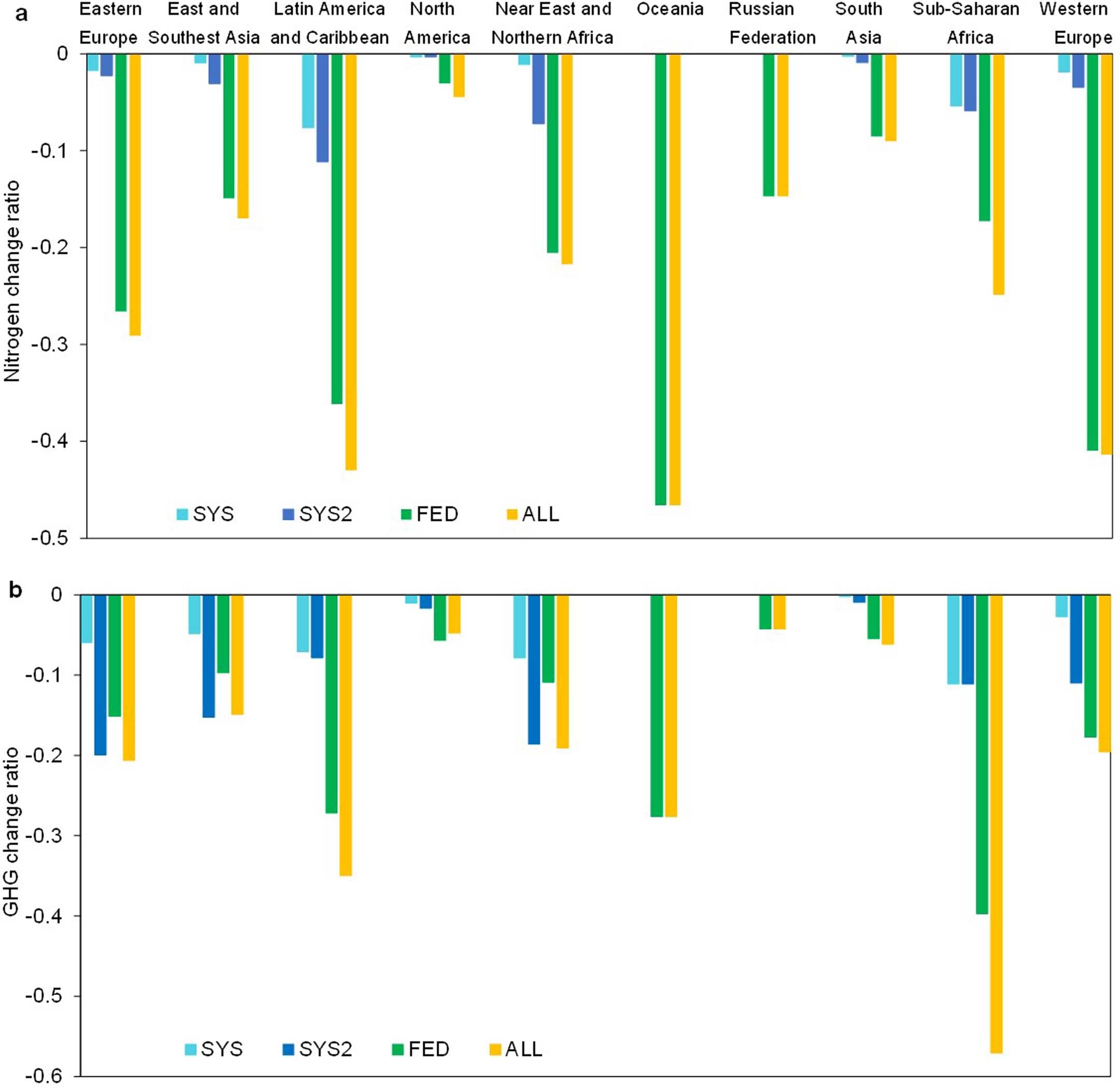
Extended Data Fig. 9: Regional gas emission reduction ratio under each scenario.

a, Regional nitrogen emission reduction rates under assumed different scenarios. b, Regional GHG emission reduction rates under assumed scenario. The division of regions is based on the GLEAM model.