. In addition, an increasing number of spatially explicit urban land cover and morphology data sets become available25,50, offering greater detail on building footprints, heights, impervious surfaces, and more. Notable recent developments include the U-Surf51 and the GloUCP52 datasets tailored for CESM and WRF, respectively, both providing globally consistent, spatially continuous data at 1 km resolution. These datasets are specifically designed to support kilometer-scale urban-resolving global and regional Earth system modeling and represent a major step forward in improving the realism of urban climate simulations at the global scale. The challenge now lies not in the availability of appropriate, fit-for-scale urban data, but in effectively integrating these diverse and often high-resolution sources into RCMs in a scalable, consistent, and climate-relevant manner—a process still hindered by mismatches between data structures and model requirements, lack of standardization, and limited operational workflows42.
Methods
CORDEX-CORE dataset
The CORDEX-CORE EXP-I dataset consists of two RCMs, RegCM (version: different variants of RegCM4, see Supplementary Table 4) and REMO (version: REMO2015), downscaling three CMIP5 global climate models to the approximate ~25 km (0.22⁰) spatial resolution. The simulations cover almost all land areas of the world using nine domains, for two greenhouse gas representative concentration pathways53 (RCP2.6 and RCP8.5). The dataset provides ERA-Interim driven evaluation simulations between 1979 and 2017, as well as climate projections from 2006 to 2100, with a reference historical time period from 1971 to 200554,55,56. Further information about the CORDEX-CORE experiment is provided in Giorgi et al.54. This study uses the ERA-interim driven evaluation simulations55 for the analysis of the UHI. Nine CORDEX-CORE domains are simulated by the CORDEX-CORE RCMs (Fig. 3): Africa (AFR-22), Central America (CAM-22), South America (SAM-22), East Asia (EAS-22), Southeast Asia (SEA-22), South Asia (WAS-22), North America (NAM-22), Australasia (AUS-22), and Europe (EUR-22 for REMO, and EUR-11 for both REMO and RegCM).
The RCMs RegCM and REMO represent urban areas differently. To enable a comparison, we use the ISA as a common metric, as “urban fraction” is inconsistently defined across models and not available for REMO. RegCM uses the Community Land Model (CLM) as a land-surface scheme27, that represents spatial land surface heterogeneity via five land unit types: vegetated, lake, glacier, crop, and urban. The latter unit is treated by the CLM Urban (CLMU) model, a single-layer urban canopy model in which the urban fraction is further decomposed into three classes9: the tall building district (TBD), and high density (HD), and medium density (MD) classes. TBD is defined as an area of at least 1 km² with buildings greater than or equal to ten stories tall, with a small pervious fraction (5–15% of plan area). The HD class can encompass commercial, residential, or industrial areas that are characterized by buildings three to ten stories tall with a pervious fraction typically in the range of 5–25%. The MD class is usually characterized by row houses or apartment complexes one to three stories tall with a pervious fraction of 20–60%. For each of these density classes and all facets (roof, wall, road), both urban morphology characteristics (e.g., canyon height-to-width ratio, building height, roof fraction, pervious and impervious fraction, …) and thermal and radiative properties (e.g., emissivity, albedo, heat capacity, heat conductivity, …) are defined for 33 regions according to Jackson et al.57. For more information, see the works by Oleson et al.9,58 or Fig. 7A in Lipson et al.41.
In order to obtain the total ISA for each model gridcell, the roof fraction and the impervious road fraction are summed and scaled with the percentage urban for each density class. Summing over all density classes then provides the total ISA. Note, however, that for most RegCM simulation domains, a cut-off value of 40% is used for the urban fraction, removing most of the cities in most domains. An exception is the EUR-11 domain, where no cut-off value is used. Additionally, over NAM and EAS, no urban areas were considered in the model. Therefore, in our analyses, RegCM results are omitted for those cities not represented in the model, regardless of whether this is due to the urban fraction cut-off or the overall absence of cities in the model domain. Understanding this heterogeneity in the urban representation in RegCM is key to users of this dataset for urban analyses. For the sake of clarity, the original urban surface data available for CLMU is also processed with the Toolbox for Human-Earth System Integration & Scaling (THESIS) tool (see Section 5 in Oleson and Feddema9, for more details), and benchmarked against the reference ISA datasets.
