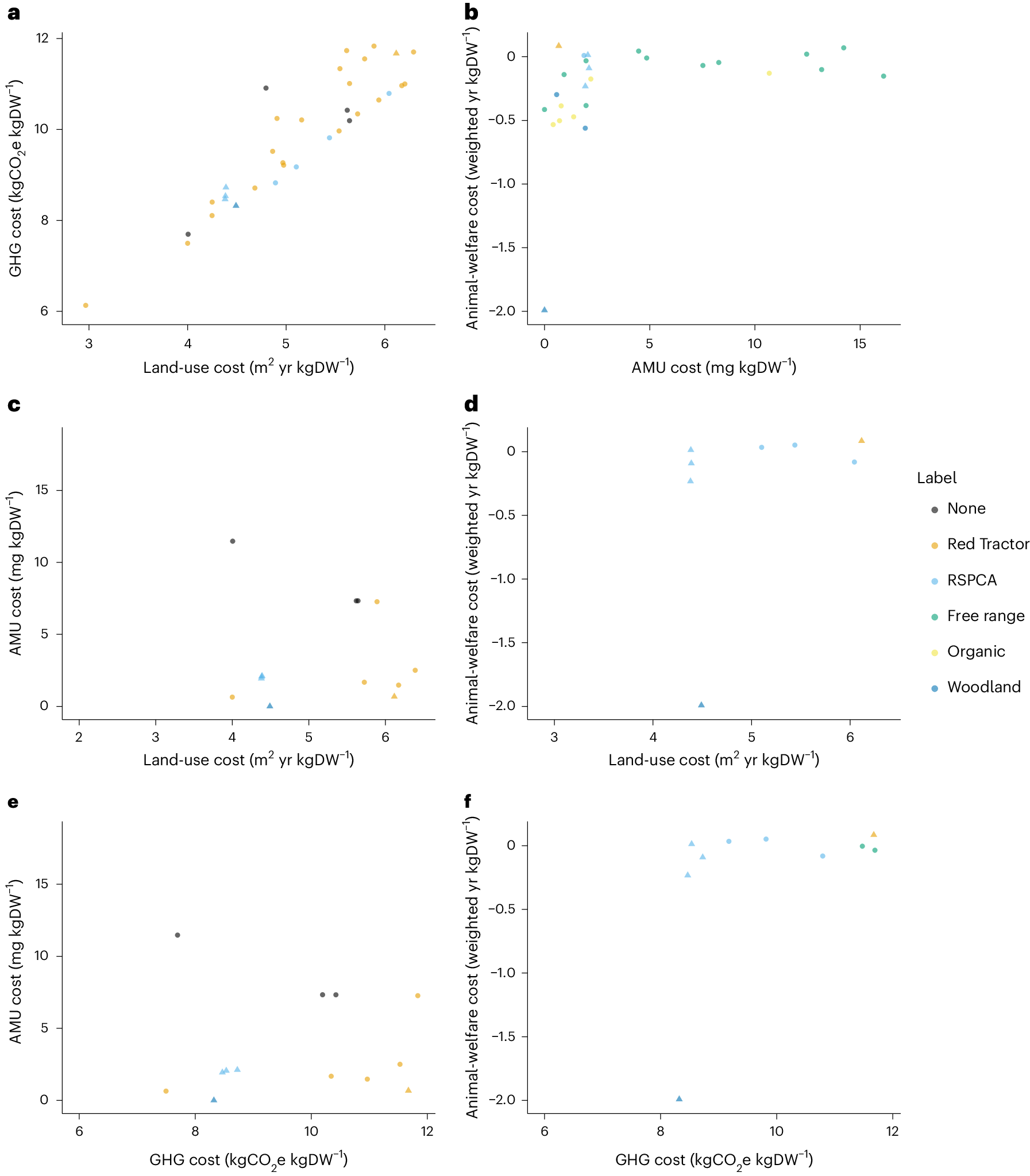
Fig. 4: The best-performing systems.
From: Trade-offs in the externalities of pig production are not inevitable

a–f, Each plot shows UK breed-to-finish pig systems in the top 50% for both respective externality costs: land use and GHG (a), AMU and animal welfare (b), land use and AMU (c), land use and animal welfare (d), GHG and AMU (e), and GHG and animal welfare (f). The five systems shown as triangles are those that performed in the best 50% for all four externality costs.