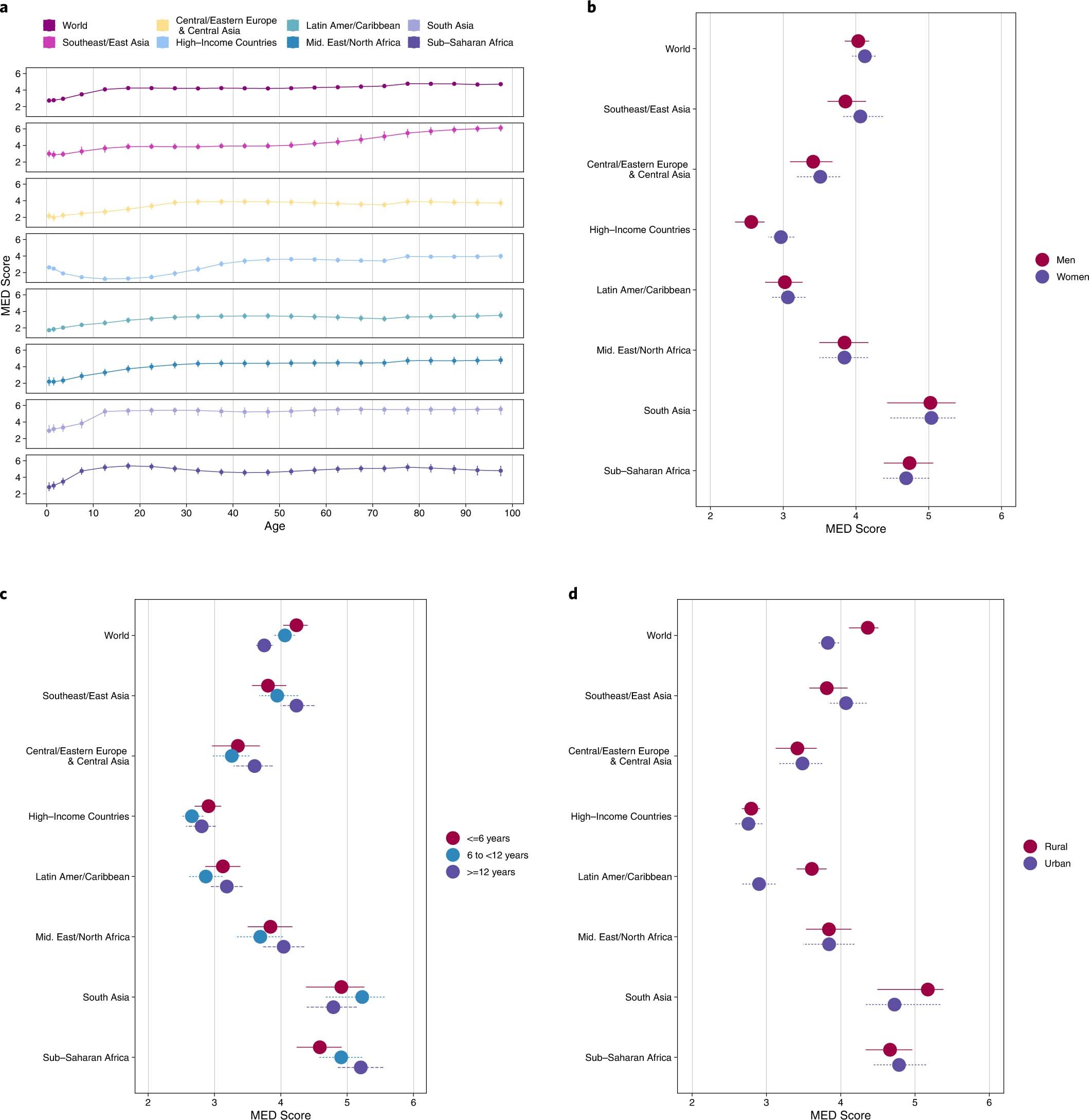
Extended Data Fig. 3: Global and regional MED score by (A) age, (B) sex, (C) education, and (D) urban/rural residence in 2018.

Data are the mean score (95% uncertainty interval). The MED score ranged from 0 to 8. <6 years: <6 years of education; ≥6 to <12 years: ≥6 to <12 years of education; ≥12 years: ≥12 years of education. Rural: rural residence; urban: urban residence.