The REMO version used in this work (REMO2015) utilizes three fractional sub-grid tiles: land, water, and ice59,60. The land tile characteristics are represented through land surface parameters, such as snow-free surface albedo, roughness length, leaf-area index (LAI), forest and vegetation fraction, and soil water holding capacity. These parameters are derived from refs. 61,62, and are allocated from more than seventy Land Use/Land Cover (LULC) types, including urban surfaces. The sub-tile (land) fractions of these parameters are based on the 1-km resolution Global Land Cover Characterization (GLCC) dataset Version 2, primarily derived from 1992 to 1993 Advanced Very High Resolution Radiometer (AVHRR) data63. The GLCC data is constructed by the U.S. Geological Survey64, and by using the fractions it provides, the land surface parameters of the impervious, bare soil, and vegetated fractions are aggregated, weighted by their respective LULC fraction. The fraction of the purely sealed/impervious surfaces of urban areas is represented as a rock surface, which is described in the model by static parameters such as a relatively high roughness length, zero vegetation cover, and no water storage capacities, further details and parameter values can be found in Hagemann, 200213,56,61. The snow-free surface albedo is a function of the monthly varying LAI and is based on data products from the Moderate-Resolution Imaging Spectroradiometer (MODIS)65. Urban effects on albedo are incorporated indirectly through their influence on LAI. Apart from these surface characteristics, REMO does not represent the urban canyon geometry, anthropogenic heat exchanges, or any other contributors to the urban thermal inertia. More details on how REMO utilizes the fractional tiles in the climate simulations, including land characteristics, can be found from Pietikäinen et al.66.
Urban land surface representation in models
Based on the recent work by Chakraborty et al.25, that identified large disagreements between global urban data products across spatiotemporal scales, three recent global high-resolution (urban) land cover datasets are selected to evaluate the ISA representation of ISAs in the REMO and RegCM models. First, the 10 m Esri land cover (hereafter referred to as “ESRI”, representative for the year 2020) presents the product with the highest urban land (built area) percentage, being described as “Human-made structures; major road and rail networks; large homogenous impervious surfaces, including parking structures, office buildings and residential housing”22. Second, the 10 m ESA WorldCover land cover dataset (hereafter referred to as “ESA”, representative for the year 2020) has one of the lowest urban land percentages, and defines built-up areas as “Buildings, roads and other man-made structures such as railroads. Buildings include both residential and industrial buildings. Urban green (parks, sport facilities) is not included in this class”23. Third, also the 100 m global map of Local Climate Zones24 is used (hereafter referred to as “LCZ”, representative for the year 2018), as it is designed as a globally consistent and climate-relevant dataset of urban parameters that is increasingly used in a variety of climate models, including WRF45,67, COSMO-CLM48,68, and CESM69. Here, the seventeen Local Climate Zones labels are converted to total ISA ISA that is calculated as the sum of the outer ranges of the building plan area (building footprints) and impervious plan area (paved, rock), according to Table 3 in Stewart and Oke 70.
The representation of the urban land, including the urban and impervious fractions, in the RCMs is evaluated for a total of 1741 Global Human Settlement Urban Center Database (GHS-UCDB) cities26, representing a total population of 2.14 billion people, which is 65% of the total population represented by the GHS-UCDB (accounting for UCD cities with quality flag 1). The selected cities (Supplementary Table 1) are selected based on their area (>62.5 km²), and are each assigned to a corresponding CORDEX-CORE domain via the IPCC AR6 reference regions71. For cities that span two IPCC AR6 reference regions, the IPCC AR6 label is assigned based on the domain containing the largest portion of the city. For RegCM, the representation of the urban land is evaluated as used in CORDEX-CORE (simulations with a 40% cut-off threshold in many domains) retaining only urban fractions above 40%, as well as using the latest default CLMU urban properties dataset that is processed using the official THESIS (Toolbox for Human-Earth System Integration & Scaling) tool9, with a cut-off value of 1%. CLMU thus presents a “what-if” scenario for all domains except EUR, demonstrating the full potential of RegCM -or any global or RCM using the Community Land Model as its land surface scheme- to more accurately represent global urban land cover by incorporating the latest CLMU urban dataset.
