Fig. 2: Effects of trade policy announcements on announcement day price volatility, contingent on stock levels.
From: Trade policy announcements can increase price volatility in global food commodity markets

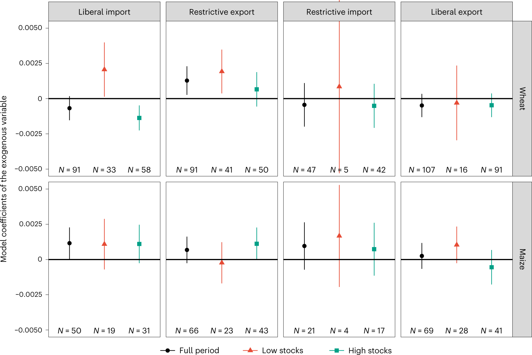
CARRX model coefficients of the exogenous variables (that is, policy dummies) by type of trade policy announced (positive export and import, as well as negative export and import trade policies), crop and the prevailing stock level at the time of the announcement. Coefficients show effect on global food price volatility by commodity on the announcement day. Data (points) are presented as coefficients of the exogenous variables (that is, policy dummies), and whiskers are 90% confidence intervals. Full regression results are shown in Supplementary Table 2. A robustness check for an alternative stocks threshold is shown in Supplementary Fig. 3.