For each selected city (Supplementary Table 1), the impervious surface fraction prescribed in the models is compared to values obtained from individual global urban datasets (ESA, ESRI, and LCZ) and their average, hereafter referred to as REF. This comparison is made on the city-level, by averaging all pixels within the GHS-UCDB polygon. The coarse-resolution CORDEX models on a curvilinear grid are first reprojected onto a regular grid using nearest-neighbor interpolation, followed by an area-weighted averaging method that considers partial pixel values. Figure 8 provides an example of all ISA datasets and their corresponding average ISA value for New Delhi, India. In addition to the average ISA, the maximum ISA value, as well as the number of pixels that have an ISA value greater than 0 and 0.1, are retrieved, based on all pixels that touch the GHS-UCDB polygon.
Shown for the ESA (a), ESRI (b), and LCZ (c) reference products, REF (as the average of ESA, ESRI, and LCZ, d), and the two RCMs REMO (e) and RegCM (f, with a cut-off value of >0.4 for urban fraction). CLMU (g) refers to the urban fraction that RegCM would have recognized if the 0.4 threshold for the urban fraction had not been applied. The outline of the GHS-UCDB polygon for Delhi is shown in white. The values in brackets denote the mean ISA for the polygon.
Global city selection approach
A structured approach was developed to select cities across the globe for the evaluation of the UHI effect using the CORDEX-CORE dataset. A set of criteria and associated methods to comply with these criteria were identified. Besides the size of the urban area in km2, also its population is considered, as the latter is particularly relevant in terms of impacts felt by people. In addition, we aimed to cover cities in different geographic settings as well as climate zones, and sought a global balance across CORDEX domains. Furthermore, we considered climate impacts and the availability of observations. Finally, seven key criteria and associated methods were employed to select the cities, which are summarized in Table 1.
Differentiating urban areas and its surroundings
Delineating urban areas from their surrounding rural environments presents a significant challenge for RCMs, primarily due to their relatively coarse spatial resolution and the diverse land surface representations they employ. Although administrative city boundaries are available, they cannot be directly applied to the model data, as the urban land cover defined by each RCM often diverges substantially from these official boundaries. To resolve this, we adopt a land cover–based method to classify grid cells as either urban or rural, identifying cities as clusters of urban land cover according to each model’s internal representation. However, the relatively low resolution of the CORDEX-CORE ensemble adds further complexity to this classification.
Following previous work on delineating rural surrounding areas13,14,29,72,73,74,75,76,77, an algorithm was developed specifically for application to RCMs78. This method is based on the following criteria: (1) potential urban surrounding areas are defined as grid cells with ISA values below 10%; (2) large water bodies –defined as areas with more than 30% water coverage fraction—are excluded; and (3) grid cells with elevation differences greater than 100 m relative to the urban area are also excluded. The grid cells that meet these criteria are selected as the surroundings of a city through an iterative process using a morphological dilation function applied to the urban cells, while maintaining a ratio 1:2 between the number of urban and non-urban surrounding grid cells, in line with previous studies79. All the parameters mentioned above can be modified, leading to different definitions of urban and rural areas. In fact, some of them, such as water coverage fraction and elevation difference, were adjusted for a reduced number of cities and RCMs after visual inspection, in order to improve city representation. However, the ISA threshold and rural-to-urban cell ratio have the greatest impact, and therefore, they were kept consistent across all cities and RCMs to ensure a fair comparison. The selection above is the result of sensitivity analyses, which were conducted to refine the selection criteria for urban grid cells (Fig. 4) and to improve the accuracy of distinguishing urban areas from their rural surroundings. Figure 9 shows an example of the selected urban and rural surroundings areas for the cities of Buenos Aires (0.22° resolution) and Paris (0.11°). A detailed description of the algorithm used to delineate urban and rural surrounding areas is available in Diez-Sierra et al.78. All the above-mentioned parameters can be modified, leading to different urban-rural areas.
Buenos Aires (a, b) and Paris (c, d) are shown as depicted in REMO and RegCM (in columns). Cells with red and olive borders represent urban and non-urban (rural) surrounding areas, respectively. Rural cells are selected iteratively through a morphological dilation, ensuring a minimum ratio (in this case, 2) between the number of urban and rural cells. The algorithm excludes large water bodies (land fraction below 70%) and areas with a large difference (>100 m) in model elevation with respect to the urban area elevation range.
Global in-situ observations for UHI evaluation
The CORDEX-CORE analysis about the UHI effect is assessing the model output data with observations for cities and their direct surroundings, for those cities where observations are available. This is only as a qualitative reference, since point observations cannot be straightforwardly compared to the model grid cell averages. For illustrative purposes, we classified the observational stations as urban or rural according to the GHS-UCDB polygons delimiting urban center areas. We used two sources of in-situ observations. The first is the Global Historical Climatology Network daily (GHCNd)80. The GHCNd is an integrated database of daily climate summaries from land surface stations across the globe. GHCNd is made up of daily climate records from numerous sources that have been integrated and subjected to a common suite of quality assurance reviews. The GHCNd contains records from more than 100,000 stations in 180 countries and territories. It provides numerous daily variables, including maximum and minimum temperature, total daily precipitation, snowfall, and snow depth. Both record length and period of record vary by station and cover intervals ranging from less than a year to more than 175 years. For the evaluation of the UHI effect (Section “Regional climate models can capture the urban heat island”), the minimum and maximum temperatures observational records were used.
In addition to GHCNd data, we used data from MétéoFrance for the city of Paris, the main demonstrator city in the FPS URB-RCC. These data correspond to ten weather stations covering the period 1980–2017 with hourly resolution. Two stations (“Chartes” and “Saint-Maur”) were discarded, the first due to distance (9 km away from the city center, while the limit is 5 km), and the second due to a ratio of missing values above 30%. Among the remaining stations, four are considered urban and four rural based on the GHS-UCDB polygons.
Data availability
CORDEX-CORE and EURO-CORDEX data for daily maximum and minimum near surface temperature, orography, and land area fraction are publicly available through ESGF (https://esgf-data.dkrz.de/search/cordex-dkrz/). Urban and impervious surface area (ISA) fractions were collected and post-processed as part of this work and have been made publicly available on Zenodo (v1.0.0, https://doi.org/10.5281/zenodo.15700266). In addition, we provide detailed summary statistics for ISA - covering all cities, reference products, and model outputs, including mean values, percentiles (P0, 5, 25, 50, 75, 90, 100), and the number of pixels exceeding ISA thresholds of 0 and 0.1—available as both GeoJSON and CSV files on Zenodo (v1, https://doi.org/10.5281/zenodo.17313478).
Code availability
The Python code for city selection, impervious surface fraction calculation and related tasks is available on GitHub (https://github.com/FPS-URB-RCC/CORDEX-CORE-WG). The Python code for the urban heat island analysis is also available on GitHub (https://github.com/FPS-URB-RCC/urclimask).
References
Dodman, D. et al. Cities, settlements and key infrastructure. In Climate Change 2022: Impacts, Adaptation and Vulnerability. Working Group II Contribution to the Sixth Assessment Report of the Intergovernmental Panel on Climate Change [eds. Pörtner, H.-O. et al.] 907–1040 (Cambridge University Press, USA).
UN Habitat. Guiding Principles for City Climate Action Planning. 40 https://unhabitat.org/guiding-principles-for-city-climate-action-planning (2015).
Masson, V., Lemonsu, A., Hidalgo, J. & Voogt, J. Urban Climates and Climate Change. Annu. Rev. Environ. Resour. 45, 411–444 (2020).
Oke, T. R., Mills, G., Christen, A. & Voogt, J. A. Urban Climates (Cambridge University Press, 2017).
Chapman, S., Watson, J. E. M., Salazar, A., Thatcher, M. & McAlpine, C. A. The impact of urbanization and climate change on urban temperatures: a systematic review. Landsc. Ecol. 32, 1921–1935 (2017).
Hertwig, D., Ng, M., Grimmond, S., Vidale, P. L. & McGuire, P. C. High-resolution global climate simulations: representation of cities. Int. J. Climatol. 41, 3266–3285 (2021).
Katzfey, J., Schlünzen, H., Hoffmann, P. & Thatcher, M. How an urban parameterization affects a high-resolution global climate simulation. Q. J. R. Meteorol. Soc. 146, 3808–3829 (2020).
Katzfey, J., Schlünzen, K. H. & Hoffmann, P. Effects of urban areas on the diurnal cycle of temperature and precipitation in a global climate simulation. Q. J. R. Meteorol. Soc. 150, 4885–4914 (2024).
Oleson, K. W. & Feddema, J. Parameterization and surface data improvements and new capabilities for the community land model urban (CLMU). J. Adv. Model. Earth Syst. 12, e2018MS001586 (2020).
Argüeso, D., Evans, J. P., Fita, L. & Bormann, K. J. Temperature response to future urbanization and climate change. Clim. Dyn. 42, 2183–2199 (2014).
Hamdi, R. et al. The state-of-the-art of urban climate change modeling and observations. Earth Syst. Environ. 4, 631–646 (2020).
Nazarian, N. et al. Integration of urban climate research within the global climate change discourse. PLoS Clim. 3, e0000473 (2024).
Langendijk, G. S., Rechid, D. & Jacob, D. Urban areas and urban–rural contrasts under climate change: what does the EURO-CORDEX ensemble tell us?—investigating near surface humidity in Berlin and its surroundings. Atmosphere 10, 730 (2019).
Langendijk, G. S., Rechid, D., Sieck, K. & Jacob, D. Added value of convection-permitting simulations for understanding future urban humidity extremes: case studies for Berlin and its surroundings. Weather Clim. Extrem. 33, 100367 (2021).
Langendijk, G. S. et al. Towards better understanding the urban environment and its interactions with regional climate change—the WCRP CORDEX Flagship Pilot Study URB-RCC. Urban Clim. 58, 102165 (2024).
Michau, Y., Lemonsu, A., Lucas-Picher, P., Schneider, M. & Caillaud, C. On the future evolution of heatwaves in French cities and associated rural areas: insights from a convection-permitting model. Urban Clim. 55, 101920 (2024).
Giorgi, F. et al. The CORDEX-CORE EXP-I initiative: description and highlight results from the initial analysis. Bull. Am. Meteorol. Soc. 103, E293–E310 (2022).
Jacob, D. et al. Regional climate downscaling over Europe: perspectives from the EURO-CORDEX community. Reg. Environ. Change 20, 51 (2020).
Dee, D. P. et al. The ERA-Interim reanalysis: configuration and performance of the data assimilation system. Q. J. R. Meteorol. Soc. 137, 553–597 (2011).
CORDEX. CORDEX experiment design for dynamical downscaling of CMIP6. https://doi.org/10.5281/ZENODO.15199301 (2025).
Langendijk, G. S. et al. CORDEX-CORE urban and impervious surface area dataset (1.0.0). Zenodo https://doi.org/10.5281/zenodo.15700267 (2025).
Karra, K. et al. Global land use/land cover with Sentinel 2 and deep learning. In 2021, IEEE International Geoscience and Remote Sensing Symposium IGARSS 4704–4707 (IEEE, 2021).
Zanaga, D. et al. ESA WorldCover 10 m 2020 v100. [object Object] https://doi.org/10.5281/ZENODO.5571936 (2021).
Demuzere, M. et al. A global map of local climate zones to support earth system modelling and urban-scale environmental science. Earth Syst. Sci. Data 14, 3835–3873 (2022).
Chakraborty, T. et al. Large disagreements in estimates of urban land across scales and their implications. Nat. Commun. 15, 9165 (2024).
Florczyk, A. et al. GHS-UCDB R2019A - GHS Urban Centre Database 2015, multitemporal and multidimensional attributes. European Commission, Joint Research Centre (JRC) https://doi.org/10.2905/53473144-B88C-44BC-B4A3-4583ED1F547E (2019).
Lawrence, D. M. et al. The community land model version 5: description of new features, benchmarking, and impact of forcing uncertainty. J. Adv. Model. Earth Syst. 11, 4245–4287 (2019).
Iturbide, M. et al. An update of IPCC climate reference regions for subcontinental analysis of climate model data: definition and aggregated datasets. Earth Syst. Sci. Data 12, 2959–2970 (2020).
Daniel, M. et al. Benefits of explicit urban parameterization in regional climate modeling to study climate and city interactions. Clim. Dyn. 52, 2745–2764 (2019).
Mohan, M. et al. Assessment of urban heat island intensities over Delhi. In 4 (Yokohama, 2009).
Siswanto, S. et al. Spatio-temporal characteristics of urban heat Island of Jakarta metropolitan. Remote Sens. Appl. Soc. Environ. 32, 101062 (2023).
Lozada, M. & Camilloni, I. Variabilidad espacio-temporal de la isla de calor superficial en tres ciudades argentinas. Meteorologica 47, e012–e012 (2022).
Rajeswari, J. R. et al. Urban heat island phenomenon in a desert, coastal city: the impact of urbanization. Urban Clim. 56, 102016 (2024).
Freitag, B. M., Nair, U. S. & Niyogi, D. Urban modification of convection and rainfall in complex terrain. Geophys. Res. Lett. 45, 2507–2515 (2018).
Sátyro, Z. C., Farias, C., Candido, L. A. & Veiga, J. A. Urban sprawl can inhibit convection and decrease rainfall over an Amazonian city during a squall line type phenomenon. Urban Clim. 40, 101023 (2021).
Peterson, T. C. Assessment of urban versus rural in situ surface temperatures in the contiguous United States: no difference found. J. Clim. 16, 2941–2959 (2003).
Best, M. J. & Grimmond, C. S. B. Key conclusions of the first international urban land surface model comparison project. Bull. Am. Meteorol. Soc. 96, 805–819 (2015).
Grimmond, C. S. B. et al. The international urban energy balance models comparison project: first results from phase 1. J. Appl. Meteorol. Climatol. 49, 1268–1292 (2010).
Grimmond, C. S. B. et al. Initial results from Phase 2 of the international urban energy balance model comparison. Int. J. Climatol. 31, 244–272 (2011).
Jongen, H. J. et al. The water balance representation in urban-plumber land surface models. J. Adv. Model. Earth Syst. 16, e2024MS004231 (2024).
Lipson, M. J. et al. Evaluation of 30 urban land surface models in the Urban-PLUMBER project: phase 1 results. Q. J. R. Meteorol. Soc. 150, 126–169 (2024).
Lean, H. W. et al. The hectometric modelling challenge: Gaps in the current state of the art and ways forward towards the implementation of 100-m scale weather and climate models. Q. J. R. Meteorol. Soc. 150, 4671–4708 (2024).
Zhao, L. et al. Global multi-model projections of local urban climates. Nat. Clim. Change 11, 152–157 (2021).
Ching, J. et al. WUDAPT: an urban weather, climate, and environmental modeling infrastructure for the Anthropocene. Bull. Am. Meteorol. Soc. 99, 1907–1924 (2018).
Demuzere, M., Argüeso, D., Zonato, A. & Kittner, J. W2W: a Python package that injects WUDAPT’s Local Climate Zone information in WRF. J. Open Source Softw. 7, 4432 (2022).
Demuzere, M., He, C., Martilli, A. & Zonato, A. Technical documentation for the hybrid 100-m global land cover dataset with Local Climate Zones for WRF. https://doi.org/10.5281/ZENODO.7670792 (2023).
Campanale, A., Adinolfi, M., Raffa, M., Schulz, J.-P. & Mercogliano, P. Investigating urban heat islands over Rome and Milan during a summer period through the TERRA_URB parameterization in the ICON model. Urban Clim. 60, 102335 (2025).
Canton, J. & Dipankar, A. Climatological analysis of urban heat island effects in Swiss cities. Int. J. Climatol. 44, 1549–1565 (2024).
Cui, F. et al. Interactions between the summer urban heat islands and heat waves in Beijing during 2000–2018. Atmos. Res. 291, 106813 (2023).
Kamath, H. G. et al. Global building heights for urban studies (UT-GLOBUS) for city- and street- scale urban simulations: development and first applications. Sci. Data 11, 886 (2024).
Cheng, Y. et al. U-Surf: a global 1 km spatially continuous urban surface property dataset for kilometer-scale urban-resolving Earth system modeling. Earth Syst. Sci. Data Discuss. 1–38 https://doi.org/10.5194/essd-2024-416 (2024).
Liao, W. et al. GloUCP: a global 1 km spatially continuous urban canopy parameters for the WRF model. Earth Syst. Sci. Data 17, 2535–2551 (2025).
Riahi, K. et al. RCP 8.5—A scenario of comparatively high greenhouse gas emissions. Clim. Change 109, 33–57 (2011).
Giorgi, F., Coppola, E., Teichmann, C. & Jacob, D. Editorial for the CORDEX-CORE experiment I special issue. Clim. Dyn. 57, 1265–1268 (2021).
Remedio, A. R. et al. Evaluation of new CORDEX simulations using an updated köppen–trewartha climate classification. Atmosphere 10, 726 (2019).
Teichmann, C. et al. Assessing mean climate change signals in the global CORDEX-CORE ensemble. Clim. Dyn. 57, 1269–1292 (2021).
Jackson, T. L., Feddema, J. J., Oleson, K. W., Bonan, G. B. & Bauer, J. T. Parameterization of urban characteristics for global climate modeling. Ann. Assoc. Am. Geogr. 100, 848–865 (2010).
Oleson, K., Feddema, J. J. & Kaufmann, B. THESIS tools datasets: urban properties tool. UCAR/NCAR - GDEX https://doi.org/10.5065/ZRPH-DQ73 (2021).
Kotlarski, S. A Subgrid Glacier Parameterisation for Use in Regional Climate Modelling (University of Hamburg, 2007).
Semmler, T., Jacob, D., Schlünzen, K. H. & Podzun, R. Influence of sea ice treatment in a regional climate model on boundary layer values in the Fram Strait region. Mon. Weather Rev. 132, 985–999 (2004).
Hagemann, S. An Improved Land Surface Parameter Dataset for Global and Regional Climate Models. 21 https://pure.mpg.de/rest/items/item_2344576_7/component/file_3192501/content (2002).
Hagemann, S., Botzet, M., Dümenil, L. & Machenhauer, B. Derivation of Global GCM Boundary Conditions from 1 Km Land Use Satellite Data. https://hdl.handle.net/21.11116/0000-0001-2C5E-6 (1999).
Eidenshink, J. C. & Faundeen, J. L. The 1 km AVHRR global land data set: first stages in implementation. Int. J. Remote Sens. 15, 3443–3462 (1994).
USGS. USGS EROS archive—land cover products—global land cover characterization (GLCC). https://doi.org/10.5066/F7GB230D (2002).
Rechid, D., Raddatz, T. J. & Jacob, D. Parameterization of snow-free land surface albedo as a function of vegetation phenology based on MODIS data and applied in climate modelling. Theor. Appl. Climatol. 95, 245–255 (2009).
Pietikäinen, J.-P. et al. REMO2020: a modernized modular regional climate model. EGUsphere 1–57 https://doi.org/10.5194/egusphere-2025-1586 (2025).
Brousse, O., Martilli, A., Foley, M., Mills, G. & Bechtel, B. WUDAPT, an efficient land use producing data tool for mesoscale models? Integration of urban LCZ in WRF over Madrid. Urban Clim. 17, 116–134 (2016).
Varentsov, M., Fenner, D., Meier, F., Samsonov, T. & Demuzere, M. Quantifying local and mesoscale drivers of the urban heat island of Moscow with reference and crowdsourced observations. Front. Environ. Sci. 9, 716968 (2021).
Li, C., Zhang, N., Wang, Y. & Chen, Y. Modeling urban heat islands and thermal comfort during a heat wave event in East China with CLM5 incorporating local climate zones. J. Geophys. Res. Atmos. 128, e2023JD038883 (2023).
Stewart, I. D. & Oke, T. R. Local climate zones for urban temperature studies. Bull. Am. Meteorol. Soc. 93, 1879–1900 (2012).
Diez-Sierra, J. et al. The worldwide C3S CORDEX grand ensemble: a major contribution to assess regional climate change in the IPCC AR6 atlas. Bull. Am. Meteorol. Soc. 103, E2804–E2826 (2022).
Chakraborty, T. & Lee, X. A simplified urban-extent algorithm to characterize surface urban heat islands on a global scale and examine vegetation control on their spatiotemporal variability. Int. J. Appl. Earth Obs. Geoinf. 74, 269–280 (2019).
Peng, S. et al. Surface urban heat island across 419 global big cities. Environ. Sci. Technol. 46, 696–703 (2012).
Rozenfeld, H. D. et al. Laws of population growth. Proc. Natl. Acad. Sci. USA 105, 18702–18707 (2008).
Sismanidis, P., Bechtel, B., Perry, M. & Ghent, D. The seasonality of surface urban heat islands across climates. Remote Sens. 14, 2318 (2022).
Venter, Z. S., Chakraborty, T. & Lee, X. Crowdsourced air temperatures contrast satellite measures of the urban heat island and its mechanisms. Sci. Adv. 7, eabb9569 (2021).
Zhou, B., Rybski, D. & Kropp, J. P. On the statistics of urban heat island intensity. Geophys. Res. Lett. 40, 5486–5491 (2013).
Diez-Sierra, J. et al. A global CORDEX-based dataset delineating urban areas and their surroundings to assess climate change in megacities. Sci. Data 12, 1961 (2025).
Shastri, H., Barik, B., Ghosh, S., Venkataraman, C. & Sadavarte, P. Flip flop of day-night and summer-winter surface urban heat island intensity in India. Sci. Rep. 7, 40178 (2017).
Menne, M. J., Durre, I., Vose, R. S., Gleason, B. E. & Houston, T. G. An overview of the global historical climatology network-daily database. J. Atmos. Ocean. Technol. 29, 897–910 (2012).
Melchiorri, M. et al. Stats in the City: The GHSL Urban Centre Database 2025: Public Release GHS UCDB R2024 (Publications Office of the European, 2024).
Acknowledgements
We would like to thank the World Climate Research Programme (WCRP) and the COordinated Regional climate Downscaling EXperiment (CORDEX) for their endorsement and support to the CORDEX Flagship Pilot Study URB-RCC. We wish to thank the partners of the WCRP CORDEX FPS URB-RCC for their engagement and contributions to the initiative. M.D. is supported by the European Union’s HORIZON Research and Innovation Actions under grant agreement No 101137851, project CARMINE (Climate-Resilient Development Pathways in Metropolitan Regions of Europe, https://www.carmine-project.eu). D.R. acknowledges support from the European Union’s HORIZON project FOCAL - Efficient Exploration of Climate Data Locally—under grant agreement No.101137787. J.F. acknowledges support from the European Union’s HORIZON Research and Innovation Actions under grant agreement No 101081555, project IMPETUS4CHANGE. G.S.L. and J.F. acknowledge support from project PROTECT (PID2023-149997OA-I00), funded by MICIU/AEI/10.13039/501100011033 and by ERDF/EU. T.H. acknowledges support from the European Union’s HORIZON Research and Innovation Actions under grant agreement No 101081555, project IMPETUS4CHANGE and by the Johannes Amos Comenius Programme (OP JAC) project No. CZ.02.01.01/00/22_008/0004605, Natural and anthropogenic georisk.
Author information
Authors and Affiliations
Contributions
G.S.L., T.H., and P.H. initiated the study as part of the CORDEX FPS URB-RCC proposal. G.S.L., J.F., M.D., and J.D.S. developed the conceptual approach together with the rest of co-authors. M.D. conducted the land-use analysis. J.F., J.D.S., Y.Q., and G.S.L. conducted the urban heat island analysis. G.S.L., J.F., M.D., J.D.S., L.F., N.Z., R.N., K.P.C., T.H., J.Y., P.H., and J.P.P. developed the city selection approach, and G.S.L., J.F., J.D.S., L.F., N.Z., and R.N. conducted the associated analysis. J.P.P. and G.G. produced the urban fraction data from the models. G.S.L., J.F., M.D., and J.D.S. took the lead on writing the manuscript. Y.Q., L.F., N.Z., R.N., A.F.C., K.P.C., G.G., T.H., P.H., L.E.M., J.P.P., D.R., and J.Y. revised and improved the initial draft. All authors contributed to writing and revising the manuscript.
Corresponding author
Ethics declarations
Competing interests
The authors declare no competing interests.
Additional information
Publisher’s note Springer Nature remains neutral with regard to jurisdictional claims in published maps and institutional affiliations.
Supplementary information
Rights and permissions
Open Access This article is licensed under a Creative Commons Attribution 4.0 International License, which permits use, sharing, adaptation, distribution and reproduction in any medium or format, as long as you give appropriate credit to the original author(s) and the source, provide a link to the Creative Commons licence, and indicate if changes were made. The images or other third party material in this article are included in the article’s Creative Commons licence, unless indicated otherwise in a credit line to the material. If material is not included in the article’s Creative Commons licence and your intended use is not permitted by statutory regulation or exceeds the permitted use, you will need to obtain permission directly from the copyright holder. To view a copy of this licence, visit http://creativecommons.org/licenses/by/4.0/.
About this article
Cite this article
Langendijk, G.S., Fernandez, J., Demuzere, M. et al. Representation of global mega-cities and their urban heat island in CORDEX-CORE regional climate model simulations. npj Urban Sustain 6, 53 (2026). https://doi.org/10.1038/s42949-025-00325-6
Received:
Accepted:
Published:
Version of record:
DOI: https://doi.org/10.1038/s42949-025-00325-6











